vom 5. Dezember 2006
Ergänzende Vorschriften zur Ermittlung der
erforderlichen Eigenmittel für Kreditrisiken und Verbriefungen (Art. 29 bis 80)
Abschnitt 1: Anwendung der Standard- und der EPE-Modellmethode zur Behandlung von Derivaten - Ergänzende Vorschriften zum Standardansatz
Teil 1: Anwendung der Standardmethode und der EPE-Modellmethode zur Behandlung von Derivaten, Pensionsgeschäften, Wertpapier- oder Warenleihgeschäften, Geschäften mit langer Abwicklungsfrist und Lombardgeschäften nach Art. 43 und 44
I. Begriffbestimmungen für die Zwecke dieses Teils
1. Allgemeine Begriffsbestimmungen
1) Gegenparteiausfallrisiko (Counterparty Credit Risk, CCR) ist das Risiko des Ausfalls der Gegenpartei eines Geschäfts vor der abschliessenden Abwicklung der mit diesem Geschäft verbundenen Zahlungen.
2) Eine zentrale Gegenpartei ist eine Einheit, die bei Verträgen zwischen Gegenparteien innerhalb eines oder mehrerer Finanzmärkte zwischengeschaltet wird, so dass sie der Käufer für jeden Verkauf und der Verkäufer für jeden Kauf wird.
2. Begriffsbestimmungen in Bezug auf die Geschäftstypen
1) Geschäfte mit langer Abwicklungsfrist sind Geschäfte, bei denen eine Gegenpartei sich dazu verpflichtet, zu einem Termin, der laut Vertrag mehr als fünf Geschäftstage nach dem Geschäftsabschluss liegt, ein Wertpapier, eine Ware oder einen Betrag in Fremdwährung gegen Bargeld, andere Finanzinstrumente oder Waren zu liefern.
2) Lombardgeschäfte sind Geschäfte, bei denen eine Bank einen Kredit im Zusammenhang mit dem Kauf, Verkauf, Halten oder Handel von Wertpapieren vergibt. Lombardgeschäfte umfassen keine anders gearteten Kredite, die mit Wertpapieren gesichert sind.
3. Begriffsbestimmungen in Bezug auf Netting-Sets, Hedging-Sets und damit zusammenhängende Begriffe
1) Netting-Set ist eine Gruppe von Geschäften mit einer einzigen Gegenpartei, die einer rechtlich durchsetzbaren bilateralen Nettingvereinbarung unterliegen und für die das Netting nach Art. 46 und Art. 55 bis 57 anerkannt wird. Jede Transaktion, die nicht einer nach Art. 46 rechtlich durchsetzbaren bilateralen Nettingvereinbarung unterliegt, sollte für die Zwecke dieser Regelung als eigenes Netting-Set anerkannt werden.
2) Risikoposition ist eine Risikomasszahl, die einem Geschäft nach der Standardmethode nach Art. 43 nach einem im Voraus festgelegten Algorithmus zugeordnet wird.
3) Hedging-Set ist eine Gruppe von Risikopositionen, die Geschäften des gleichen Netting-Sets zugeordnet sind und für die im Hinblick auf die Bestimmung des Forderungswerts nach der Standardmethode nach Art. 43 lediglich auf den Saldo der Risikopositionen abzustellen ist.
4) Nachschussvereinbarung ist eine vertragliche Vereinbarung oder Bestimmungen einer Vereinbarung, wonach eine Gegenpartei einer zweiten Gegenpartei eine Sicherheit liefern muss, wenn eine Forderung der Letzteren gegenüber Ersterer eine bestimmte Höhe überschreitet.
5) Nachschuss-Schwelle ist die Höhe, die eine ausstehende Forderung maximal erreichen darf, bevor ein Vertragspartner das Recht auf Anforderung der Sicherheit hat.
6) Nachschuss-Risikoperiode ist der Zeitraum zwischen dem letzten Austausch von Sicherheiten, die den mit einer ausfallenden Gegenpartei bestehenden Netting-Set besichern, und dem Zeitpunkt, zu dem die mit der Gegenpartei bestehenden Geschäfte beendet werden und das resultierende Marktrisiko erneut abgesichert wird.
7) Effektive Restlaufzeit unter der auf einem internen Modell beruhenden Methode für ein Netting-Set mit mindestens einjähriger Restlaufzeit ist das Verhältnis zwischen den über die Laufzeit der Geschäfte eines Netting-Sets insgesamt erwarteten, zu einem risikolosen Zinssatz abdiskontierten ausstehenden Beträgen und den im Laufe eines Jahres bei einem Netting-Set insgesamt erwarteten, zu einem risikolosen Zinssatz abdiskontierten ausstehenden Beträgen. Um dem Risiko als Folge eines möglichen Überwälzens der Geschäfte auf neue Geschäfte Rechnung zu tragen, kann die effektive Restlaufzeit auf Prognosezeiträume unter einem Jahr angepasst werden.
8) Produktübergreifendes Netting ist die Zusammenfassung von Geschäften unterschiedlicher Produktkategorien in einem Netting-Set nach den in Art. 46 für das produktübergreifende Netting festgelegten Regeln.
9) Aktueller Marktwert (Current Market Value, CMV) ist der Nettomarktwert des in einem Netting-Set enthaltenen Portfolios der mit einer Gegenpartei bestehenden Geschäfte. Für die Ermittlung des aktuellen Marktwertes werden sowohl positive als auch negative Marktwerte herangezogen.
4. Begriffsbestimmungen in Bezug auf die Wahrscheinlichkeitsverteilungen
1) Verteilung der Marktwerte ist die prognostizierte Wahrscheinlichkeitsverteilung der Nettomarktwerte der in einem Netting-Set zusammengefassten Geschäfte zu einem künftigen Zeitpunkt (dem Prognosehorizont) unter Zugrundlegung des bis zum gegenwärtigen Zeitpunkt für diese Geschäfte eingetretenen Marktwertes.
2) Verteilung der Wiederbeschaffungswerte ist die prognostizierte Wahrscheinlichkeitsverteilung der Marktwerte, wobei die prognostizierten negativen Nettomarktwerte durch Null ersetzt werden.
3) Verteilung nach Massgabe risikoneutraler Wahrscheinlichkeiten (risikoneutrale Wahrscheinlichkeitsverteilung) ist die Verteilung von Marktwerten oder Wiederbeschaffungswerten zu einem künftigen Zeitpunkt, die auf der Grundlage von durch Marktpreise implizierten Bewertungsparametern, wie impliziten Volatilitäten, ermittelt wird.
4) Verteilung nach Massgabe tatsächlicher Wahrscheinlichkeiten (tatsächliche Wahrscheinlichkeitsverteilung) ist die Verteilung von Marktwerten oder Wiederbeschaffungswerten zu einem künftigen Zeitpunkt, die auf Grundlage in der Vergangenheit beobachteter Werte ermittelt wird, etwa über anhand vergangener Preis- oder Kursänderungen errechneter Volatilitäten.
5. Begriffsbestimmungen in Bezug auf die Masszahlen für den Wiederbeschaffungswert und Anpassungen
1) Der aktuelle Wiederbeschaffungswert ist, je nachdem, welcher Wert der höhere ist, Null oder der Marktwert eines Geschäfts bzw. eines in einem Netting-Set enthaltenen Portfolios von Geschäften, der bei Ausfall der Gegenpartei für den Fall, dass von dem Wert dieser Geschäfte bei Konkurs nichts zurückerlangt werden kann, verloren wäre.
2) Spitzenwiederbeschaffungswert ist ein hohes Perzentil der Verteilung der Wiederbeschaffungswerte zu einem beliebigen künftigen Zeitpunkt vor Fälligkeit des Geschäfts, das von den im Netting-Set enthaltenen die längste Laufzeit hat.
3) Erwarteter Wiederbeschaffungswert ist die durchschnittliche Verteilung der Wiederbeschaffungswerte zu einem beliebigen künftigen Zeitpunkt vor Fälligkeit des Geschäfts, das von den im Netting-Set enthaltenen die längste Laufzeit hat.
4) Erwarteter effektiver Wiederbeschaffungswert ist der höchste der erwarteten Wiederbeschaffungswerte, der zu dem betreffenden oder einem beliebigen früheren Zeitpunkt eintritt. Alternativ kann der erwartete effektive Wiederbeschaffungswert für einen bestimmten Zeitpunkt auch definiert werden als der erwartete Wiederbeschaffungswert zu diesem Zeitpunkt oder der effektive Wiederbeschaffungswert zu dem vorangegangenen Zeitpunkt, je nachdem, welcher Wert der höhere ist.
5) Erwarteter positiver Wiederbeschaffungswert ist ein über die Zeit ermittelter gewogener Durchschnitt der erwarteten effektiven Wiederbeschaffungswerte, wobei die Gewichte den proportionalen Anteil eines einzelnen erwarteten Wiederbeschaffungswertes am gesamten Zeitintervall widerspiegeln. Bei der Berechnung der Mindesteigenmittelanforderung wird der Durchschnitt für das erste Jahr oder für die Laufzeit des Kontrakts, der von den im Netting-Set enthaltenen die längste Laufzeit hat, ermittelt.
6) Effektiver erwarteter positiver Wiederbeschaffungswert ist ein über die Zeit ermittelter gewogener Durchschnitt der erwarteten effektiven Wiederbeschaffungswerte während des ersten Jahres oder während der Laufzeit des Kontraktes, der von den im Netting-Set enthaltenen die längste Laufzeit hat, wobei die Gewichte den proportionalen Anteil eines einzelnen erwarteten Wiederbeschaffungswertes am gesamten Zeitintervall widerspiegeln.
7) Kreditrisikobezogene Bewertungsanpassung ist die Anpassung eines Portfolios von Geschäften mit einer Gegenpartei zum mittleren Marktwert. Diese Anpassung trägt dem Marktwert des Kreditrisikos Rechnung, das auf eine etwaige Nichterfüllung vertraglicher Vereinbarungen mit einer Gegenpartei zurückzuführen ist. Diese Anpassung kann sowohl den Marktwert des Kreditrisikos der Gegenpartei als auch den Marktwert des Kreditrisikos von Bank und Gegenpartei widerspiegeln.
8) Einseitige kreditrisikobezogene Bewertungsanpassung ist eine kreditrisikobezogene Bewertungsanpassung, die dem Marktwert des Kreditrisikos der Gegenpartei für die Bank, nicht aber dem Marktwert des Kreditrisikos der Bank für die Gegenpartei Rechnung trägt.
6. Begriffsbestimmungen in Bezug auf die mit dem Gegenpartei-Kreditausfallrisiko verbundenen Risiken
1) Überwälzungsrisiko ist der Betrag, um den der erwartete positive Wiederbeschaffungswert zu niedrig angesetzt wird, wenn zu erwarten ist, dass mit einer Gegenpartei auch in Zukunft laufend neue Geschäfte getätigt werden. Der durch diese Geschäfte entstehende zusätzliche Wiederbeschaffungswert ist im erwarteten positiven Wiederbeschaffungswert nicht berücksichtigt.
2) Ein allgemeines Korrelationsrisiko ("general wrong-way risk") besteht, wenn eine hohe Korrelation zwischen der Ausfallwahrscheinlichkeit von Gegenpartei und Risikofaktoren des allgemeinen Marktrisikos gegeben ist.
3) Ein spezielles Korrelationsrisiko ("specific wrong-way risk") besteht, wenn aufgrund der Art der mit einer Gegenpartei bestehenden Geschäfte eine hohe Korrelation zwischen der Ausfallwahrscheinlichkeit der Gegenpartei und dem Wiederbeschaffungswert der mit dieser bestehenden Geschäfte gegeben ist. Eine Bank ist einem speziellen Korrelationsrisiko ausgesetzt, wenn zu erwarten ist, dass die künftige Forderung an eine bestimmte Gegenpartei hoch ist, wenn auch dessen Ausfallwahrscheinlichkeit hoch ist.
II. Standardmethode
7. Berechnung
1) Die Standardmethode (SM) darf nur für OTC-Derivatgeschäfte und Geschäfte mit langer Abwicklungsfrist verwendet werden. Der Forderungswert wird für jeden Netting-Set gesondert ermittelt. Bestimmt wird er unter Ausschluss der hinterlegten Sicherheiten nach folgender Formel:
Dabei ist:
CMV der aktuelle Marktwert des in einem Netting-Set enthaltenen Portfolios von Geschäften inklusive Sicherheit. Das heisst:
Dabei ist:
CMVigleich dem aktuellen Marktwert des Geschäfts i;
CMC der aktuelle Marktwert der Sicherheit, die dem Netting-Set zugeordnet ist. Das heisst:
Dabei ist:
CMClder aktuelle Marktwert der Sicherheit l;
i = Index für die Geschäfte;
l = Index für die Sicherheit;
j = Index für die Hedging-Set-Kategorie.
Diese Hedging-Sets entsprechen Risikofaktoren, für die Risikopositionen mit entgegengesetztem Vorzeichen ausgeglichen werden können, um eine Nettorisikoposition zu erhalten, auf deren Grundlage die Forderung dann gemessen wird.
RPTij= Risikoposition aus Geschäft i für Hedging-Set j;
RPClj= Risikoposition aus Sicherheit l für Hedging-Set j;
CCRMj= CCR-Multiplikator (Kreditumrechnungsfaktor) für Hedging-Set j nach Art. 43 Abs. 2;
β = 1.4.
2) Eine von einer Gegenpartei gestellte Sicherheit hat ein positives Vorzeichen; eine der Gegenpartei gestellte Sicherheit hat ein negatives Vorzeichen. Die Sicherheiten, die für diese Methode zugelassen sind, beschränken sich auf die Sicherheiten, die nach Abschnitt 3 Teil 1 Ziff 3.3 dieses Anhangs und Ziff. 13.2 Abs. 2 des Anhangs 2 zugelassen sind.
8. Geschäfte mit linearem Risikoprofil
1) Ist bei einem OTC-Derivatgeschäft mit linearem Risikoprofil der Austausch eines Finanzinstrumentes gegen Zahlung vorgesehen, so wird der Teil des Geschäfts, bei dem die Zahlung erfolgt, als Zahlungskomponente ("payment leg") bezeichnet. Geschäfte, bei denen eine Zahlung gegen Zahlung vorgesehen ist, bestehen aus zwei Zahlungskomponenten. Die Zahlungskomponenten enthalten die vertraglich vereinbarten Bruttozahlungen, einschliesslich des Nominalwerts des Geschäftes. Banken können das zinsbedingte Risiko aus Zahlungskomponenten mit einer verbleibenden Laufzeit von weniger als einem Jahr für den Zweck der folgenden Berechnungen ausser Acht lassen. Banken können Geschäfte, die aus zwei auf dieselbe Währung lautenden Zahlungskomponenten bestehen, wie Zinsswaps, als einziges, aggregiertes Geschäft behandeln. Die Behandlung von Zahlungskomponenten ist auf das aggregierte Geschäft anzuwenden.
2) Geschäfte mit linearem Risikoprofil, denen als Finanzinstrumente Aktieninstrumente (einschliesslich Aktienindizes), Gold, andere Edelmetalle oder andere Rohwaren zugrunde liegen, werden einer Risikoposition für das betreffende Aktieninstrument (den betreffenden Aktienindex) oder die betreffende Rohware (einschliesslich Gold und andere Edelmetalle) und in Bezug auf die Zahlungskomponente einer Risikoposition für das Zinsänderungsrisiko zugeordnet. Lautet die Zahlungskomponente auf eine Fremdwährung, so wird das Geschäft darüber hinaus einer Risikoposition für die betreffende Währung zugeordnet.
3) Geschäfte mit linearem Risikoprofil, denen ein Schuldtitel zugrunde liegt, werden in Bezug auf den Schuldtitel einer Risikoposition für das Zinsänderungsrisiko und in Bezug auf die Zahlungskomponente einer weiteren Risikoposition für das Zinsänderungsrisiko zugeordnet. Geschäfte mit linearem Risikoprofil, bei denen eine Zahlung gegen Zahlung vorgesehen ist, worunter auch Devisentermingeschäfte fallen, werden in Bezug auf jede der damit verbundenen Zahlungskomponenten einer Risikoposition für das Zinsrisiko zugeordnet. Lautet der zugrunde liegende Schuldtitel auf eine Fremdwährung, so wird dieses einer Risikoposition in dieser Währung zugeordnet. Lautet eine Zahlungskomponente auf eine Fremdwährung, so wird die Zahlungskomponente erneut einer Risikoposition in dieser Währung zugeordnet. Einem Devisen-Basisswap wird der Forderungswert Null zugeteilt.
9. Berechnung der Höhe der Risikoposition
1) Bei einem Geschäft mit linearem Risikoprofil ergibt sich die Höhe der Risikoposition aus dem effektiven Nominalwert (Marktpreis x Menge) der zugrunde liegenden Finanzinstrumente (einschliesslich Rohwaren), der - ausser bei Schuldtiteln - in die Landeswährung der Bank umgerechnet wird.
2) Bei Schuldtiteln und Zahlungskomponenten ergibt sich die Höhe der Risikoposition aus dem mit der geänderten Laufzeit des Schuldtitels bzw. der Zahlungskomponente multiplizierten, in die Landeswährung der Bank umgerechneten effektiven Nominalwert der ausstehenden Bruttozahlungen (einschliesslich des Nominalbetrages).
3) Bei einem Credit Default Swap ergibt sich die Höhe der Risikoposition aus dem mit der verbleibenden Laufzeit dieses Swaps multiplizierten Nominalwert des Referenzschuldtitels.
4) Bei einem OTC-Derivatgeschäft mit nicht linearem Risikoprofil, einschliesslich Optionen und Swaptions, ist die Höhe der Risikoposition gleich dem Delta entsprechenden effektiven Nominalwert des Basisfinanzinstrumentes, sofern es sich dabei nicht um einen Schuldtitel handelt.
