812.120.1
Liechtensteinisches Landesgesetzblatt
Jahrgang 2024 Nr. 424 ausgegeben am 29. November 2024
Verordnung
vom 26. November 2024
über die Abänderung der Betäubungsmittelverordnung
Aufgrund von Art. 5 Abs. 3 des Gesetzes vom 20. April 1983 über die Betäubungsmittel und die psychotropen Stoffe (Betäubungsmittelgesetz; BMG), LGBl. 1983 Nr. 38, in der geltenden Fassung, verordnet die Regierung:
I.
Abänderung bisherigen Rechts
Die Verordnung vom 28. April 2015 über die Betäubungsmittel und die psychotropen Stoffe (Betäubungsmittelverordnung; BMV), LGBl. 2015 Nr. 132, in der geltenden Fassung, wird wie folgt abgeändert:
Anhang 6 Ziff. 303 und 314
Nummer
Bezeichnung
303
Synthetische Cannabinoide 2
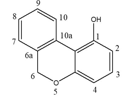
Jede Substanz (ausgenommen kontrollierte Substanzen der Verzeichnisse a, b, d und f), deren Struktur abgeleitet wird von 6H-Benzo(c)chromen-1-ol (6H-Dibenzo(b,d)pyran-1-ol), unabhängig vom Hydrierungsgrad des nicht phenolischen Benzorings, durch Substitution:
 
- an den Positionen 3, 6 und 9 durch beliebige Alkylgruppen.
Diese Strukturen können zusätzlich auf eine oder mehrere der folgenden Arten substituiert sein:
- an beliebigen Positionen in beliebigem Ausmass mit Alkyl-, Alkoxy-, Halogen- und Hydroxygruppen.
Von der Kontrolle ausgenommen ist die industrielle und die wissenschaftliche Verwendung. Der private Gebrauch ist nicht von der Kontrolle ausgenommen.
314
Nitromethaqualon
2-Methyl-3-(2-methoxy-4-nitrophenyl)-4(3H)-chinazolinon
Von der Kontrolle ausgenommen ist die industrielle und die wissenschaftliche Verwendung. Der private Gebrauch ist nicht von der Kontrolle ausgenommen.
II.
Inkrafttreten
Diese Verordnung tritt am Tag nach der Kundmachung in Kraft.

Fürstliche Regierung:

gez. Dr. Daniel Risch

Fürstlicher Regierungschef