5) Bei einem OTC-Derivatgeschäft mit nicht linearem Risikoprofil, einschliesslich Optionen und Swaptions, dem ein Schuldtitel oder eine Zahlungskomponente zugrunde liegt, ist die Höhe der Risikoposition gleich dem Delta entsprechenden, mit der geänderten Laufzeit des Schuldtitels oder der Zahlungskomponente multiplizierten effektiven Nominalwert des Finanzinstrumentes oder entsprechend der Zahlungskomponente.
6) Zur Bestimmung der Risikopositionen wird eine von einer Gegenpartei gestellte Sicherheit wie eine Forderung gegen die Gegenpartei im Rahmen eines Derivatgeschäftes (Long-Position), das am selben Tag fällig ist, behandelt, während eine der Gegenpartei gestellte Sicherheit wie eine Verpflichtung gegenüber der Gegenpartei (Short-Position), die am selben Tag fällig wird, behandelt wird.
7) Banken können zur Bestimmung der Grösse und des Vorzeichens einer Risikoposition folgende Formeln verwenden:
für alle Instrumente ausser Schuldtiteln:
effektiver Nominalwert bzw. Delta entsprechender
Dabei ist:
pref= Preis des zugrunde liegenden Instruments in der Referenzwährung;
V = Wert des Finanzinstrumentes (im Fall einer Option: Preis der Option; im Fall eines Geschäfts mit linearem Risikoprofil: Wert des zugrunde liegenden Instrumentes selbst);
p = Preis des zugrunde liegenden Instrumentes in derselben Währung wie V;
bei Schuldtiteln und Zahlungskomponenten aller Geschäfte:
effektiver Nominalwert, multipliziert mit der geänderten Laufzeit, bzw.
Delta entsprechender Nominalwert, multipliziert mit der geänderten Laufzeit
Dabei ist:
V = Wert des Finanzinstrumentes (im Fall einer Option: Preis der Option; im Fall eines Geschäftes mit linearem Risikoprofil: Wert des zugrunde liegenden Instrumentes selbst bzw. entsprechend der Zahlungskomponente);
r = Zinssatzniveau.
Lautet V auf eine andere Währung als die Referenzwährung, muss das Derivat durch Multiplikation mit dem geltenden Wechselkurs in die Referenzwährung umgerechnet werden.
10. Zuordnung von Hedging-Sets
1) Die Risikopositionen müssen Hedging-Sets zugeordnet werden. Für jeden Hedging-Set wird die Summe der resultierenden Risikopositionen in absoluten Zahlen errechnet. Diese Summe wird Nettorisikoposition genannt und wie folgt dargestellt:
2) Bei zinssatzbedingten Risikopositionen aus Geldeinlagen, die die Gegenpartei als Sicherheit gestellt hat, aus Zahlungskomponenten und aus Basisschuldtiteln, für die nach Art. 86 Abs. 1 eine Eigenmittelanforderung von 1.60 % oder weniger gilt, gibt es für jede Währung sechs Hedging-Sets. Die Einteilung erfolgt anhand einer Kombination aus "Laufzeit" (Laufzeit bis ein Jahr, Laufzeit zwischen einem und fünf Jahren, Laufzeit über ein Jahr) und "Referenzzinssätzen" (Referenzzinssätze mit Referenz Staatstitel und Referenzzinssätze für Nicht-Staatstitel).
3) Bei zinssatzbedingten Risikopositionen aus Basisschuldtiteln oder Zahlungskomponenten, bei denen der Zinssatz an einen Referenzzinssatz, der das allgemeine Marktzinsniveau widerspiegelt, gekoppelt ist, ist die Restlaufzeit der Zeitraum bis zur nächsten Zinsanpassung. In allen anderen Fällen ist sie die Restlaufzeit des Basisschuldtitels bzw. bei einer Zahlungskomponente die Restlaufzeit des Geschäftes.
4) Für jeden Emittenten eines Referenzschuldtitels, der einem Credit Default Swap zugrunde liegt, gibt es ein Hedging-Set.
5) Bei zinsbedingten Risikopositionen aus Geldeinlagen, die der Gegenpartei als Sicherheit gestellt werden, wenn diese Gegenpartei keine ausstehenden Schuldverpflichtungen mit einem geringen spezifischen Risiko sowie aus Basisschuldtiteln hat, für die nach Art. 86 Abs. 1 eine Eigenmittelanforderung von mehr als 1.60 % gilt, gibt es für jeden Emittenten ein Hedging-Set. Bildet eine Zahlungskomponente einen solchen Schuldtitel nach, so gibt es auch für jeden Emittenten des Basisschuldtitels ein Hedging-Set. Die Banken können Risikopositionen aus Schuldtiteln eines bestimmten Emittenten oder aus Referenzschuldtiteln desselben Emittenten, die von Zahlungskomponenten nachgebildet werden oder einem Credit Default Swap zugrunde liegen, ein und demselben Hedging-Set zuordnen.
6) Basisfinanzinstrumente, bei denen es sich nicht um Schuldtitel handelt, werden nur dann ein und demselben Hedging-Set zugeordnet, wenn sie identisch oder ähnlich sind. In allen anderen Fällen werden sie unterschiedlichen Hedging-Sets zugeordnet. Als ähnliche Instrumente gelten bei Aktienwerten Aktien desselben Emittenten (ein Aktienindex wird wie ein eigenständiger Emittent behandelt) und bei Edelmetallen Instrumente, die aus demselben Edelmetall bestehen (ein Edelmetallindex wird wie ein eigenständiges Edelmetall behandelt). Bei Elektroenergie gelten als ähnliche Instrumente jene Lieferrechte und-verpflichtungen, die sich auf dasselbe Zeitintervall einer Spitzenzeit oder nachfrageschwachen Zeit innerhalb eines Zeitraums von 24 Stunden beziehen, und bei Rohwaren Instrumente, die aus demselben Rohstoff bestehen. Ein Rohwarenindex wird wie eine eigenständige Rohware behandelt.
11. Bestimmung der Kreditumrechnungsfaktoren
1) Die für die verschiedenen Kategorien von Hedging-Sets festgelegten Kreditumrechnungsfaktoren bzw. CCR-Multiplikatoren (CCRM) sind in der Tabelle in Art. 43 Abs. 2 enthalten.
2) Bei den nach Art. 43 Abs. 2 mit einem Kreditumrechnungsfaktor von 10 % zu berücksichtigenden Basisinstrumente der Kategorie "übrige Basiswerte" wird jede Kategorie von Basisinstrumenten einem separaten Hedging-Set zugeordnet.
12. Übrige Anforderungen
1) Für Geschäfte mit nicht linearem Risikoprofil oder für Zahlungskomponenten und Geschäfte mit Basisschuldtiteln, für die die Bank das Delta oder entsprechend die geänderte Laufzeit nicht anhand eines von der FMA für die Bestimmung der erforderlichen Eigenmittel für das Marktrisiko genehmigten Modells ermitteln kann, werden die Höhe der Risikopositionen und die geltenden Kreditumrechnungsfaktoren von der FMA vorsichtig bestimmt. Alternativ kann die FMA die Anwendung der Marktwertmethode nach Art. 41 vorschreiben. Netting wird nicht anerkannt, d.h. der Forderungswert wird bestimmt, als gebe es ein Netting-Set, das nur die einzelne Transaktion umfasst.
2) Eine Bank muss über interne Verfahren verfügen, mit deren Hilfe sie vor der Aufnahme eines Geschäfts in ein Hedging-Set überprüfen kann, ob dieses Geschäft einer rechtlich durchsetzbaren Netting-Vereinbarung unterliegt, die die geltenden Anforderungen des Art. 46 erfüllt.
3) Eine Bank, die zur Minderung ihres Kreditrisikos auf Sicherheiten zurückgreift, muss über interne Verfahren verfügen, mit deren Hilfe sie vor Berücksichtigung der Sicherheit in ihren Berechnungen überprüfen kann, ob diese das erforderliche Mass an Rechtssicherheit nach Abschnitt 3 dieses Anhangs bietet.
III. Auf einem internen Modell beruhende Methode
13. Genehmigung und Anwendung
1) Mit Genehmigung der FMA kann eine Bank auf ein internes Modell zurückgreifen, um den Forderungswert für die in Art. 40 Abs. 5 genannten Geschäfte zu berechnen. Unbeschadet Art. 40 Abs. 3 können Banken beschliessen, Geschäfte mit unerheblichem Umfang und Risiko von dieser Methode auszunehmen. Zu diesem Zweck muss die Bank nachstehend festgelegte Anforderungen erfüllen.
2) Die Einführung des internen Modells kann mit Zustimmung der FMA schrittweise von einer Forderungsklasse zur nächsten erfolgen; während dieser Zeit kann die Bank die Marktwertmethode nach Art. 41 oder die Standardmethode nach Art. 43 anwenden. Unbeschadet nachfolgender Bestimmungen sind die Banken nicht gezwungen, ein bestimmtes Modell anzuwenden.
3) Für alle OTC-Derivatgeschäfte und Geschäfte mit langer Abwicklungsfrist, für die eine Bank keine Genehmigung zur Anwendung des internen Modells erhalten hat, wendet die Bank die Marktwertmethode nach Art. 41 oder die Standardmethode nach Art. 43 an. Eine dauerhafte parallele Verwendung dieser beiden Methoden innerhalb einer Gruppe ist unzulässig. Eine parallele Verwendung dieser beiden Methoden kann nur gestattet werden, wenn eine der Methoden für die unter Ziff. 12 Abs. 1 aufgeführten Fälle angewandt wird.
4) Banken, denen die Verwendung eines internen Modells gestattet wurde, dürfen nicht zur Verwendung der Marktwertmethode nach Art. 41 oder die Standardmethode nach Art. 43 zurückkehren, es sei denn, sie können dafür triftige Gründe nennen und die FMA genehmigt dies. Wenn eine Bank die Anforderungen nach Ziff. 13 ff. nicht mehr erfüllt, legt sie der FMA entweder einen Plan vor, aus dem hervorgeht, dass sie die Anforderungen bald wieder einhalten wird, oder sie weist nach, dass die Abweichungen keine nennenswerten Auswirkungen haben.
14. Ermittlung des Forderungswertes
1) Der Forderungswert wird für das Netting-Set insgesamt ermittelt. Das Modell berechnet zunächst die Prognoseverteilung für Änderungen beim Marktwert des Netting-Sets, die auf Veränderungen bei Marktvariablen, wie z.B. Zinssätze und Wechselkurse, zurückzuführen sind. Dann wird für das Netting-Set der Forderungswert zu jedem beliebigen künftigen Zeitpunkt bei veränderten Marktvariablen ermittelt. Für abgesicherte Gegenparteien kann das Modell auch künftige Schwankungen beim Wert der Sicherheit erfassen.
2) Banken können in ihre Prognoseverteilungen für Änderungen beim Marktwert des Netting-Sets die in Ziff. 3.3 von Abschnitt 3 Teil 1 dieses Anhangs und Ziff. 13.2 Abs. 2 des Anhangs 2 definierten anerkennungsfähigen finanziellen Sicherheiten einbeziehen, vorausgesetzt, die quantitativen, qualitativen und auf Daten bezogenen Anforderungen für das interne Modell sind bezüglich der Sicherheiten erfüllt.
3) Der Forderungswert ist das Produkt aus Alpha und dem effektiven erwarteten positiven Wiederbeschaffungswert (EPE):
Forderungswert = α · EffektiverEPE
Dabei ist Alpha gleich 1.4; die FMA kann jedoch einen höheren Alpha-Wert vorschreiben. Der effektive EPE wird ermittelt, indem die erwartete Forderung (EEt) als durchschnittliche Forderung zu einem künftigen Zeitpunkt t errechnet wird, wobei der Durchschnitt aus möglichen künftigen Werten relevanter Faktoren für das Marktrisiko gezogen wird. Im Rahmen des internen Modells wird EE für eine Reihe künftiger Zeitpunkte t1, t2, t3 ... geschätzt.
4) Der Effektive EE wird rekursiv errechnet:
EffektiverEEtk= max(EffektiverEEtk-1;EEtk)
Dabei wird das aktuelle Datum als t0 bezeichnet und der effektive EEt0ist gleich der aktuellen Forderung.
5) Dementsprechend ist der effektive EPE der durchschnittliche effektive EE im ersten Jahr der künftigen Forderung. Werden sämtliche Kontrakte des Netting-Sets vor Ablauf eines Jahres fällig, so ist EPE bis zur Fälligkeit aller Kontrakte im Netting-Set der Durchschnitt der erwarteten Wiederbeschaffungswerte. Der effektive EPE wird als gewichteter Durchschnitt des effektiven EE berechnet:
Dabei ermöglichen die Gewichte Δtk = tk - tk -1 es, die künftige Forderung für zeitlich ungleichmässig verteilte Zeitpunkte zu errechnen.
6) Masszahlen für die erwarteten oder die Spitzenwiederbeschaffungswerte werden ausgehend von einer Verteilung der Wiederbeschaffungswerte berechnet, die der möglichen Abweichung dieser Verteilung von der Norm Rechnung trägt.
7) Die Banken können anstelle des Produkts aus Alpha und dem effektiven EPE eine konservativere Masszahl für jede Gegenpartei statt eines gemäss der genannten Formel berechneten effektiven EPE verwenden.
8) Unbeschadet von Abs. 3 kann die FMA den Banken gestatten, vorbehaltlich einer Untergrenze von 1.2 ihre eigenen Alpha-Schätzungen zu verwenden, wobei Alpha gleich dem Verhältnis zwischen dem ökonomischen Kapital, das sich aus einer vollständigen Simulierung der Forderungen gegenüber allen Gegenparteien ergibt (Zähler), und dem auf der Grundlage des EPE bestimmten ökonomischen Kapitals (Nenner) ist. Im Nenner wird EPE wie ein feststehender Kreditrestbetrag verwendet. Für diese Methode in Frage kommende Banken müssen nachweisen, dass ihre internen Alpha-Schätzungen im Zähler wesentliche Ursachen stochastischer Abhängigkeiten nach Verteilung der Marktwerte von Geschäften oder Portfolios von Geschäften über die Gegenparteien erfassen. Interne Alpha-Schätzungen tragen der Granularität von Portfolios Rechnung.
9) Eine Bank stellt sicher, dass Zähler und Nenner von Alpha in Bezug auf Modellierungsmethode, Parameterspezifikationen und Portfoliozusammensetzung einheitlich berechnet werden. Der verwendete Ansatz muss sich auf den institutsinternen Ansatz für das ökonomische Kapital stützen, gut dokumentiert sein und von unabhängiger Seite validiert werden. Zusätzlich dazu überprüfen die Banken ihre Schätzungen mindestens einmal pro Quartal und bei im Zeitverlauf variierender Portfoliozusammensetzung noch häufiger. Die Banken bewerten das Risiko des Modells.
10) Wenn angebracht, sollten bei der gemeinsamen Simulation von Markt- und Kreditrisiken angewandte Unsicherheiten und Korrelationen von Marktrisikofaktoren dem Kreditrisikofaktor angemessen sein, um die potentiellen Zunahmen an Unsicherheiten oder Korrelationen bei einem wirtschaftlichen Abschwung wiederzuspiegeln.
11) Besteht für das Netting-Set eine Nachschussvereinbarung, so verwenden die Banken eine der folgenden EPE-Masseinheiten:
a) effektiver EPE ohne Berücksichtigung der Nachschussvereinbarung;
b) die in der Nachschussvereinbarung festgelegte Schwelle - sollte diese positiv sein - zuzüglich eines Aufschlages, der der potenziellen Erhöhung der Forderung während der Nachschuss-Risikoperiode Rechnung trägt. Berechnet wird dieser Aufschlag als die Erhöhung, die ausgehend von einer aktuellen Forderung Null im Laufe der Nachschuss-Risikoperiode bei der Forderung des Netting-Sets erwartet wird. Für Netting-Sets, die ausschliesslich aus Reprogeschäften auf der Grundlage einer täglichen Nachschussauszahlung und eines täglichen "mark-to-market" bestehen, wird eine Zeitspanne von fünf Arbeitstagen und für alle anderen Netting-Sets eine Zeitspanne von zehn Arbeitstagen auf die für diesen Zweck angewandte Nachschuss-Risikoperiode festgelegt;
c) erfasst das interne Modell bei der Schätzung des EE die Auswirkungen von Nachschusszahlungen, so kann die EE-Masseinheit des Modells bei entsprechender Genehmigung der FMA unmittelbar in die Gleichung nach Abs. 4 eingesetzt werden.
15. Mindestanforderungen für EPE-Modelle
Das EPE-Modell einer Bank muss den in Ziff. 15.1 bis 16 festgelegten Anforderungen gerecht werden.
15.1 Kreditrisikokontrolle (CCR-Kontrolle)
1) Die Bank verfügt über eine Kontrollabteilung, die für die Gestaltung und Umsetzung ihres Kreditrisikomanagements zuständig ist, wozu auch die erste und die laufende Validierung des internen Modells zählen. Diese Abteilung kontrolliert die eingehenden Daten auf ihre Stabilität und erstellt und analysiert Berichte über die Ergebnisse des institutseigenen Risikomessmodells, wozu auch eine Bewertung der Beziehung zwischen Risikomasszahlen und Kredit- und Handelsvolumenobergrenzen gehört. Diese Abteilung ist von den für die Erstellung, Erneuerung oder den Handel von Forderungen zuständigen Abteilungen unabhängig und vor jeder ungebührlichen Einflussnahme geschützt; sie verfügt über eine angemessenen Personalausstattung; sie erstattet dem höheren Management der Bank unmittelbar Bericht. Die Arbeiten dieser Abteilung sind eng mit dem täglichen Kreditrisikomanagment der Bank verzahnt. Ihre Ergebnisse sind deshalb integraler Bestandteil der Planung, Überwachung und Kontrolle des Kredit- und Gesamtrisikoprofils der Bank.
2) Die Vorschriften, Verfahren und Systeme, die die Bank zur Steuerung ihres Kreditrisikos einsetzt, sind konzeptionell solide und werden nach Treu und Glauben umgesetzt. Ein solides Kreditrisikomanagement umfasst die Ermittlung, Messung, Steuerung, Genehmigung und interne Meldung von Kreditrisiken.
3) Die Regelungen der Bank über das Risikomanagement tragen den Markt-, Liquiditäts- und rechtlichen und operationellen Risiken, die mit dem Kreditrisiko einhergehen können, Rechnung. Eine Bank geht keine Geschäftsbeziehung mit einer Gegenpartei ein, ohne deren Kreditwürdigkeit zu bewerten und trägt dem bei und vor der Abwicklung bestehenden Kreditrisiko gebührend Rechnung. Diese Risiken sind auf Ebene der Gegenpartei (durch Zusammenlegung der Forderungen gegenüber der Gegenpartei mit anderen Kreditforderungen) und auf Unternehmensebene so umfassend wie möglich zu steuern.
4) Geschäftsleitung und höheres Management der Bank sind aktiv am Kreditrisiko-Kontrollverfahren beteiligt und betrachten dies als wesentlichen Aspekt des Geschäftes, für den erhebliche Ressourcen eingesetzt werden müssen. Das höhere Management kennt die Grenzen des Modells und die diesem zugrunde liegenden Annahmen und weiss um deren mögliche Auswirkungen auf die Verlässlichkeit der Ergebnisse. Auch trägt es den Unwägbarkeiten des Marktes und betrieblichen Aspekten Rechnung und weiss, wie diese sich im Modell niederschlagen.
5) Die Tagesberichte über das Kreditrisiko der Bank sind von einer Managementebene zu überprüfen, die über ausreichende Befugnisse und ausreichende Autorität verfügt, um sowohl eine Herabsetzung der von einzelnen Kreditmanagern oder Händlern übernommenen Positionen als auch eine Herabsetzung des Kreditrisikos der Bank insgesamt durchzusetzen.
6) Das Kreditrisikomanagement einer Bank wird in Kombination mit den internen Kredit- und Handelsvolumenobergrenzen eingesetzt. Zu diesem Zweck müssen Kredit- und Handelsvolumenobergrenzen über einen gewissen Zeitraum hinweg nach dem gleichen Muster mit dem Risikomessmodell der Bank verknüpft sein und muss diese Verknüpfung für Kreditmanager, Händler und höheres Management gut nachvollziehbar sein.
7) Bei der Kreditrisikomessung einer Bank werden die tägliche und die innerhalb eines Tages verzeichnete Inanspruchnahme von Kreditlimiten und die Allokation des ökonomischen Kapitals ermittelt. Diese werden unter Einbeziehung und unter Ausschluss der hinterlegten Sicherheiten gemessen. Die Bank berechnet und überwacht für einzelne Portfolios und Gegenparteien den Spitzen- oder den möglichen künftigen Wiederbeschaffungswert (potential future exposure, PFE) zu dem von ihm gewählten Konfidenzniveau. Die Bank trägt dabei grossen oder konzentrierten Positionen von Gruppen verbundener Gegenparteien, Branchen, Märkten etc. Rechnung.
8) Ergänzend zur Kreditrisikoanalyse führt die Bank ausgehend vom täglichen Output ihres Risikomessmodells routinemässig ein rigoroses Stresstest-Programm durch. Die Ergebnisse dieser Stresstests werden regelmässig vom höheren Management überprüft und in den vom Management und der Geschäftsleitung festgelegten Kreditrisikovorschriften und -obergrenzen berücksichtigt. Ergeben Stresstests eine besondere Anfälligkeit für eine bestimmte Fallkonstellation, so sind unverzüglich Schritte einzuleiten, um diese Risiken angemessen zu steuern.
9) Die Bank verfügt über routinemässige Verfahren, die die Einhaltung der schriftlich festgelegten internen Vorschriften, Kontrollen und Verfahren für das Kreditrisiko-Managementsystem sicherstellen. Dieses System muss gut dokumentiert sein und eine Erläuterung der zur Kreditrisikomessung verwendeten empirischen Techniken enthalten.
10) Die interne Revision der Bank unterzieht das Kreditrisiko-Managementsystem regelmässig einer unabhängigen Prüfung. Diese schliesst sowohl die Tätigkeiten der Kredit- und der Handelsabteilung als auch die Tätigkeiten der unabhängigen Kreditrisiko-Kontrollabteilung ein. Der gesamte Prozess des Kreditrisiko-Managements wird in regelmässigen Abständen (idealerweise mindestens einmal pro Jahr) einer Prüfung unterzogen, bei der zumindest die folgenden Aspekte untersucht werden:
a) die Angemessenheit der Dokumentation von Kreditrisiko-Managementsystem und -verfahren;
b) die Organisation der Kreditrisiko-Kontrollabteilung;
c) die Einbindung der Kreditrisikomassnahmen in das tägliche Risikomanagement;
d) das Genehmigungsverfahren für die von den Mitarbeitern im Handels- und Abwicklungsbereich bei Risikotransaktionen angewandten Preisfindungsmodelle und Bewertungssysteme;
e) die Validierung aller wesentlichen Änderungen des Kreditrisiko-Messverfahrens;
f) der Umfang der vom Risikomessmodell erfassten Gegenparteiausfallrisiken;
g) die Stabilität des Systems zur Unterrichtung des Managements;
h) die Genauigkeit und Vollständigkeit der Kreditrisikodaten;
i) die Überprüfung der Schlüssigkeit, Aktualität und Verlässlichkeit der für interne Modelle verwendeten Datenquellen, wozu auch deren Unabhängigkeit zählt;
k) die Genauigkeit und Angemessenheit von Volatilitäts- und Korrelationsannahmen;
l) die Genauigkeit von Bewertung und Risikotransformationsberechnungen;
m) die Überprüfung der Modellgenauigkeit durch häufiges Backtesting.
15.2 Praxistest
1) Die Verteilung der Wiederbeschaffungswerte, die sich aus dem zur Berechnung des effektiven EPE verwendeten Modells ergibt, wird eng in das tägliche Kreditrisikomanagement der Bank einbezogen. Der Output des internen Modells spielt folglich bei der Kreditvergabe, dem Management des Gegenparteiausfallrisikos, der internen Kapitalallokation und der Corporate Governance der Bank eine wesentliche Rolle.
2) Die Bank zeichnet die Anwendung interner Modelle zur Ermittlung der Kreditrisikoverteilung auf. Sie weist damit nach, dass sie zur Berechnung der Verteilungen der Wiederbeschaffungswerte, auf die sich die EPE-Berechnung stützt, seit mindestens einem Jahr vor der Genehmigung der FMA ein den Mindestanforderungen weitgehend entsprechendes internes Modell verwendet.
3) Das zur Ermittlung der Verteilung der Wiederbeschaffungswerte verwendete interne Modell ist Teil des allgemeinen Gegenparteiausfallrisiko-Managements, das die Ermittlung, die Messung, das Management, die Genehmigung und die interne Meldung von Gegenparteiausfallrisiken einschliesst. Im Rahmen dieses Managements wird (durch Zusammenlegung der Forderungen gegenüber den Gegenparteien mit anderen Forderungen) ebenfalls die Inanspruchnahme von Kreditlimiten gemessen und die Allokation des ökonomischen Kapitals ermittelt. Zusätzlich zum EPE misst und steuert die Bank auch ihre aktuellen Forderungen. Diese werden gegebenenfalls unter Einbeziehung und unter Ausschluss der hinterlegten Sicherheiten gemessen. Der Praxistest gilt als bestanden, wenn eine Bank zur Berechnung des EPE andere Masseinheiten für das Gegenparteiausfallrisiko, wie den Spitzenwiederbeschaffungswert oder den potenziellen künftigen Wiederbeschaffungswert, verwendet, die auf einer anhand desselben Modells ermittelten Verteilung der Wiederbeschaffungswerte beruhen.
4) Eine Bank muss zu einer täglichen EE-Schätzung in der Lage sein, es sei denn, sie weist der FMA gegenüber nach, dass ihr Gegenparteiausfallrisiko eine seltenere Berechnung rechtfertigt. Die Bank muss EE-Schätzungen für einen Prognosezeitraum erstellen, der angemessen die zeitliche Struktur künftiger Zahlungsströme und Ende der Verträge widerspiegelt und das in einer Weise, die der Bedeutung und der Zusammensetzung der Forderung gerecht wird.
5) Die Forderung wird für die Laufzeit sämtlicher Kontrakte des Netting-Sets (und nicht nur bis zum Einjahreshorizont) gemessen, verfolgt und kontrolliert. Die Bank verfügt über Verfahren zur Ermittlung und Kontrolle der Risiken für den Fall, dass die Forderung gegenüber der Gegenpartei über den Einjahreshorizont hinausgeht. Die prognostizierte Erhöhung der Forderung fliesst in das institutsinterne Modell zur Bestimmung des ökonomischen Kapitals ein.
15.3 Stresstests
1) Eine Bank verfügt über solide Stresstest-Verfahren, um die Angemessenheit der Eigenmittelausstattung der Gegenparteien zu bewerten. Diese Messungen werden mit den EPE-Messungen abgeglichen und von der Bank im Rahmen des in Art. 25 Abs. 2 festgelegten Verfahrens geprüft. Darüber hinaus sollen bei diesen Stresstests mögliche Ereignisse oder künftige Veränderungen der wirtschaftlichen Rahmenbedingungen, die sich nachteilig auf die Kreditforderungen der Bank auswirken könnten, ermittelt und die Fähigkeit der Bank, solchen Veränderungen standzuhalten, bewertet werden.
2) Die Bank unterzieht ihre Forderungen gegenüber den Gegenparteien Stresstests, die auch einen gemeinsamen Test von Markt- und Kreditrisikofaktoren umfassen. Abstellen sollen diese Tests auf das Konzentrationsrisiko (Konzentration auf eine einzige Gegenpartei oder eine Gruppe von Gegenparteien), das Risiko einer Korrelation zwischen Markt- und Kreditrisiko und das Risiko, dass eine Glattstellung der Positionen der Gegenpartei den Markt in Bewegung versetzen könnte. Derartige Stresstests tragen ebenfalls den Auswirkungen solcher Marktbewegungen auf die Eigenpositionen der Bank Rechnung und beziehen diese Auswirkungen in die Bewertung des Gegenparteiausfallrisikos ein.
15.4 Korrelationsrisiko
1) Die Banken tragen Forderungen, die mit einem erheblichen allgemeinen Korrelationsrisiko verbunden sind, gebührend Rechnung.
2) Eine Bank verfügt über Verfahren, mit denen spezielle Korrelationsrisiken vom Geschäftsabschluss an über die gesamte Laufzeit des Geschäftes hinweg ermittelt, verfolgt und kontrolliert werden können.
15.5 Stabilität des Modellierungsverfahrens
1) Das interne Modell trägt den Konditionen eines Geschäftes zeitnah, umfassend und vorsichtig Rechnung. Zu diesen Konditionen zählen unter anderem Nominalbeträge, Laufzeit, Referenzaktiven, Nachschussvereinbarungen, Netting-Vereinbarungen usw. Diese Konditionen sind in einer Datenbank gespeichert, die in regelmässigen Abständen einer förmlichen Überprüfung unterzogen wird. Das Verfahren zur Annahme von Netting-Vereinbarungen erfordert die Genehmigung durch die Rechtsabteilung, um die rechtliche Durchsetzbarkeit des Nettings zu prüfen, und die Daten müssen durch eine unabhängige Abteilung in die Datenbank eingegeben werden. Die Übermittlung der Konditionen an das interne Modell ist ebenfalls durch die interne Revision zu prüfen. Ausserdem besteht ein förmliches Verfahren für den Abgleich der Daten des internen Modells und des Ausgangsdatensystems, damit laufend sichergestellt werden kann, dass sich die Geschäftskonditionen im EPE korrekt oder zumindest vorsichtig niederschlagen.
2) Beim internen Modell werden zur Berechnung der aktuellen Wiederbeschaffungswerte aktuelle Marktdaten verwendet. Werden zur Schätzung von Volatilität und Korrelationen historische Daten herangezogen, so umfassen diese einen Zeitraum von mindestens drei Jahren und werden quartalsweise oder - sollten die Marktverhältnisse dies erfordern - häufiger aktualisiert. Die Daten spiegeln das gesamte Spektrum wirtschaftlicher Bedingungen - beispielsweise einen kompletten Konjunkturzyklus - wider. Eine von der Kreditabteilung unabhängige Abteilung validiert den von der Kreditabteilung genannten Preis. Die Daten werden geschäftsfeldunabhängig gesammelt, rechtzeitig und vollständig in das interne Modell eingespeist und in einer Datenbank, die regelmässig einer förmlichen Überprüfung unterzogen wird, gespeichert. Die Bank verfügt ferner über ein erprobtes Verfahren, das die Aussagekraft der Daten sicherstellt und diese von unzutreffenden und/oder anormalen Kommentaren bereinigt. Stützt sich das interne Modell bei den Marktdaten auf Indikatoren, beziehungsweise auf neue Produkte, für die historische Daten, die einen Zeitraum von mindestens drei Jahren umfassen, nicht verfügbar sind, so geben interne Vorschriften Aufschluss darüber, welche Indikatoren als geeignet anzusehen sind; ausserdem weist die Bank empirisch nach, dass der Indikator eine konservative Abbildung des zugrunde liegenden Risikos unter widrigen Marktbedingungen gewährleistet. Wenn das Modell die Berücksichtigung der Sicherheit für Änderungen beim Marktwert des Netting-Sets einschliesst, benötigt die Bank angemessene historische Daten, um die Volalität der Sicherheiten im Model darzustellen.
3) Das Modell wird einem Verfahren zur Modellvalidierung unterzogen. Dieses Verfahren ist in den internen Vorschriften und Verfahren der Bank genau festgelegt. Darin wird bestimmt, welche Tests erforderlich sind, um die Stabilität des Modells zu gewährleisten, unter welchen Voraussetzungen gegen Annahmen verstossen wird und dies eine zu niedrige Ansetzung des EPE zur Folge haben kann. Im Rahmen des Validierungsverfahrens wird die Vollständigkeit des Modells überprüft.
4) Eine Bank überwacht die einschlägigen Risiken und verfügt über Verfahren, mit denen sie ihre EPE-Schätzungen anpassen kann, sollten diese Risiken ein erhebliches Ausmass erreichen. Dazu zählt Folgendes:
a) die Bank ermittelt und steuert ihre speziellen Korrelationsrisiken;
b) bei Forderungen, deren Risikoprofil sich nach einem Jahr erhöht, vergleicht die Bank regelmässig die EPE-Schätzungen über ein Jahr mit den EPE-Schätzungen über die gesamte Laufzeit der Forderung;
c) bei Forderungen mit kurzer Laufzeit (unter einem Jahr) vergleicht die Bank regelmässig die Wiederbeschaffungskosten (aktuelle Forderung) mit dem erreichten Risikoprofil und/oder gespeicherten Daten, die einen solchen Vergleich ermöglichen.
5) Eine Bank verfügt über interne Verfahren, mit deren Hilfe sie vor der Aufnahme eines Geschäfts in ein Netting-Set überprüfen kann, ob dieses Geschäft einer rechtlich durchsetzbaren Netting-Vereinbarung unterliegt, die die geltenden Anforderungen von Art. 46 erfüllt.
6) Eine Bank, die zur Minderung ihres Kreditrisikos auf Sicherheiten zurückgreift, verfügt über interne Verfahren, mit deren Hilfe sie vor Berücksichtigung der Sicherheit in ihren Berechnungen überprüfen kann, ob diese das erforderliche Mass an Rechtssicherheit nach Abschnitt 3 dieses Anhangs bietet.
16. Validierungsvorgaben für EPE-Modelle
1) Das EPE-Modell einer Bank erfüllt die folgenden Validierungsvorgaben:
a) die Validierungsvorgaben nach Anhang 2;
b) zur Bemessung der Forderung gegenüber den Gegenparteien werden Zinssätze, Wechselkurse, Aktienkurse, Rohwaren und andere für das Marktrisiko relevante Faktoren über einen langen Zeitraum hinweg prognostiziert. Die Leistungsfähigkeit des Modells zur Prognose marktrisikorelevanter Faktoren wird über einen langen Zeitraum hinweg validiert.
2) Die Preisfindungsmodelle, anhand deren die Forderung gegenüber den Gegenparteien für ein bestimmtes Szenario künftiger Schocks bei marktrisikorelevanten Faktoren berechnet wird, werden im Rahmen der Modellvalidierung getestet. Preisfindungsmodelle für Optionen tragen der fehlenden Linearität des Optionswerts in Bezug auf marktrisikorelevante Faktoren Rechnung.
3) Das EPE-Modell erfasst geschäftsspezifische Informationen, damit die Forderungen auf Ebene des Netting-Sets zusammengefasst werden können. Die Bank stellt sicher, dass im Rahmen des Modells Geschäfte dem richtigen Netting-Set zugeordnet werden.
4) Mit der Einbeziehung geschäftsspezifischer Informationen in das EPE-Modell sollen auch die Auswirkungen von Einschüssen erfasst werden. Berücksichtigt werden dabei neben dem aktuellen Betrag des Einschusses auch die künftigen Einschusszahlungen zwischen den Gegenparteien. Ein solches Modell trägt der Art der Nachschussvereinbarungen (ein- oder zweiseitig), der Häufigkeit von Nachschussforderungen, der Nachschuss-Risikoperiode, der Schwelle, bis zu der die Bank bereit ist, eine fehlende Besicherung zu akzeptieren, und dem Mindesttransferbetrag Rechnung. Bei einem solchen Modell werden entweder die Änderungen des Marktwertes der hinterlegten Sicherheit prognostiziert oder die Regeln von Abschnitt 3 dieses Anhangs angewandt.
5) Bei der Modellvalidierung werden repräsentative Gegenparteienportfolios einem statischen, historischen Backtesting unterzogen. In regelmässigen Abständen führt eine Bank bei einer Reihe repräsentativer (tatsächlicher oder hypothetischer) Gegenparteienportfolios ein solches Backtesting durch. Kriterien für die Repräsentativität der Portfolios sind deren Sensibilität auf die wesentlichen Risikofaktoren sowie die Existenz von Korrelationen, die für die Bank ein Risiko darstellen können.
6) Wenn ein Backtesting belegt, dass das Modell nicht ausreichend genau ist, muss die FMA die Verwendung des Modells widerrufen oder angemessene Massnahmen erlassen, um zu gewährleisten, dass das Modell unverzüglich verbessert wird. Sie kann auch zusätzliche Eigenmittel nach Art. 136 der Richtlinie 2006/48/EG fordern.
Teil 2: Anerkennung von Ratingagenturen (External Credit Assessment Institutions - ECAIs) und Zuordnung ihrer Ratings nach Art. 36 Abs. 3
I. Methodik
1. Objektivität und Unabhängigkeit
1) Die FMA überzeugt sich davon, dass die Methodik für die Vergabe von Ratings streng, systematisch und beständig ist und einer Validierung unterliegt, die auf historischen Erfahrungswerten beruht.
2) Die FMA überzeugt sich davon, dass die Methodik keinen externen politischen Einflüssen oder Restriktionen und keinem wirtschaftlichen Druck unterliegt, der das Ratingurteil beeinflussen könnte.
3) Bei der Beurteilung der Unabhängigkeit der Methodik einer Ratingagentur zieht die FMA insbesondere die folgenden Faktoren heran:
a) Eigentums- und Organisationsstruktur der Ratingagentur;
b) finanzielle Ressourcen der Ratingagentur;
c) personelle Ausstattung und Sachkenntnis der Ratingagentur;
d) Corporate Governance der Ratingagentur.
2. Laufende Überprüfung
1) Die FMA überzeugt sich davon, dass die Ratings der Ratingagentur laufend überprüft werden und bei Änderungen der finanziellen Situation angepasst werden. Die Überprüfung erfolgt nach jedem signifikanten Ereignis, mindestens aber einmal im Jahr.
2) Bevor die Ratingagentur anerkannt wird, überzeugt sich die FMA davon, dass die Beurteilungsmethodik für jedes einzelne Marktsegment gewissen Standards entspricht, z.B.:
a) das Backtesting muss seit mindestens einem Jahr angewandt worden sein;
b) die Regelmässigkeit der Überprüfung durch die Ratingagentur muss von der FMA überwacht werden;
c) die FMA muss von den Ratingagenturen Auskunft über deren Kontakte zur Geschäftsleitung der beurteilten Unternehmen verlangen können.
3) Die FMA trifft die notwendigen Massnahmen, um von den Ratingagenturen unverzüglich über substanzielle Änderungen an deren Beurteilungsmethodik unterrichtet zu werden.
3. Transparenz und Offenlegung
Die FMA trifft die notwendigen Massnahmen, um sicherzustellen, dass die Grundsätze der von einer Ratingagentur angewandten Kreditbeurteilungsmethodik öffentlich zugänglich sind, damit sich potenzielle Nutzer ein Urteil über ihre angemessene Herleitung bilden können.
II. Einzelratings
4. Glaubwürdigkeit und Marktakzeptanz
1) Die FMA überzeugt sich davon, dass die Einzelratings einer Ratingagentur am Markt von den Nutzern derartiger Ratings als glaubwürdig und verlässlich anerkannt sind.
2) Die FMA beurteilt die Glaubwürdigkeit insbesondere anhand von folgenden Faktoren:
a) Marktanteil der Ratingagentur;
b) von der Ratingagentur erzielte Einkünfte und im weiteren Sinne finanzielle Mittel der Ratingagentur;
c) Nutzung der Ratings zu einer Preisfeststellung;
d) Nutzung der Einzelratings der Ratingagentur für die Ausgabe von Schuldverschreibungen und/oder die Bewertung von Kreditrisiken durch mindestens zwei Banken.
5. Transparenz und Offenlegung
1) Die FMA überzeugt sich davon, dass die Einzelratings zumindest allen Banken, die ein berechtigtes Interesse an diesen Einzelratings haben, zu gleichen Bedingungen zulässig sind.
2) Die FMA überzeugt sich insbesondere davon, dass die Einzelratings ausländischen Banken zu gleichen Bedingungen zugänglich sind wie inländischen Parteien, die ein berechtigtes Interesse an diesen Einzelratings haben.
III. Zuordnung ("Mapping")
6. Zuordnung der Ratings zu Ratingklassen
1) Um zwischen den relativen Risikograden, die mit jeder Beurteilung zum Ausdruck gebracht werden, zu differenzieren, berücksichtigt die FMA quantitative Faktoren wie die langfristige Ausfallquote aller Posten mit demselben Rating. Bei neuen Ratingagenturen oder Ratingagenturen, die Ausfalldaten erst über eine kurze Dauer ermittelt haben, verlangt die FMA von der Ratingagentur eine Schätzung der langfristigen Ausfallquote sämtlicher Posten mit demselben Rating.
2) Um zwischen den relativen Risikograden, die mit jeder Beurteilung zum Ausdruck gebracht werden, zu differenzieren, berücksichtigt die FMA quantitative Faktoren wie den von der Ratingagentur beurteilten Emittentenkreis, die Bandbreite der von der Ratingagentur vergebenen Ratings, die Aussage eines jeden Ratings und die von der Ratingagentur verwendete Ausfalldefinition.
3) Die FMA vergleicht die bei den verschiedenen Ratings einer Ratingagentur verzeichneten Ausfallquoten und stellt sie einem Benchmarkwert gegenüber, der anhand der historischen Ausfallquoten anderer Ratingagenturen bei einem nach Auffassung der FMA mit dem gleichen Kreditrisiko behafteten Emittentenkreis ermittelt wurde.
4) Sind die bei den Ratings einer Ratingagentur verzeichneten Ausfallquoten nach Auffassung der FMA wesentlich und systematisch höher als der entsprechende Benchmarkwert, so ordnet die FMA das Rating dieser Ratingagentur einer höheren Risikostufe der Bonitätsskala zu.
5) Hat die FMA das Risikogewicht für ein bestimmtes Rating einer Ratingagentur angehoben, so kann sie dieses auf die ursprüngliche Bonitätsstufe zurücksetzen, wenn die Ratingagentur nachweist, dass die bei ihrem Rating verzeichneten Ausfallquoten nicht mehr wesentlich und systematisch höher sind als der Benchmarkwert.
Teil 3: Nutzung der Ratings von Ratingagenturen zur Bestimmung des Risikogewichtes im Standardansatz
1. Verwendung von Ratings
1) Eine Bank kann eine oder mehrere anerkannte Ratingagenturen benennen, die für die Ermittlung der auf Aktiv- und ausserbilanzielle Posten anzuwendenden Risikogewichte herangezogen werden.
2) Eine Bank, die die von einer anerkannten Ratingagentur ausgegebenen Ratings für eine bestimmte Forderungsklasse heranzieht, muss diese Ratings durchgängig auf sämtliche zu dieser Klasse gehörende Forderungen anwenden.
3) Eine Bank, die die von einer anerkannten Ratingagentur ausgegebenen Ratings heranzieht, muss diese kontinuierlich und im Zeitverlauf konsequent sowie in konsistenter Weise sowohl für Zwecke der Risikogewichtung als auch für Zwecke des Risikomanagements anwenden.
4) Unabhängig davon, ob eine Bank beabsichtigt, auf das Emittenten- oder Emissionsrating abzustellen, ist sicherzustellen, dass für das Rating die gesamte Schuld eines Kunden, d.h. Nominalbetrag der Forderung und Zinszahlungen, abgedeckt wird. Wenn dies nicht der Fall ist, kann die Bank die Ratings einer Ratingagentur nicht zur Risikogewichtung heranziehen.
5) Liegt für eine geratete Forderung nur ein einziges Rating einer anerkannten Ratingagentur vor, so wird dieses Rating zur Bestimmung des auf diese Forderung anzuwendenden Risikogewichts herangezogen.
6) Liegen für eine geratete Forderung zwei Ratings anerkannter Ratingagenturen vor, die unterschiedlichen Risikogewichten entsprechen, so wird das jeweils höhere Risikogewicht angewandt.
7) Liegen für eine geratete Forderung mehr als zwei Ratings anerkannter Ratingagenturen vor, so werden die beiden Ratings zugrunde gelegt, die zu den beiden niedrigsten Risikogewichten führen. Sind die beiden niedrigsten Risikogewichte unterschiedlich, so wird das höhere Risikogewicht von beiden angewandt. Sind die beiden niedrigsten Risikogewichte identisch, so wird dieses Risikogewicht angewandt.
8) Die Banken verwenden Ratings, die aufgrund eines Auftrags erstellt wurden. Die FMA kann den Banken die Verwendung von Ratings gestatten, die ohne Auftrag erstellt wurden.
2. Emittenten- und Emissionsratings
1) Liegt für ein bestimmtes Emissionsprogramm oder eine bestimmte Fazilität (z.B. für Wertpapiere), zu dem/der der Forderungsposten gehört, ein Rating vor, so wird dieses emissionsspezifische Rating für die Bestimmung des auf diese Posten anzuwendenden Risikogewichts verwendet.
2) Wenn für einen Posten kein direkt anwendbares Rating vorliegt, jedoch ein Rating für ein bestimmtes Emissionsprogramm oder eine bestimmte Fazilität vorliegt, zu dem/der der Forderungsposten nicht gehört, oder wenn ein allgemeines Rating für den Emittenten (Emittentenrating) vorliegt, so wird dieses Rating verwendet, wenn es zu einem höheren Risikogewicht führt als eine Forderung ohne Rating oder wenn es zu einem niedrigeren Risikogewicht führt und die fragliche Forderung in jeder Hinsicht gleichrangig oder höherrangig ist als das Emissionsprogramm, die Fazilität oder die vorrangigen unbesicherten Forderungen dieses Emittenten.
3) Ratings für Emittenten aus einer Unternehmensgruppe dürfen nicht als Ratings für andere Emittenten in derselben Unternehmensgruppe herangezogen werden.
3. Lang- und Kurzfrist-Ratings
1) Kurzfrist-Ratings dürfen nur für kurzfristige Forderungen und ausserbilanzielle Positionen gegenüber Banken und Wertpapierfirmen sowie Unternehmen herangezogen werden.
2) Kurzfrist-Ratings dürfen nur für die von diesem Kurzfrist-Rating erfasste Forderung verwendet werden; Risikogewichte für andere Forderungen dürfen daraus nicht abgeleitet werden.
3) Erhält eine Fazilität, für die ein Kurzfrist-Rating vorliegt, ein Risikogewicht von 150 %, so wird dieses Risikogewicht von 150 % ungeachtet von Abs. 2 auch auf alle nicht gerateten unbesicherten lang- und kurzfristigen Forderungen gegenüber diesem Schuldner angewandt.
4) Erhält eine Fazilität, für die ein Kurzfrist-Rating vorliegt, ein Risikogewicht von 50 %, so wird ungeachtet von Abs. 2 auf alle nicht gerateten kurzfristigen Forderungen ein Risikogewicht von mindestens 100 % angewandt.
4. Forderungen in der Landeswährung und in ausländischer Währung
1) Ein Rating für eine auf die Landeswährung des Schuldners lautende Forderung darf nicht zur Risikogewichtung einer auf eine ausländische Währung lautenden Forderung gegenüber demselben Schuldner, sei sie geratet oder nicht geratet, herangezogen werden.
2) Entsteht eine Forderung jedoch durch die Beteiligung einer Bank an einem Kredit von einer Multilateralen Entwicklungsbank mit einem am Markt anerkannten privilegierten Gläubigerstatus, so kann die FMA ungeachtet von Abs. 1 gestatten, dass das Rating für die auf die Landeswährung des Schuldners lautende Forderung für Risikogewichtungszwecke herangezogen wird.
Abschnitt 2: Auf internen Ratings basierender Ansatz (IRB-Ansatz)
Teil 1: Risikogewichtete Forderungsbeträge und erwartete Verlustbeträge
I. Berechnung der risikogewichteten Forderungsbeträge für das Kreditrisiko
1. Im Allgemeinen
1) Sofern nicht anders angegeben, werden die Parameter Ausfallwahrscheinlichkeit (Probability of Default - PD), Verlustquote bei Ausfall (Loss given Default - LGD) und effektive Restlaufzeit (Maturity Value - M) nach Teil 2 und der Forderungswert nach Teil 3 dieses Abschnitts bestimmt.
2) Der risikogewichtete Forderungsbetrag für jede einzelne Forderung wird nach den nachstehenden Formeln berechnet.
2. Risikogewichtete Forderungsbeträge für Forderungen gegenüber Unternehmen, Banken und Wertpapierfirmen sowie Zentralregierungen und Zentralbanken
1) Vorbehaltlich der Abs. 2 bis 7 werden die risikogewichteten Forderungsbeträge für Forderungen gegenüber Unternehmen, Banken und Wertpapierfirmen sowie Zentralregierungen und Zentralbanken nach den nachstehenden Formeln berechnet:
N(x) bezeichnet die kumulative Verteilungsfunktion einer standardnormalverteilten Zufallsvariablen (d.h. die Wahrscheinlichkeit, dass eine normalverteilte Zufallsvariable mit einem Erwartungswert von Null und einer Standardabweichung von eins kleiner oder gleich x ist). G(z) bezeichnet die inverse kumulative Verteilungsfunktion einer standardnormalverteilten Zufallsvariablen (d.h. den Wert von x, so dass N(x) = z ist).
Ist PD = 0, beträgt RW: 0
Ist PD = 1, gilt Folgendes:
- bei ausgefallenen Forderungen, für die die Banken die LGD-Wert nach Teil 2 Ziff. 2.2 Abs. 1 dieses Abschnitts verwenden, beträgt RW: 0 bei ausgefallenen Forderungen, für die die Banken ihre eigenen LGD-Schätzungen verwenden, beträgt RW: max(0;12.5 · (LGD-ELBE))
- dabei ist ELBEdie von der Bank selbst vorgenommene möglichst genaue Schätzung der erwarteten Verluste aus der ausgefallenen Forderung nach Teil 4 Ziff. 11.4a Abs. 7 dieses Abschnitts.
Risikogewichteter Forderungsbeitrag = RW · Forderungswert
2) Bei Unternehmen, die einer Gruppe mit einem konsolidierten Jahresumsatz von weniger als 75 Millionen Schweizer Franken (CHF) angehören, können die Banken zur Berechnung der auf die Forderungen gegenüber diesen Unternehmen anzuwendenden Risikogewichte nachstehender Korrelationsformel anwenden. In dieser Formel wird S als Jahresumsatz in Millionen CHF angegeben, wobei gilt: 7.5 Millionen CHF = S = 75 Millionen CHF. Jahresumsätze von unter 7.5 Millionen CHF werden wie Umsätze von 7.5 Millionen CHF behandelt. Bei angekauften Forderungen errechnet sich der konsolidierte Jahresumsatz aus dem gewichteten Durchschnitt der einzelnen Forderungen des Pools.
Die Banken ersetzen den konsolidierten Jahresumsatz durch die Bilanzsumme der konsolidierten Gruppe, wenn der konsolidierte Jahresumsatz kein sinnvoller Indikator für die Unternehmensgrösse ist und die Bilanzsumme als Indikator sinnvoller ist als der konsolidierte Jahresumsatz.
3) Im Falle von Spezialfinanzierungen, bei denen eine Bank nicht nachweisen kann, dass ihre PD-Schätzungen den Mindestanforderungen in Teil 4 dieses Abschnitts entsprechen, wird den zugehörigen Forderungen ein Risikogewicht nach Tabelle 1 zugeordnet.
Tabelle 1:
|
Restlaufzeit
|
Kategorie 1
|
Kategorie 2
|
Kategorie 3
|
Kategorie 4
|
Kategorie 5
|
|
Weniger als 2.5 Jahre
|
50 %
|
70 %
|
115 %
|
250 %
|
0 %
|
|
2.5 Jahre oder mehr
|
70 %
|
90 %
|
115 %
|
250 %
|
0 %
|
Die FMA kann einer Bank gestatten, Forderungen der Kategorie 1 grundsätzlich ein günstigeres Risikogewicht von 50 % und Forderungen der Kategorie 2 grundsätzlich ein Risikogewicht von 70 % zuzuordnen, wenn der Abschluss der Finanzierungen durch die Bank und andere Risikomerkmale deutlich positiver zu beurteilen sind, als es der jeweiligen Risikokategorie entspricht.
Bei der Risikogewichtung von Spezialfinanzierungen berücksichtigen die Banken folgende Faktoren: Finanzkraft, politische und rechtliche Rahmenbedingungen, Transaktions- und/oder Forderungsmerkmale, Stärke des Geldgebers/Trägers unter Berücksichtigung etwaiger Einkünfte aus öffentlich-privaten Partnerschaften, Absicherung.
4) Die Banken müssen hinsichtlich ihrer angekauften Forderungen gegenüber Unternehmen den Mindestanforderungen nach Teil 4 Ziff. 11.7a bis 11.7e dieses Abschnitts entsprechen. Bei angekauften Forderungen an Unternehmen, die ausserdem die Voraussetzungen unter Ziff. 3 Abs. 4 erfüllen, können die in Teil 4 dieses Abschnitts dargelegten Risikoquantifizierungsstandards für Retailforderungen angewandt werden, wenn die Anwendung der in Teil 4 dieses Abschnitts dargelegten Risikoquantifizierungsstandards für Forderungen gegenüber Unternehmen eine unverhältnismässige Belastung für eine Bank darstellen würde.
5) Bei angekauften Forderungen gegenüber Unternehmen können zurückzuzahlende Kaufpreisnachlässe, Sicherheiten oder Teilgarantien, die eine First-Loss-Absicherung gegen Ausfallverluste, Verwässerungsverluste oder beides bieten, als First-Loss-Positionen im Rahmen der IRB-Verbriefungsregeln behandelt werden.
6) Stellt eine Bank eine Kreditabsicherung für einen Korb von Forderungen in der Weise, dass der n-te bei diesen Forderungen auftretende Ausfall die Zahlung auslöst und dieses Kreditereignis auch den Kontrakt beendet, so werden die in Art. 47 bis 53 vorgeschriebenen Risikogewichte angewandt, wenn für das Produkt ein externes Rating einer anerkannten Ratingagentur vorliegt. Liegt für das Produkt kein Rating einer anerkannten Ratingagentur vor, so werden die Risikogewichte der im Korb enthaltenen Forderungen ohne n-1 Forderungen aggregiert, wobei die Summe des 12.5-fachen erwarteten Verlustbetrags und des risikogewichteten Forderungsbetrags den 12.5-fachen, durch das Kreditderivat abgesicherten Nominalbetrag nicht übersteigen darf. Die bei der Aggregation auszunehmenden n-1 Forderungen werden auf der Basis bestimmt, dass jede dieser Forderungen einen niedrigeren risikogewichteten Forderungsbetrag ergibt als den risikogewichteten Forderungsbetrag der in die Aggregation eingehenden Forderungen.
7) Bei jeder Forderung, die die in Abschnitt 3 Teil 1 Ziff. 5.2 und Teil 2 Ziff. 14 dieses Anhangs genannten Anforderungen erfüllt, können die risikogewichteten Forderungsbeträge nach folgender Formel angepasst werden:
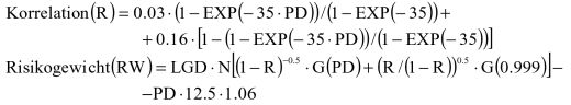
Risikogewichteter Forderungsbetrag = RW · Forderungswert · (0.15+160 · PDpp)
PDPP= Ausfallwahrscheinlichkeit des Sicherungsgebers
Das RW für die besicherte Forderung wird anhand der Formel in Abs. 1, der Ausfallwahrscheinlichkeit des Schuldners und der LGD für eine vergleichbare direkte Forderung gegenüber dem Sicherungsgeber berechnet. Der Laufzeitfaktor (b) wird anhand der PD des Sicherungsgebers oder der PD des Schuldners berechnet, je nachdem, welche von beiden die niedrigere ist.
3. Risikogewichtete Forderungsbeträge für Retailforderungen
1) Vorbehaltlich von Abs. 2 und 3 werden die risikogewichteten Forderungsbeträge für Retailforderungen nach den nachstehenden Formeln berechnet:
N(x) bezeichnet die kumulative Verteilungsfunktion einer standardnormalverteilten Zufallsvariablen (d.h. die Wahrscheinlichkeit, dass eine normalverteilte Zufallsvariable mit einem Erwartungswert von Null und einer Standardabweichung von eins kleiner oder gleich x ist). G(z) bezeichnet die inverse kumulative Verteilungsfunktion einer standardnormalverteilten Zufallsvariablen (d.h. den Wert von x, so dass N(x) = z ist).
Ist PD = 1 (ausgefallene Forderung), beträgt RW:
max(0;12.5 · (LGD - ELBE))
dabei ist ELBEdie von der Bank selbst vorgenommene möglichst genaue Schätzung der erwarteten Verluste aus der ausgefallenen Forderung nach Teil 4 Ziff. 11.4a Abs. 7 dieses Abschnitts.
Risikogewichteter Forderungsbetrag = RW · Forderungswert
2) Bei Retailforderungen, die durch Immobilien abgesichert sind, wird die mit der nach Abs. 1 angegebenen Formel ermittelte Korrelation durch eine Korrelation (R) von 0.15 ersetzt.
3) Bei qualifizierten revolvierenden Retailforderungen im Sinne von Bst. a bis e wird die mit der nach Abs. 1 angegebenen Formel ermittelte Korrelation durch eine Korrelation (R) von 0.04 ersetzt. Forderungen gelten als qualifizierte revolvierende Retailforderungen, wenn folgende Voraussetzungen erfüllt sind:
a) Die Forderungen bestehen gegenüber natürlichen Personen.
b) Die Kredite sind revolvierend, unbesichert und, solange sie nicht in Anspruch genommen wurden, von der Bank jederzeit und unbedingt kündbar (in diesem Zusammenhang sind revolvierende Kredite definiert als Kredite, bei denen die Kreditinanspruchnahme bis zu einem von der Bank gesetzten Limit durch Inanspruchnahmen und Rückzahlungen nach dem freien Ermessen des Kunden schwanken darf). Nicht in Anspruch genommene Kreditlimiten können als unbedingt kündbar angesehen werden, wenn die Vertragsbedingungen es der Bank erlauben, die nach dem Verbraucherschutzrecht und damit verbundenen Rechtsvorschriften bestehenden Kündigungsmöglichkeiten voll auszuschöpfen.
c) Die maximale Forderung gegenüber einer Einzelperson in dem Unterportfolio beträgt 150 000 CHF oder weniger.
d) Die Bank kann nachweisen, dass die in dieser Ziffer angegebene Korrelationsformel nur auf Portfolios angewandt wird, die im Vergleich zu den durchschnittlichen Verlustraten, vor allem in den niedrigen PD-Bereichen, eine geringe Verlustratenvolatilität aufweisen. Die FMA überprüft die relative Volatilität der Verlustraten über die verschiedenen qualifizierten revolvierenden Retail-Unterportfolios und das gesamte qualifizierte revolvierende Retail-Portfolio hinweg und zeigt sich bereit, Informationen über die typischen Merkmale qualifizierter revolvierender Retail-Verlustraten über die Rechtsräume hinweg auszutauschen.
e) Die FMA ist überzeugt, dass die Behandlung als qualifizierte revolvierende Retailforderung den zugrunde liegenden Risikomerkmalen des Unterportfolios entspricht.
Bei einem besicherten Kreditrahmen in Verbindung mit einem Gehaltskonto kann die FMA abweichend von Bst. b von der Bedingung, dass der Kredit unbesichert zu sein hat, absehen. In diesem Falle werden die Verwertungserlöse aus dieser Sicherheit bei der LGD-Schätzung nicht berücksichtigt.
4) Um für die Retail-Behandlung in Frage zu kommen, müssen angekaufte Forderungen die Mindestanforderungen nach Teil 4 Ziff. 11.7a bis 11.7e dieses Abschnitts sowie die folgenden Voraussetzungen erfüllen:
a) Die Bank hat die Forderungen von einer dritten Partei gekauft, zu der keinerlei gesellschaftsrechtliche Verbindungen bestehen, und die Forderung der Bank gegenüber dem Schuldner beinhaltet keinerlei Forderungen, an deren Zustandekommen die Bank direkt oder indirekt beteiligt war.
b) Die Forderungen müssen im Rahmen eines zu marktüblichen Konditionen geschlossenen Geschäfts zwischen Forderungsverkäufer und Schuldner entstanden sein. Als solches sind gegenläufige firmeninterne Kontoforderungen und Forderungen auf Verrechnungskonten zwischen Firmen, die in wechselseitigen Kauf- und Verkaufsbeziehungen stehen, nicht zulässig.
c) Die ankaufende Bank hat einen Anspruch auf alle Erträge aus den angekauften Forderungen oder einen Pro-rata-Anspruch auf diese Erträge.
d) Das Portfolio der angekauften Forderungen ist hinreichend diversifiziert.
5) Bei angekauften Forderungen können zurückzuzahlende Kaufpreisnachlässe, Sicherheiten oder Teilgarantien, die eine First-Loss-Absicherung gegen Ausfallverluste, Verwässerungsverluste oder beides bieten, als First-Loss-Positionen im Rahmen der IRB-Verbriefungsregeln behandelt werden.
6) Bei gemischten Pools angekaufter Retailforderungen, bei denen die ankaufende Bank durch Immobilien besicherte Forderungen und qualifizierte revolvierende Retailforderungen nicht von anderen Retailforderungen trennen kann, wird die Risikogewichtsfunktion angewandt, die die höchste Eigenmittelanforderung für diese Forderungen nach sich zieht.
7) Die risikogewichteten Retailforderungen, die die in Abschnitt 3 Teil 1 Ziff. 5.2 und Teil 2 Ziff. 14 dieses Anhangs genannten Anforderungen erfüllen, können nach Ziff. 2 Abs. 7 berechnet werden.
4. Risikogewichtete Forderungsbeträge für Beteiligungstitel
4.1 Im Allgemeinen
1) Eine Bank kann unterschiedliche Ansätze auf unterschiedliche Portfolios anwenden, wenn sie intern verschiedene Ansätze anwendet. Wendet eine Bank unterschiedliche Ansätze an, so weist sie gegenüber der FMA nach, dass die entsprechenden Entscheidungen konsistent und nicht durch Kapitalarbitrageüberlegungen motiviert sind.
2) Ungeachtet von Abs. 1 kann die FMA gestatten, dass die Bestimmung der risikogewichteten Forderungsbeträge für Beteiligungstitel gegenüber Unternehmen, die ergänzende Dienstleistungen erbringen, auf dieselbe Weise erfolgt wie bei sonstigen Aktiven, bei denen es sich nicht um Kreditverpflichtungen handelt.
4.2 Einfacher Risikogewichtungsansatz
1) Die risikogewichteten Forderungsbeträge werden nach der folgenden Formel berechnet:
Risikogewicht (RW) = 190 % für Private-Equity-Positionen in hinreichend diversifizierten Portfolios
Risikogewicht (RW) = 290 % für an einer ankerkannten Börse gehandelte Beteiligungstitel
Risikogewicht (RW) = 370 % für alle sonstigen Beteiligungstitel
Risikogewichteter Forderungsbetrag = RW · Forderungswert
2) Kassa-Short-Positionen und derivative Instrumente, die nicht im Handelsbuch gehalten werden, dürfen mit Long-Positionen in der gleichen Aktie verrechnet werden, wenn diese Instrumente ausdrücklich als Hedgeposition für bestimmte Beteiligungstitel benutzt werden und eine Absicherung für mindestens ein weiteres Jahr bieten. Andere Short-Positionen sind wie Long-Positionen zu behandeln, wobei das entsprechende Risikogewicht auf den absoluten Wert einer jeden Position anzuwenden ist. Bei laufzeitinkongruenten Positionen ist dieselbe Methode anzuwenden wie bei Forderungen gegenüber Unternehmen.
3) Die Banken können eine Besicherung von Beteiligungstiteln ohne Sicherheitsleistung nach den in Art. 55 bis 57 dargelegten Methoden anerkennen.
4.3 PD/LGD-Ansatz
1) Die risikogewichteten Forderungsbeträge werden nach den unter Ziff. 2 Abs. 1 dieses Teils angegebenen Formeln berechnet. Verfügen die Banken nicht über ausreichende Informationen, um die Ausfalldefinition in Teil 4 Ziff. 10 dieses Abschnitts anzuwenden, so wird auf die Risikogewichte ein Skalierungsfaktor von 1.5 angewandt.
2) Auf der Ebene der einzelnen Forderung darf die Summe des 12.5-fachen erwarteten Verlustbetrags und des risikogewichteten Forderungsbetrags den 12.5-fachen Forderungswert nicht übersteigen.
3) Die Banken können eine Besicherung von Beteiligungstiteln ohne Sicherheitsleistung nach den in Art. 55 bis 57 dargelegten Methoden anerkennen. Dabei ist für die Forderung an den Sicherungsgeber eine LGD von 90 % vorgegeben. Bei Private-Equity-Beteiligungstiteln in hinreichend diversifizierten Portfolios kann eine LGD von 65 % angewandt werden. Für diese Zwecke wird M gleich 5 Jahre unterstellt.
4.4 Auf internen Modellen basierender Ansatz
1) Die risikogewichteten Forderungsbeträge entsprechen dem potenziellen Verlust aus den Beteiligungstiteln der Bank, der mittels interner Value-at-Risk-Modelle bezogen auf die Differenz zwischen den vierteljährlichen Ertragsraten und einem angemessenen risikolosen Zinssatz bei einem einseitigen 99 %igen Konfidenzniveau auf der Basis einer langfristigen Zeitreihe für die Risikofaktoren, multipliziert mit 12.5, ermittelt wird. Die risikogewichteten Forderungsbeträge auf der Ebene der einzelnen Forderung dürfen nicht geringer sein als die Summe der nach dem PD/LGD-Ansatz vorgeschriebenen minimalen risikogewichteten Forderungsbeträge und der entsprechenden erwarteten Verlustbeträge, multipliziert mit 12.5 und berechnet auf der Grundlage der in Teil 2 Ziff. 4.1 dieses Abschnitts genannten PD-Werte und der entsprechenden in Ziff. 4.2 dieses Abschnitts genannten LGD-Werte.
2) Die Banken können eine Besicherung von Beteiligungstiteln ohne Sicherheitsleistung anerkennen.
5. Risikogewichtete Forderungsbeträge bei sonstigen Aktiven, bei denen es sich nicht um Kreditverpflichtungen handelt
Die risikogewichteten Forderungsbeträge werden nach folgender Formel berechnet:
Risikogewichteter Forderungsbetrag = 100 % · Forderungswert,
es sei denn, es handelt sich bei der Forderung um einen Restwert aus einem Leasinggeschäft; in diesem Fall sollte sie für jedes Jahr berücksichtigt werden, wobei sie wie folgt berechnet wird:
1/t · 100% · Forderungswert,
wobei t der Anzahl der Jahre der Leasingvertragslaufzeit entspricht.
II. Berechnung der risikogewichteten Forderungsbeträge für das Verwässerungsrisiko angekaufter Forderungen
6. Ermittlung der Risikogewichte
Risikogewichte für das Verwässerungsrisiko angekaufter Forderungen an Unternehmen und angekaufter Retailforderungen werden nach der unter Ziff. 2 Abs. 1 angegebenen Formel berechnet. Die Parameter PD und LGD werden nach Teil 2 dieses Abschnitts bestimmt, der Forderungswert nach Teil 3 dieses Abschnitts und M wird gleich 1 Jahr gesetzt. Können die Banken gegenüber der FMA nachweisen, dass das Verwässerungsrisiko unerheblich ist, so braucht es nicht berücksichtigt zu werden.
III. Berechnung der erwarteten Verlustbeträge und deren Behandlung
7. Berechnung der erwarteten Verlustbeträge
1) Sofern nicht anders angegeben, werden die Parameter PD und LGD nach Teil 2 und der Forderungswert nach Teil 3 dieses Abschnitts bestimmt.
2) Die erwarteten Verlustbeträge für Forderungen gegenüber Unternehmen, Banken und Wertpapierfirmen sowie Zentralregierungen und Zentralbanken sowie Retailforderungen werden nach den folgenden Formeln berechnet:
Erwarteter Verlust (EL) = PD × LGD
Erwarteter Verlustbetrag = EL × Forderungswert
Bei ausgefallenen Forderungen (PD = 1), für die die Banken eigene LGD-Schätzungen verwenden, ist EL = ELBE, d.h. die von der Bank selbst vorgenommene, möglichst genaue Schätzung der erwarteten Verluste aus der ausgefallenen Forderung nach Teil 4 Ziff. 11.4a Abs. 7 dieses Abschnitts. Bei Forderungen, bei denen nach Ziff. 2 Abs. 7 verfahren wird, ist der EL gleich Null.
3) Die EL-Werte für Spezialfinanzierungen, die von den Banken nach den in Ziff. 2 Abs. 3 beschriebenen Methoden risikogewichtet werden, werden nach Tabelle 2 bestimmt.
Tabelle 2
|
Restlaufzeit
|
Kategorie 1
|
Kategorie 2
|
Kategorie 3
|
Kategorie 4
|
Kategorie 5
|
|
Weniger als 2.5 Jahre
|
0 %
|
0.4 %
|
2.8 %
|
8 %
|
50 %
|
|
2.5 Jahre oder mehr
|
0.4 %
|
0.8 %
|
2.8 %
|
8 %
|
50 %
|
Hat die FMA einer Bank gestattet, grundsätzlich ein günstigeres Risikogewicht von 50 % auf Forderungen der Kategorie 1 und von 70 % auf Forderungen der Kategorie 2 anzuwenden, so wird für die Forderungen der Kategorie 1 ein EL-Wert von 0 % und für Forderungen der Kategorie 2 ein EL-Wert von 0.4 % angesetzt.
4) Die erwarteten Verlustbeträge für Beteiligungstitel, bei denen die risikogewichteten Forderungsbeträge nach den in Ziff. 4.2 dargelegten Methoden berechnet werden, werden nach folgender Formel berechnet:
Erwarteter Verlustbetrag = EL × Forderungswert
Die EL-Werte werden wie folgt angesetzt:
Erwarteter Verlust (EL) = 0.8 % für Private-Equity-Positionen in hinreichend diversifizierten Portfolios
Erwarteter Verlust (EL) = 0.8 % für an anerkannten Börsen gehandelte Beteiligungstitel
Erwarteter Verlust (EL) = 2.4 % für alle übrigen Beteiligungstitel
5) Die erwarteten Verlustbeträge für Beteiligungstitel, bei denen die risikogewichteten Forderungsbeträge nach den in Ziff. 4.3 dargelegten Methoden berechnet werden, werden nach folgender Formel berechnet:
Erwarteter Verlust (EL) = PD × LGD
Erwarteter Verlustbetrag = EL × Forderungswert
6) Die erwarteten Verlustbeträge für Beteiligungstitel, bei denen die risikogewichteten Forderungsbeträge nach den in Ziff. 4.4 dargelegten Methoden berechnet werden, werden mit 0 % angesetzt.
7) Der erwartete Verlustbetrag für das Verwässerungsrisiko angekaufter Forderungen wird nach folgender Formel berechnet:
Erwarteter Verlust (EL) = PD × LGD
Erwarteter Verlustbetrag = EL × Forderungswert
8. Behandlung erwarteter Verlustbeträge
1) Die nach Ziff. 7 Abs. 2, 3 und 7 berechneten erwarteten Verlustbeträge werden von der Summe der für die entsprechenden Forderungen vorgenommenen Wertberichtigungen und Rückstellungen abgezogen. Abschläge auf zum Zeitpunkt des Ankaufs bereits ausgefallene bilanzielle Forderungen nach Teil 3 Ziff. 1 Abs. 1 dieses Abschnittes werden auf dieselbe Weise behandelt wie Wertberichtigungen. Erwartete Verlustbeträge für verbriefte Forderungen sowie Wertberichtigungen und Rückstellungen im Zusammenhang mit diesen Forderungen werden nicht in diese Berechnung einbezogen.
2) Bei der Berechnung der risikogewichteten Forderungsbeträge im Zusammenhang mit Abwicklungs- und Gegenpartei-Kreditausfallrisiken nach Art. 91 und nach Anhang 2 Ziff. 13.1 und 13.2 im Handelsbuch gilt im Rahmen des IRB-Ansatzes für die Berechnung nach Abs. 1 Folgendes:
a) Wertberichtigungen, die vorgenommen wurden, um der Kreditqualität der Gegenpartei Rechnung zu tragen, können in die Summe der Wertberichtigungen und Rückstellungen einbezogen werden, die für die im Einleitungssatz genannten Risiken gebildet wurden;
b) vorbehaltlich der Zustimmung seitens der FMA wird - sofern das Kreditrisiko der Gegenpartei bei der Bewertung einer Position des Handelsbuches angemessen berücksichtigt wurde - der erwartete Verlustbetrag für das Gegenpartei-Kreditausfallrisiko mit Null bewertet.
Wertberichtigungen im Sinne von Bst. a sind dem Zusatzkapital nach Art. 19 zuzurechnen.
Teil 2: PD, LGD und Laufzeit
1. Im Allgemeinen
Die Parameter Ausfallwahrscheinlichkeit (PD), Verlustquote bei Ausfall (LGD) und effektive Restlaufzeit (M) für die Berechnung der risikogewichteten Forderungsbeträge und erwarteten Verlustbeträge nach Teil 1 dieses Abschnitts werden von der Bank nach Teil 4 dieses Abschnitts nach folgenden Vorgaben geschätzt.
2. Forderungen gegenüber Unternehmen, Banken, Finanzgesellschaften und Wertpapierfirmen sowie Zentralregierungen und Zentralbanken
2.1 PD
1) Die PD einer Forderung gegenüber einem Unternehmen oder einer Bank oder einer Wertpapierfirma beträgt mindestens 0.03 %.
2) Bei angekauften Unternehmensforderungen, bei denen eine Bank nicht nachweisen kann, dass ihre PD-Schätzungen die Mindestanforderungen nach Teil 4 dieses Abschnitts erfüllen, werden die PDs für diese Forderungen nach den folgenden Methoden bestimmt:
a) bei vorrangigen Ansprüchen auf angekaufte Unternehmensforderungen ist die PD der von der Bank geschätzte EL, geteilt durch die LGD dieser Forderungen;
b) bei nachrangigen Ansprüchen auf angekaufte Unternehmensforderungen ist die PD der von der Bank geschätzte EL.
Banken, die für Forderungen gegenüber Unternehmen eigene LGD-Schätzungen verwenden dürfen und ihre EL-Schätzungen für angekaufte Unternehmensforderungen verlässlich in PDs und LGDs auflösen können, dürfen die eigenen PD-Schätzungen verwenden.
3) Die PD von in Verzug geratenen Schuldnern beträgt 100 %.
4) Die Banken können eine Besicherung ohne Sicherheitsleistung bei der PD nach Art. 55 bis 57 berücksichtigen. Für das Verwässerungsrisiko kann die FMA jedoch auch andere als die in Abschnitt 3 Teil 1 dieses Anhangs genannten Bereitsteller von Besicherungen ohne Sicherheitsleistung berücksichtigen.
5) Banken, die eigene LGD-Schätzungen verwenden, können eine Besicherung ohne Sicherheitsleistung durch Anpassung der PDs vorbehaltlich Ziff. 2.2 Abs. 3 berücksichtigen.
6) Für das Verwässerungsrisiko angekaufter Unternehmensforderungen wird die PD der EL-Schätzung für das Verwässerungsrisiko gleichgesetzt. Banken, die für Forderungen gegenüber Unternehmen eigene LGD-Schätzungen verwenden dürfen und ihre EL-Schätzungen für das Verwässerungsrisiko angekaufter Unternehmensforderungen verlässlich in PDs und LGDs auflösen können, dürfen die eigenen PD-Schätzungen verwenden. Die Banken können eine Besicherung ohne Sicherheitsleistung bei der PD nach Art. 55 bis 57 berücksichtigen. Die FMA kann auch andere als die in Abschnitt 3 Teil 1 dieses Anhangs genannten Bereitsteller von Besicherungen ohne Sicherheitsleistung berücksichtigen. Banken, die für das Verwässerungsrisiko angekaufter Unternehmensforderungen eigene LGD-Schätzungen verwenden dürfen, können eine Besicherung ohne Sicherheitsleistung durch Anpassung der PDs gemäss den Bestimmungen von Ziff. 2.2 Abs. 3 berücksichtigen.
2.2 LGD
1) Die Banken setzen folgende LGD-Werte an:
a) vorrangige Forderungen ohne anerkannte Sicherheit: 45 %;
b) nachrangige Forderungen ohne anerkannte Sicherheit: 75 %;
c) die Banken können Besicherungen mit und ohne Sicherheitsleistung bei der LGD im Einklang mit Art. 55 bis 57 berücksichtigen;
d) bei gedeckten Schuldverschreibungen im Sinne von Art. 70 Abs. 1 und 2 kann ein LGD-Wert von 12.5 % angesetzt werden;
e) vorrangige angekaufte Unternehmensforderungen, wenn die Bank nicht nachweisen kann, dass ihre PD-Schätzungen die Mindestanforderungen nach Teil 4 dieses Abschnitts erfüllen: 45 %;
f) nachrangige angekaufte Unternehmensforderungen, wenn die Bank nicht nachweisen kann, dass ihre PD-Schätzungen die Mindestanforderungen nach Teil 4 dieses Abschnitts erfüllen: 100 %;
g) Verwässerungsrisiko angekaufter Unternehmensforderungen: 75 %.
2) Banken, die für Forderungen gegenüber Unternehmen eigene LGD-Schätzungen verwenden dürfen und ihre EL-Schätzungen für angekaufte Unternehmensforderungen verlässlich in PDs und LGDs auflösen können, dürfen ungeachtet von Abs. 1 für das Verwässerungs- und Ausfallrisiko die eigene LGD-Schätzung für angekaufte Unternehmensforderungen verwenden.
3) Banken, die für Forderungen gegenüber Unternehmen, Banken und Wertpapierfirmen sowie Zentralregierungen und Zentralbanken eigene LGD-Schätzungen verwenden dürfen, können eine Besicherung ohne Sicherheitsleistung ungeachtet von Abs. 1 durch Anpassung der PD- und/oder LGD-Schätzungen berücksichtigen, sofern die Mindestanforderungen nach Teil 4 dieses Abschnitts erfüllt sind und eine Genehmigung der FMA vorliegt. Eine Bank darf garantierten Forderungen nicht in der Weise angepasste PDs oder LGDs zuordnen, dass das angepasste Risikogewicht niedriger wäre als das Risikogewicht einer vergleichbaren direkten Forderung an den Garantiegeber.
4) Unbeschadet Abs. 1 und 3 ist für die Zwecke von Teil 1 Ziff. 2 Abs. 7 dieses Abschnitts die LGD einer vergleichbaren direkten Forderung an den Sicherungsgeber entweder die für eine unbesicherte Fazilität des Garantiegebers oder die für die Fazilität des Schuldners angesetzte LGD, je nach dem, ob in dem Fall, dass Garantiegeber und Schuldner während der Laufzeit des abgesicherten Geschäfts ausfallen, die zur Verfügung stehenden Informationen und die Struktur der Garantie darauf hindeuten, dass die Höhe des wiedererlangten Betrages von der Finanzlage des Garantiegebers oder des Schuldners abhängt.
2.3 Laufzeit
1) Vorbehaltlich Abs. 2 setzen die Banken für Forderungen aus Pensionsgeschäften und Wertpapier- oder Warenleihgeschäften eine effektive Restlaufzeit (M) von 0.5 Jahren und für alle übrigen Forderungen eine M von 2.5 Jahren an. Die FMA kann verlangen, dass alle von ihr beaufsichtigten Banken M für jede Forderung nach Abs. 2 bestimmen.
2) Banken, die eigene LGDs bzw. eigene Umrechnungsfaktoren für Forderungen gegenüber Unternehmen, Banken, Finanzgesellschaften und Wertpapierfirmen oder Zentralregierungen und Zentralbanken verwenden dürfen, berechnen M für jede dieser Forderungen nach den Bst. a bis e und vorbehaltlich der Abs. 3 bis 5. In keinem Falle ist M grösser als 5 Jahre.
a) Bei einem Instrument mit einem festgelegten Zins- und Tilgungsplan wird M nach der folgenden Formel berechnet:
wobei CFtden vertraglichen Cash Flow (Nominalbetrag, Zinsen und Gebühren) bezeichnet, die der Schuldner in Periode t zu leisten hat.
b) Im Fall von Derivaten, die einer Netting-Rahmenvereinbarung unterliegen, ist M die gewichtete durchschnittliche Restlaufzeit der Forderung, wobei M mindestens 1 Jahr beträgt. Für die Gewichtung der Laufzeit wird der jeweilige Nominalbetrag der einzelnen Transaktion herangezogen.
c) Bei Forderungen aus vollständig oder nahezu vollständig abgesicherten Derivatgeschäften nach Art. 4 Abs. 1 Ziff. 2 und vollständig oder nahezu vollständig abgesicherten Lombardgeschäften, die einer Netting-Rahmenvereinbarung unterliegen, ist M die gewichtete durchschnittliche Restlaufzeit der Transaktionen, wobei M mindestens 10 Tage beträgt. Für die Gewichtung der Laufzeit wird der jeweilige Nominalbetrag der einzelnen Transaktion herangezogen.
d) Dürfen Banken für angekaufte Unternehmensforderungen eigene PD-Schätzungen verwenden, so ist M bei in Anspruch genommenen Beträgen gleich der gewichteten durchschnittlichen Laufzeit der angekauften Forderungen, wobei M mindestens 90 Tage beträgt. Der gleiche Wert von M wird auch für nicht in Anspruch genommene Beträge im Rahmen einer Ankaufszusage verwendet, sofern die Fazilität wirksame Vertragsbestandteile, Auslöser für eine vorzeitige Tilgung oder andere Merkmale enthält, die die ankaufende Bank über die gesamte Fazilitätslaufzeit gegen wesentliche Qualitätsverschlechterungen zukünftiger Forderungen absichern. Fehlen solche wirksamen Absicherungen, so errechnet sich M für die ungenutzten Beträge als Summe aus der langfristigsten möglichen Forderung, die unter die Kaufvereinbarung fällt, und der Restlaufzeit der Fazilität, wobei M mindestens 90 Tage beträgt.
e) Bei allen anderen als den in diesem Absatz genannten Instrumenten oder wenn eine Bank M nicht nach Bst. a berechnen kann, ist M gleich der maximalen Zeitspanne (in Jahren), die dem Schuldner zur vollständigen Erfüllung seiner vertraglichen Pflichten zur Verfügung steht, mindestens jedoch gleich 1 Jahr.
f) Banken, die zur Berechnung der Forderungswerte ein internes Modell nach Art. 44 (EPE-Modellmethode) verwenden, ermitteln für Forderungen, bei denen nach dieser Methode verfahren wird und bei denen die Laufzeit des Vertrags, der von den im Netting-Set vertretenen die längste Laufzeit hat, mehr als ein Jahr beträgt, M nach folgender Formel:
Dabei bezeichnet dfkden risikofreien Abzinsungsfaktor für den zukünftigen Zeitraum tk; die übrigen Symbole sind in Abschnitt 1 Teil 1 Ziff. 13 bis 16 dieses Anhangs definiert.
Unbeschadet der vorstehenden Ausführungen darf eine Bank, die zur Berechnung einer einseitigen Anpassung der Kreditbewertung ein internes Modell verwendet, bei entsprechender Genehmigung der FMA als M die anhand eines solchen Modells geschätzte effektive Kreditlaufzeit einsetzen. Sofern Abs. 3 anzuwenden ist, gilt für alle Netting-Sets, in denen alle Verträge eine Ursprungslaufzeit von höchstens einem Jahr haben, die Formel nach Bst. a.
g) Für die Zwecke von Teil 1 Ziff. 2 Abs. 7 dieses Abschnitts ist M die effektive Kreditlaufzeit, beträgt aber mindestens ein Jahr.
3) Sofern die Dokumentation tägliche Nachschusszahlungen und eine tägliche Neubewertung vorschreibt und Bestimmungen enthält, die bei Ausfall oder ausbleibenden Nachschusszahlungen die umgehende Verwertung oder Verrechnung der Sicherheiten ermöglichen, beträgt M, ungeachtet von Abs. 2 Bst. a, b, d und e, mindestens gleich einen Tag für:
a) vollständig oder nahezu vollständig abgesicherte Derivatgeschäfte im Sinne von Art. 4 Abs. 1 Ziff. 2;
b) vollständig oder nahezu vollständig abgesicherte Lombardgeschäfte; und
c) Pensionsgeschäfte, Wertpapier- oder Warenleihgeschäfte.
Auch bei anderen kurzfristigen, von der FMA bestimmten Forderungen mit einer Restlaufzeit von unter einem Jahr, die nicht Teil einer fortlaufenden Finanzierung des Schuldners durch die Bank sind, ist M mindestens gleich einem Tag. Die jeweiligen Umstände sind von Fall zu Fall eingehend zu prüfen.
4) Bei Forderungen gegenüber Unternehmen mit Sitz in einem EWR-Land oder der Schweiz sowie einem konsolidierten Jahresumsatz und einer konsolidierten Bilanzsumme von weniger als 750 Millionen CHF kann die FMA die Verwendung von M nach Abs. 1 gestatten. Die FMA kann die Summe der Aktiven in Höhe von 750 Millionen CHF durch eine Summe der Aktiven in Höhe von 1 500 Millionen CHF ersetzen, falls es sich um Unternehmen handelt, die vorrangig in Immobilien investieren.
5) Laufzeitinkongruenzen werden nach Art. 55 bis 57 behandelt.
3. Retailforderungen
3.1 PD
1) Die PD einer Forderung beträgt mindestens 0.03 %.
2) Die PD von in Verzug geratenen Schuldnern bzw. bei einem von Fazilitäten ausgehenden Ansatz von überfälligen Forderungen beträgt 100 %.
3) Für das Verwässerungsrisiko angekaufter Forderungen wird die PD den EL-Schätzungen für das Verwässerungsrisiko gleichgesetzt. Kann eine Bank ihre EL-Schätzungen für das Verwässerungsrisiko angekaufter Forderungen verlässlich in PDs und LGDs auflösen, so kann die PD-Schätzung verwendet werden.
4) Eine Besicherung ohne Sicherheitsleistung kann durch Anpassung der PDs nach Ziff. 3.2 Abs. 2 berücksichtigt werden. Für das Verwässerungsrisiko, bei dem die Banken nicht ihre eigenen LGD-Schätzungen verwenden, gilt dies vorbehaltlich der Einhaltung der Art. 55 bis 57; die FMA kann für diesen Zweck auch andere als die in Abschnitt 3 Teil 1 dieses Anhangs genannten Bereitsteller von Besicherungen ohne Sicherheitsleistung berücksichtigen.
3.2 LGD
1) Die Banken liefern eigene LGD-Schätzungen vorbehaltlich der Mindestanforderungen nach Teil 4 dieses Abschnitts und der Genehmigung der FMA. Für das Verwässerungsrisiko angekaufter Forderungen wird ein LGD-Wert von 75 % angesetzt. Kann eine Bank ihre EL-Schätzungen für das Verwässerungsrisiko angekaufter Forderungen verlässlich in PDs und LGDs auflösen, so kann die LGD-Schätzung verwendet werden.
2) Eine Besicherung ohne Sicherheitsleistung kann durch Anpassung der PD- und LGD-Schätzungen vorbehaltlich der Mindestanforderungen nach Teil 4 Ziff. 11.6a bis 11.6d dieses Abschnitts sowie der Genehmigung durch die FMA für eine Einzelforderung oder einen Forderungspool berücksichtigt werden. Eine Bank darf garantierten Forderungen nicht in der Weise angepasste PDs oder LGDs zuordnen, dass das angepasste Risikogewicht geringer wäre als das Risikogewicht einer vergleichbaren direkten Forderung an den Garantiegeber.
3) Ungeachtet Abs. 2 ist für die Zwecke von Teil 1 Ziff. 3 Abs. 7 dieses Abschnitts die LGD einer vergleichbaren direkten Forderung an den Sicherungsgeber entweder die für eine unbesicherte Fazilität des Garantiegebers oder die für die Fazilität des Schuldners angesetzte LGD, je nach dem, ob in dem Fall, dass Garantiegeber und Schuldner während der Laufzeit des abgesicherten Geschäftes ausfallen, die zur Verfügung stehenden Informationen und die Struktur der Garantie darauf hindeuten, dass die Höhe des wiedererlangten Betrages von der Finanzlage des Garantiegebers oder des Schuldners abhängt.
4. Beteiligungstitel nach der PD/LGD-Methode
4.1 PD
Die PDs werden nach den für Forderungen gegenüber Unternehmen geltenden Methoden bestimmt. Es gelten folgende Mindest-PDs:
a) 0.09 % für an einer anerkannten Börse gehandelte Beteiligungstitel, wenn die Beteiligung im Rahmen einer langjährigen Kundenbeziehung eingegangen wird;
b) 0.09 % für nicht an einer anerkannten Börse gehandelte Beteiligungstitel, bei denen die Erträge auf normalen periodischen Cash Flows und nicht auf Kursgewinnen basieren;
c) 0.40 % für an einer anerkannten Börse gehandelte Beteiligungstitel einschliesslich sonstiger Short-Positionen nach Teil 1 Ziff. 4.2 Abs. 2 dieses Abschnitts;
d) 1.25 % für alle übrigen Beteiligungstitel einschliesslich sonstiger Short-Positionen nach Teil 1 Ziff. 4.2 Abs. 2 dieses Abschnitts.
4.2 LGD und Laufzeit
1) Bei Private-Equity-Positionen in hinreichend diversifizierten Portfolios kann die LGD mit 65 % angesetzt werden.
2) Bei allen übrigen Positionen wird die LGD mit 90 % angesetzt.
3) M wird bei allen Positionen mit 5 Jahren angesetzt.
Teil 3: Forderungswert
1. Forderungen gegenüber Unternehmen, Banken und Wertpapierfirmen, Zentralregierungen und Zentralbanken sowie Retailforderungen
1) Sofern nicht anders angegeben, wird der Wert bilanzieller Forderungen vor Abzug von Wertberichtigungen bemessen. Diese Regel gilt auch für Vermögenswerte, die zu einem anderen Preis als dem geschuldeten Betrag angekauft wurden. Bei angekauften Vermögenswerten wird die Differenz zwischen dem geschuldeten Betrag und dem Nettobuchwert in der Bilanz der Bank als Abschlag bezeichnet, wenn die Forderung grösser ist, und als Prämie, wenn sie kleiner ist.
2) Macht eine Bank bei Pensionsgeschäften oder Wertpapier- oder Warenleihgeschäften von Netting-Rahmenvereinbarungen Gebrauch, so wird der Forderungswert nach Art. 55 bis 57 berechnet.
3) Bei einem Netting von bilanzierten Krediten und Einlagen wenden die Banken die in Art. 55 bis 57 beschriebenen Methoden zur Berechnung des Forderungswerts an.
4) Bei einem Leasinggeschäft entspricht der Forderungswert den abgezinsten Mindestleasingzahlungen. Mindestleasingzahlungen sind Zahlungen über den Leasingzeitraum, zu denen der Leasingnehmer verpflichtet wird oder verpflichtet werden kann und jegliche günstige (sehr wahrscheinlich auszuübende) Kaufoption. Jeglicher garantierter Restwert, der die in Abschnitt 3 Teil 1 Ziff. 5.1 dieses Anhangs aufgeführten Bedingungen für die Ansprüche der Sicherungsgeber sowie die in Abschnitt 3 Teil 2 Ziff. 10 bis 12 genannten Mindestanforderungen erfüllt, sollte auch in die Mindestleasingzahlungen einbezogen werden.
5) Bei den in Art. 4 Abs. 1 Ziff. 2 aufgeführten Posten wird der Forderungswert nach einer der in Art. 40 Abs. 1 beschriebenen Methoden bestimmt.
6) Der Forderungswert zur Berechnung der risikogewichteten Forderungsbeträge angekaufter Forderungen ist der ausstehende Betrag abzüglich der erforderlichen Eigenmittel für das Verwässerungsrisiko vor Anwendung von Risikominderungstechniken.
7) Bei Forderungen in Form von Wertpapieren oder Waren, die im Rahmen von Pensions- oder Wertpapier- oder Warenleihgeschäften, Geschäften mit langer Abwicklungsfrist und Lombardgeschäften veräussert, hinterlegt oder verliehen werden, ist der Forderungsbetrag der nach den jeweils angewendeten Rechnungslegungsvorschriften ermittelte Wert der Wertpapiere oder Waren. Wird die umfassende Methode zur Berücksichtigung finanzieller Sicherheiten nach Abschnitt 3 Teil 3 dieses Anhangs angewandt, so wird der Forderungswert um die danach als angemessen anzusehende Volatilitätsanpassung heraufgesetzt. Der Forderungswert von Pensions-, Wertpapier- oder Warenleihgeschäften, Geschäften mit langer Abwicklungsfrist und Lombardgeschäften kann entweder nach Art. 40 Abs. 1 oder Abschnitt 3 Teil 3 Ziff. 4.2 bestimmt werden.
8) Ungeachtet von Abs. 7 wird der von der FMA festgelegte Forderungswert eines ausstehenden Kreditausfallrisikos gegenüber einer zentralen Gegenpartei nach Art. 40 Abs. 9 festgesetzt, vorausgesetzt, die Gegenparteiausfallrisiko-Positionen der zentalen Gegenpartei mit allen angeschlossenen Teilnehmern werden täglich voll besichert.
9) In den nachstehend aufgeführten Fällen wird der Forderungswert definiert als der zugesagte, jedoch nicht in Anspruch genommene Betrag, multipliziert mit einem Umrechnungsfaktor. Die Banken wenden folgende Umrechnungsfaktoren an:
a) bei Kreditlimiten, die durch die Bank jederzeit ohne vorherige Benachrichtigung unbedingt kündbar sind oder die eine automatische Kündigung bei Verschlechterung der Bonität des Kreditnehmers vorsehen, wird ein Umrechnungsfaktor von 0 % angewandt. Um einen Umrechnungsfaktor von 0 % anwenden zu können, müssen die Banken die finanzielle Situation des Schuldners aktiv überwachen und ihre internen Kontrollsysteme so gestalten, dass sie eine Verschlechterung der Schuldnerbonität sofort feststellen können. Nicht in Anspruch genommene Retailkreditlimiten können als unbedingt kündbar angesehen werden, wenn die Vertragsbedingungen es der Bank erlauben, die nach dem Verbraucherschutzrecht und damit verbundenen Rechtsvorschriften bestehenden Kündigungsmöglichkeiten voll auszuschöpfen;
b) auf kurzfristige Handelsakkreditive, die aus dem Transfer von Waren entstehen, wird sowohl von der eröffnenden als auch von der bestätigenden Bank ein Umrechnungsfaktor von 20 % angewandt;
c) bei nicht in Anspruch genommenen Zusagen revolvierender angekaufter Forderungen, die unbedingt kündbar sind oder die durch die Bank ohne vorherige Benachrichtigung jederzeit automatisch kündbar sind, wird ein Umrechnungsfaktor von 0 % angewandt. Um einen Umrechnungsfaktor von 0 % anwenden zu können, müssen die Banken die finanzielle Situation des Schuldners aktiv überwachen und ihre internen Kontrollsysteme so gestalten, dass sie eine Verschlechterung der Schuldnerbonität sofort feststellen können;
d) auf sonstige Kreditlimiten, Note Issuance Facilities (NIFs) und Revolving Underwriting Facilities (RUFs) wird ein Umrechnungsfaktor von 75 % angewandt;
e) Banken, die die Mindestvoraussetzungen für die Verwendung eigener Schätzungen von Umrechnungsfaktoren nach Teil 4 dieses Abschnitts erfüllen, können mit Genehmigung der FMA ihre eigenen Schätzungen der Umrechnungsfaktoren für die verschiedenen in den Bst. a bis d genannten Produktarten verwenden.
10) Bezieht sich eine Zusage auf die Prolongation einer anderen Zusage, so wird der niedrigere der für die beiden Zusagen geltenden Umrechnungsfaktoren verwendet.
11) Bei allen anderen als den in Abs. 1 bis 9 genannten ausserbilanziellen Posten entspricht der Forderungswert dem folgenden Prozentsatz seines Wertes nach Art. 39: 100 % bei Posten mit hohem Risiko, 50 % bei Posten mit mittlerem Risiko, 20 % bei Posten mit mittlerem/geringem Risiko und 0 % bei Posten mit geringem Risiko.
2. Beteiligungstitel
Der Forderungswert von Beteiligungstiteln entspricht dem in der Jahresrechnung ausgewiesenen Wert. Die Forderungswerte von Beteiligungstiteln können wie folgt bemessen werden:
a) bei zum Fair Value bilanzierten Beteiligungstiteln, bei denen Wertänderungen unmittelbar erfolgswirksam werden und sich auf das Eigenkapital auswirken, entspricht der Forderungswert dem in der Bilanz ausgewiesenen Fair Value;
b) bei zum Fair Value bilanzierten Beteiligungstiteln, bei denen Wertänderungen zwar nicht unmittelbar erfolgswirksam werden, die aber statt dessen in einen steuerbereinigten Eigenkapitalbestandteil einfliessen, entspricht der Forderungswert dem in der Bilanz ausgewiesenen Fair Value;
c) bei nach Anschaffungskosten oder dem Niederstwertprinzip bilanzierten Beteiligungstiteln entspricht der Forderungswert den in der Bilanz ausgewiesenen Anschaffungskosten oder Marktwerten.
3. Sonstige Aktiven, bei denen es sich nicht um Kreditverpflichtungen handelt
Der Forderungswert sonstiger Aktiven, bei denen es sich nicht um Kreditverpflichtungen handelt, ist der in der Jahresrechnung ausgewiesene Wert.
Teil 4: Mindestanforderungen für den IRB-Ansatz
I. Ratingsysteme
1. Im Allgemeinen
1) Ein "Ratingsystem" umfasst alle Methoden, Prozesse, Kontrollen, Datenerhebungs- und DV-Systeme, die zur Bestimmung von Kreditrisiken, zur Zuordnung von Forderungen zu (Bonitäts-)Klassen oder Pools (Rating) sowie zur Quantifizierung von Ausfall- und Verlustschätzungen für bestimmte Forderungsarten dienen.
2) Wendet eine Bank mehrere unterschiedliche Ratingsysteme an, so werden die Kriterien für die Zuordnung eines Schuldners oder einer Transaktion zu einem Ratingsystem dokumentiert und in einer Weise angewandt, die das jeweilige Risikoprofil angemessen widerspiegelt.
3) Die Zuordnungskriterien und -verfahren werden in regelmässigen Abständen daraufhin überprüft, ob sie dem jeweiligen Portfolio und den externen Bedingungen noch angemessen sind.
2. Aufbau der Ratingsysteme
2.1 Im Allgemeinen
Verwendet eine Bank direkte Schätzungen der Risikoparameter, so können die Ergebnisse als Stufen einer stetigen Ratingskala betrachtet werden.
2.2 Forderungen gegenüber Unternehmen, Banken und Wertpapierfirmen sowie Zentralregierungen und Zentralbanken
1) Ein Ratingsystem trägt den Risikomerkmalen sowohl des Schuldners als auch der Transaktion Rechnung.
2) Ein Ratingsystem beinhaltet eine Schuldner-Ratingskala, die ausschliesslich die Quantifizierung des Ausfallrisikos des Schuldners widerspiegelt. Die Schuldner-Ratingskala umfasst mindestens 7 Klassen für nicht ausgefallene Schuldner und eine Klasse für ausgefallene Schuldner.
3) Eine "Schuldnerklasse" ist definiert als eine Einstufung in der Schuldner-Ratingskala des Ratingsystems auf der Grundlage verschiedener spezifischer Ratingkriterien, aus denen die Schätzungen der Ausfallwahrscheinlichkeit (PD) abgeleitet werden können. Die Banken dokumentieren das Verhältnis der verschiedenen Schuldnerklassen zueinander, indem sie jeweils die Höhe des Ausfallrisikos angeben, das die entsprechende Klasse impliziert, und die Kriterien, anhand deren die Höhe des Ausfallrisikos bestimmt wird.
4) Banken, deren Portfolios auf ein bestimmtes Marktsegment und eine bestimmte Bandbreite des Ausfallrisikos konzentriert sind, bilden innerhalb dieser Bandbreite eine ausreichende Anzahl von Schuldnerklassen, um eine übermässige Konzentration von Schuldnern in bestimmten Klassen zu vermeiden. Bei erheblichen Konzentrationen in einer Schuldnerklasse wird durch überzeugende empirische Nachweise belegt, dass diese Schuldnerklasse eine hinreichend enge PD-Bandbreite umfasst und das Ausfallrisiko aller Schuldner dieser Klasse innerhalb dieser Bandbreite liegt.
5) Damit die Verwendung eigener LGD-Schätzungen zur Berechnung der erforderlichen Eigenmittel von der FMA anerkannt werden kann, muss ein Ratingsystem eine Fazilitäts-Ratingskala umfassen, die ausschliesslich die LGD-bezogenen Transaktionsmerkmale widerspiegelt.
6) Eine "Fazilitätsklasse" ist definiert als eine Einstufung in der Fazilitäts-Ratingskala des Ratingsystems auf der Grundlage verschiedener spezifischer Ratingkriterien, aus denen eigene Schätzungen der LGDs abgeleitet werden können. Die Definition der einzelnen Klassen umfasst sowohl eine Beschreibung der Art und Weise, wie die Forderungen der Klasse zugewiesen werden, als auch eine Beschreibung der Kriterien, anhand deren die Höhe des Risikos über die Klassen hinweg bestimmt wird.
7) Bei erheblichen Konzentrationen in einer Fazilitätsklasse wird durch überzeugende empirische Nachweise belegt, dass diese Fazilitätsklasse eine hinreichend enge LGD-Bandbreite umfasst und das Risiko aller Forderungen dieser Klasse innerhalb dieser Bandbreite liegt.
8) Banken, die die in Teil 1 Ziff. 2 Abs. 3 dieses Abschnitts dargelegten Methoden für die Risikogewichtung von Spezialfinanzierungen anwenden, sind von der Verpflichtung zur Bildung einer Schuldner-Ratingskala, die ausschliesslich die Quantifizierung des bei diesen Forderungen bestehenden Schuldnerausfallrisikos widerspiegelt, freigestellt. Ungeachtet von Abs. 2 sehen diese Banken für diese Forderungen mindestens 4 Klassen für nicht ausgefallene Schuldner und mindestens eine Klasse für ausgefallene Schuldner vor.
2.3 Retailforderungen
1) Die Ratingsysteme spiegeln sowohl das Schuldner- als auch das Transaktionsrisiko wider und erfassen alle relevanten Schuldner- und Transaktionsmerkmale.
2) Der Grad der Risikodifferenzierung gewährleistet, dass die Anzahl der Forderungen in einer bestimmten Klasse oder einem bestimmten Forderungspool ausreicht, um eine aussagekräftige Quantifizierung und Validierung der Verlusteigenschaften auf Ebene der Klasse oder des Pools zu ermöglichen. Die Forderungen und Schuldner verteilen sich so auf die verschiedenen Klassen oder Pools, dass übermässige Konzentrationen vermieden werden.
3) Die Banken weisen nach, dass das Verfahren zur Zuordnung von Forderungen zu Klassen oder Pools eine aussagekräftige Differenzierung der Risiken ermöglicht, zu einer Zusammenfassung hinreichend gleichartiger Forderungen führt und eine genaue und konsistente Schätzung der Verlusteigenschaften auf der Ebene der Klasse oder des Pools ermöglicht. Bei angekauften Forderungen spiegelt die Zusammenfassung die Kreditvergabepraxis des Verkäufers und die Heterogenität seiner Kundenstruktur wider.
4) Bei der Zuordnung von Forderungen zu Klassen oder Pools berücksichtigen die Banken die folgenden Risikobestimmungsfaktoren bzw. Risikomerkmale des Schuldners:
a) Risikomerkmale der Transaktion, einschliesslich Produkt- und/oder Sicherheitenarten. Die Banken berücksichtigen insbesondere Fälle, in denen ein und dieselbe Sicherheit für mehrere Einzelforderungen gestellt wird;
b) Verzugsstatus, sofern die Bank gegenüber der FMA nicht nachweisen kann, dass der Verzugsstatus bei der betreffenden Forderung kein wesentlicher Risikobestimmungsfaktor ist;
c) Zuordnung zu Klassen oder Pools.
5) Eine Bank verfügt über genau festgelegte Definitionen, Prozesse und Kriterien für die Zuordnung von Forderungen zu den Klassen oder Pools eines Ratingsystems. Es gilt Folgendes:
a) die Definitionen der Klassen oder Pools sind hinreichend detailliert, um die für die Ratingzuordnung Zuständigen in die Lage zu versetzen, Schuldner oder Fazilitäten, die vergleichbare Risiken darstellen, in konsistenter Weise derselben Klasse bzw. demselben Pool zuzuordnen. Diese Konsistenz wird über Geschäftssparten, Abteilungen und geographische Regionen hinweg gewahrt;
b) die Dokumentation des Ratingprozesses gibt Dritten die Möglichkeit, die Zuordnung von Forderungen zu Klassen oder Pools nachzuvollziehen, zu reproduzieren und ihre Angemessenheit zu beurteilen;
c) die Kriterien stimmen ausserdem mit den internen Kreditvergaberichtlinien und den internen Vorschriften der Bank für den Umgang mit problembehafteten Kreditnehmern und Fazilitäten überein.
6) Bei der Zuordnung von Schuldnern und Fazilitäten zu einer Klasse oder einem Pool berücksichtigt eine Bank alle einschlägigen Informationen. Die Informationen sind aktuell und ermöglichen der Bank eine Prognose hinsichtlich der künftigen Entwicklung der Forderung. Je weniger Informationen einer Bank zur Verfügung stehen, desto konservativer ist sie bei der Zuordnung von Forderungen zu Schuldner- bzw. Fazilitätsklassen und -pools. Zieht eine Bank ein externes Rating als erstes Indiz für die Zuweisung eines internen Ratings heran, so stellt sie sicher, dass auch andere einschlägige Informationen berücksichtigt werden.
3. Zuordnung von Forderungen
3.1 Forderungen gegenüber Unternehmen, Banken und Wertpapierfirmen sowie Zentralregierungen und Zentralbanken
1) Im Zuge des Kreditgenehmigungsprozesses wird jeder Schuldner einer Schuldnerklasse zugeordnet.
2) Ist einer Bank die Verwendung eigener Schätzungen der LGDs oder Umrechnungsfaktoren gestattet, so wird im Zuge des Kreditgenehmigungsprozesses ausserdem jede Forderung einer Fazilitätsklasse zugeordnet.
3) Banken, die die in Teil 1 Ziff. 2 Abs. 3 dieses Abschnitts dargelegten Methoden für die Risikogewichtung von Spezialfinanzierungen anwenden, ordnen jede einzelne dieser Forderungen einer Klasse nach Ziff. 2.2 Abs. 9 zu.
4) Jede eigenständige juristische Person, der gegenüber eine Bank eine Forderung hält, wird einzeln geratet. Eine Bank weist gegenüber der FMA nach, dass sie über angemessene Vorschriften für die Behandlung einzelner Schuldner/Kunden und von Gruppen verbundener Kunden verfügt.
5) Verschiedene Forderungen an denselben Schuldner werden ungeachtet etwaiger Unterschiede in der Art der einzelnen Transaktionen derselben Schuldnerklasse zugeordnet. Ausnahmefälle, in denen unterschiedliche Forderungen an denselben Schuldner unterschiedliche Ratings nach sich ziehen können, sind:
a) der Fall des Transferrisikos, das davon abhängt, ob die Forderungen auf die Landeswährung oder eine ausländische Währung lauten;
b) die Berücksichtigung einer Garantie in Form einer Anpassung des Schuldnerratings;
c) Fälle, in denen Verbaucherschutzbestimmungen, Rechtsvorschriften über das Bankgeheimnis oder andere Rechtsvorschriften den Austausch von Kundendaten verbieten.
3.2 Retailforderungen
Im Zuge des Kreditgenehmigungsprozesses wird jede Forderung einer Klasse oder einem Pool zugeordnet.
3.3 Abänderung von Ratingergebnissen
Im Hinblick auf die Zuordnung zu Klassen und Pools dokumentieren die Banken, in welchen Fällen die Eingaben und Ergebnisse des Zuordnungsprozesses durch menschliches Urteil verändert werden dürfen und von wem derartige Abänderungen zu genehmigen sind. Die Banken dokumentieren die Abänderungen und die dafür Verantwortlichen. Die Banken analysieren die Entwicklung der Forderungen, deren Rating abgeändert wurde, und führen über sämtliche Verantwortlichen Buch.
4. Integrität des Zuordnungsprozesses
4.1 Forderungen gegenüber Unternehmen, Banken und Wertpapierfirmen sowie Zentralregierungen und Zentralbanken
1) Die Rating-Zuordnungen und deren regelmässige Überprüfung werden von einer unabhängigen Stelle durchgeführt oder genehmigt, die kein unmittelbares Interesse an der Kreditgewährung hat.
2) Die Banken aktualisieren die Rating-Zuordnungen mindestens einmal jährlich. Schuldner mit hohem Risiko und problembehaftete Forderungen werden in kürzeren Intervallen überprüft. Die Banken nehmen eine neue Rating-Zuordnung vor, wenn wesentliche Informationen über den Schuldner oder die Forderung bekannt werden.
3) Eine Bank verfügt über wirksame Verfahren, um massgebliche Informationen über Schuldnermerkmale, die sich auf die PDs auswirken, und über Transaktionsmerkmale, die sich auf die LGDs und Umrechnungsfaktoren auswirken, zu beschaffen und auf dem neuesten Stand zu halten.
4.2 Retailforderungen
Eine Bank aktualisiert die Schuldner- und Fazilitätsratings bzw. überprüft die Verlusteigenschaften und den Verzugsstatus der einzelnen Risikopools mindestens einmal jährlich. Sie überprüft ausserdem mindestens einmal jährlich anhand einer repräsentativen Stichprobe den Status der einzelnen Forderungen innerhalb jedes Pools, um sicherzustellen, dass die Forderungen weiterhin dem richtigen Pool zugeordnet sind.
5. Verwendung von Modellen
Wendet eine Bank Modelle und andere automatische Verfahren für die Zuordnung von Forderungen zu Schuldner- oder Fazilitätsklassen an, so:
a) weist die Bank gegenüber der FMA nach, dass das Modell eine gute Vorhersagekraft besitzt und die Eigenmittelanforderungen durch seine Verwendung nicht verzerrt werden. Die in das Modell eingehenden Variablen bilden eine vernünftige und effektive Grundlage für die daraus resultierenden Vorhersagen. Das Modell darf keine wesentlichen Verzerrungen beinhalten;
b) verfügt die Bank über ein Verfahren zur Überprüfung der in das Modell eingehenden Daten, das eine Bewertung der Genauigkeit, Vollständigkeit und Angemessenheit der Daten umfasst;
c) weist die Bank nach, dass die für die Entwicklung des Modells herangezogenen Daten für die aktuelle Schuldner- und Forderungsstruktur der Bank repräsentativ sind;
d) sieht die Bank einen regelmässigen Modellvalidierungsturnus vor, der eine Überwachung der Leistungsfähigkeit und Stabilität des Modells, eine Überprüfung der Modellspezifikation und eine Gegenüberstellung der Modellergebnisse mit den tatsächlichen Ergebnissen umfasst;
e) ergänzt die Bank das statistische Modell durch menschliche Wertung und menschliche Aufsicht, um die modellgestützten Rating-Zuordnungen zu überprüfen und sicherzustellen, dass die Modelle ordnungsgemäss verwendet werden. Die Überprüfungsverfahren zielen darauf ab, durch Modellschwächen bedingte Fehler aufzudecken und zu begrenzen. Bei der menschlichen Wertung werden alle einschlägigen Informationen berücksichtigt, die vom Modell nicht erfasst werden. Die Bank legt schriftlich nieder, wie menschliche Wertung und Modellergebnisse miteinander kombiniert werden sollen.
6. Dokumentation der Ratingsysteme
1) Die Banken dokumentieren die Gestaltung und die operationellen Einzelheiten ihrer Ratingsysteme. Die Dokumentation belegt, dass die in diesem Teil niedergelegten Mindestanforderungen erfüllt werden, und gibt unter anderem Aufschluss über die Portfoliodifferenzierung, die Ratingkriterien, die Verantwortlichkeiten der für das Rating von Schuldnern und Forderungen zuständigen Stellen, die Intervalle für die Aktualisierung der Rating-Zuordnungen und die Überwachung des Ratingprozesses durch das Management.
2) Die Bank dokumentiert die Gründe für die Wahl ihrer Ratingkriterien und belegt sie durch Analysen. Sie dokumentiert alle grösseren Veränderungen des Risikoratingprozesses; aus dieser Dokumentation gehen die seit der letzten Überprüfung durch die FMA vorgenommenen Änderungen am Risikoratingprozess eindeutig hervor. Die Organisation der Ratingzuordnung einschliesslich des Zuordnungsverfahrens und der internen Überwachungsstrukturen wird ebenfalls dokumentiert.
3) Die Banken dokumentieren die intern verwendeten Ausfall- und Verlustdefinitionen und weisen nach, dass sie mit den in diesem Anhang niedergelegten Definitionen übereinstimmen.
4) Setzt eine Bank im Rahmen des Ratingprozesses statistische Modelle ein, so dokumentiert sie deren Methodik. Diese Dokumentation umfasst:
a) eine detaillierte Beschreibung der Theorie, der Annahmen und/oder der mathematischen und empirischen Basis für die Zuordnung von Ausfallschätzungen zu den Ratingklassen, den einzelnen Schuldnern, Krediten oder Pools sowie der Datenquelle(n), die für die Schätzung des Modells herangezogen werden;
b) einen strengen statistischen Prozess (einschliesslich Out-of-Time- und Out-of-Sample-Tests) für die Validierung des Modells; und
c) Hinweise auf sämtliche Umstände, unter denen das Modell nicht effizient arbeitet.
5) Der Einsatz eines von einem Dritten erworbenen Modells, das auf vom Verkäufer entwickelten Ansätzen aufbaut, befreit die Bank nicht von der Pflicht zur Erstellung der Dokumentation und zur Erfüllung der anderen Anforderungen an Ratingsysteme. Es ist Aufgabe der Bank, die FMA davon zu überzeugen, dass sie die Anforderungen erfüllt.
7. Datenverwaltung
7.1 Im Allgemeinen
Die Banken erfassen und speichern Daten bezüglich ihrer internen Ratings nach Massgabe von Art. 27 und Anhang 4.
7.2 Forderungen gegenüber Unternehmen, Banken und Wertpapierfirmen sowie Zentralregierungen und Zentralbanken
1) Die Banken erfassen und speichern:
a) die lückenlose Ratinghistorie der Schuldner und anerkannten Garantiegeber;
b) die Vergabedaten der Ratings;
c) die zur Herleitung der Ratings herangezogenen Kerndaten und Methoden;
d) den Namen der für die Ratingzuordnung verantwortlichen Person;
e) die ausgefallenen Schuldner und Forderungen;
f) den Zeitpunkt und die Umstände derartiger Ausfälle;
g) Daten über die PDs und tatsächlichen Ausfallquoten bei den Ratingklassen sowie die Wanderungsbewegungen zwischen den Ratingklassen;
h) Banken, die keine eigenen Schätzungen der LGDs und/oder Umrechnungsfaktoren verwenden, erheben und speichern Daten über die Vergleiche der tatsächlichen LGDs mit den Werten nach Teil 2 Ziff. 2.2 Abs. 1 bzw. der tatsächlichen Umrechnungsfaktoren mit den Werten nach Teil 3 Ziff. 1 Abs. 11.
2) Banken, die eigene Schätzungen der LGDs und/oder Umrechnungsfaktoren verwenden, erheben und speichern:
a) die lückenlosen Datenhistorien der zu jeder einzelnen Ratingskala gehörenden Fazilitätsratings sowie LGD- und Umrechnungsfaktorschätzungen;
b) das Datum, an dem die Ratings zugeordnet und die Schätzungen durchgeführt wurden;
c) die zur Herleitung der Fazilitätsratings sowie der LGD- und Umrechnungsfaktorschätzungen herangezogenen Kerndaten und Methoden;
d) den Namen der Person, von der das Fazilitätsrating vergeben wurde, und der Person, von der die Schätzungen der LGD und des Umrechnungsfaktors gestellt wurden;
e) Daten über die geschätzten und tatsächlichen LGDs und Umrechnungsfaktoren für jede einzelne ausgefallene Forderung;
f) Daten über die LGD der Forderung vor und nach der Bewertung von Garantien bzw. Kreditderivaten, wenn die Bank die kreditrisikomindernde Wirkung von Garantien oder Kreditderivaten bei der LGD berücksichtigt;
g) Daten über die Verlustkomponenten bei jeder einzelnen ausgefallenen Forderung.
7.3 Retailforderungen
Die Banken erfassen und speichern:
a) die bei der Zuordnung von Forderungen zu Klassen oder Pools verwendeten Daten;
b) Daten über die geschätzten PDs, LGDs und Umrechnungsfaktoren für Forderungsklassen oder Forderungspools;
c) die ausgefallenen Schuldner und Forderungen;
d) bei ausgefallenen Forderungen Daten über die Klassen oder Pools, denen die Forderungen während des Jahres vor dem Ausfall zugeordnet waren, und über die tatsächlichen Werte der LGD und des Umrechnungsfaktors;
e) Daten über die Verlustquoten bei qualifizierten revolvierenden Retailforderungen.
8. Stresstests zur Beurteilung der Kapitaladäquanz
1) Eine Bank verfügt über fundierte Stresstest-Verfahren zur Beurteilung der Angemessenheit ihrer Eigenkapitalausstattung. Bei den Stresstests sind auch möglicherweise eintretende Ereignisse oder künftige Veränderungen der ökonomischen Rahmenbedingungen zu ermitteln, die sich negativ auf die Werthaltigkeit der Forderungen auswirken könnten, wobei auch die Fähigkeit der Bank zu bewerten ist, derartigen negativen Einflüssen standzuhalten.
2) Eine Bank führt regelmässig Kreditrisiko-Stresstests durch, um den Einfluss bestimmter Bedingungen auf ihre gesamten erforderlichen Eigenmittel für das Kreditrisiko abzuschätzen. Der hierzu angewandte Test wird von der Bank vorbehaltlich der Überprüfung durch die FMA ausgewählt. Er ist aussagekräftig und angemessen konservativ, wobei zumindest der Einfluss leichter Rezessionsszenarien berücksichtigt wird. Eine Bank bewertet die in den Stresstest-Szenarios erfolgenden Wanderungsbewegungen zwischen ihren Ratings. Die im Rahmen der Stresstests untersuchten Portfolios umfassen die überwiegende Mehrheit aller Forderungen der Bank.
3) Banken, die nach Teil 1 Ziff. 2 Abs. 7 dieses Abschnitts verfahren, berücksichtigen im Rahmen ihrer Stresstests die Auswirkungen einer Bonitätsverschlechterung von Sicherungsgebern, insbesondere die Auswirkungen der Tatsache, dass Sicherungsgeber die Anerkennungskriterien nicht mehr erfüllen.
II. Risikoquantifizierung
9. Im Allgemeinen
Bei der Ermittlung der Risikoparameter für bestimmte Ratingklassen oder -pools halten die Banken folgende Vorgaben ein.
10. Ausfalldefinition
1) Der "Ausfall" eines bestimmten Schuldners gilt als eingetreten, wenn mindestens einer der beiden nachstehenden Sachverhalte erfüllt ist:
a) Die Bank geht davon aus, dass der Schuldner seinen Kreditverpflichtungen gegenüber der Bank, ihrem Mutterunternehmen oder ihren Tochterunternehmen mit hoher Wahrscheinlichkeit nicht in voller Höhe nachkommen wird, ohne dass die Bank auf Massnahmen wie die Verwertung von Sicherheiten (soweit vorhanden) zurückgreift.
b) Eine wesentliche Verbindlichkeit des Schuldners gegenüber der Bank, ihrem Mutterunternehmen oder ihren Tochterunternehmen ist mehr als 90 Tage überfällig.
Bei Überziehungen beginnt die Überfälligkeit mit dem Tag, an dem der Kreditnehmer eine zugesagte Limite überschritten hat, ihm eine geringere Limite als die aktuelle Inanspruchnahme mitgeteilt wurde oder er einen nicht genehmigten Kredit in Anspruch genommen hat und der zugrunde liegende Betrag erheblich ist.
Eine mitgeteilte Limite ist eine Limite, die dem Kreditnehmer zur Kenntnis gebracht wurde.
Die Überfälligkeit für Kreditkarten beginnt mit dem frühesten Fälligkeitstag.
Bei Retailforderungen und Forderungen an öffentliche Stellen setzt die FMA die Zahl der Verzugstage nach Abs. 5 fest.
Bei Retailforderungen können die Banken diese Definition auf Fazilitätsebene anwenden.
In allen Fällen müssen die überfälligen Forderungen über einem Schwellenwert liegen, der von der FMA festgelegt wird und ein akzeptables Risikoniveau widerspiegelt.
2) Als Hinweise auf einen drohenden Zahlungsausfall gelten:
a) die Bank verzichtet auf die laufende Belastung von Zinsen;
b) die Bank nimmt eine Wertberichtigung vor, weil sich die Kreditqualität nach der Hereinnahme des Kredits deutlich verschlechtert hat;
c) die Bank verkauft die Kreditverpflichtung mit einem bedeutenden bonitätsbedingten wirtschaftlichen Verlust;
d) die Bank stimmt einer krisenbedingten Restrukturierung des Kredits zu, die voraussichtlich zu einer Reduzierung der Schuld durch einen bedeutenden Forderungsverzicht oder Stundung bezogen auf den Nominalbetrag, die Zinsen oder gegebenenfalls auf Gebühren führt. Bei Beteiligungen, die nach dem PD/LGD-Ansatz beurteilt werden, schliesst dies die krisenbedingte Restrukturierung der Beteiligung selbst ein;
e) die Bank hat Antrag auf Insolvenz des Schuldners gestellt oder eine vergleichbare Massnahme in Bezug auf die Kreditverpflichtungen des Schuldners gegenüber der Bank, ihrem Mutterunternehmen oder ihren Tochterunternehmen ergriffen;
f) der Schuldner hat Insolvenz beantragt oder wurde unter Gläubiger- oder einen vergleichbaren Schutz gestellt, so dass Rückzahlungen der Kreditverpflichtung gegenüber der Bank, ihrem Mutterunternehmen oder ihren Tochterunternehmen ausgesetzt werden oder verzögert erfolgen.
3) Verwenden Banken externe Daten, die mit der Ausfalldefinition selbst nicht übereinstimmen, so weisen sie gegenüber der FMA nach, dass angemessene Anpassungen vorgenommen wurden, um eine weitgehende Übereinstimmung mit der Ausfalldefinition herzustellen.
4) Gelangt die Bank zu der Auffassung, dass die Referenzdefinition auf eine als ausgefallen eingestufte Forderung nicht mehr zutrifft, so beurteilt sie den Schuldner oder die Fazilität in der gleichen Weise wie bei einer nicht ausgefallenen Forderung. Sollte die Ausfalldefinition später wieder zutreffen, so ist von einem erneuten Ausfall auszugehen.
5) Bei Retailforderungen und Forderungen gegenüber öffentlichen Stellen setzt die FMA die genaue Zahl der Verzugstage fest, an die sich sämtliche Banken bei der in Abs. 1 dargelegten Ausfalldefinition für Forderungen gegenüber Gegenparteien mit Sitz in Liechtenstein zu halten haben. Die Zahl der Verzugstage muss zwischen 90 und 180 liegen und kann für verschiedene Produktlinien unterschiedlich festgesetzt werden. Für Forderungen gegenüber Gegenparteien mit Sitz im Hoheitsgebiet eines anderen EWR-Landes oder der Schweiz setzt die FMA eine Zahl von Verzugstagen fest, die nicht höher ist als die von den zuständigen Behörden des jeweiligen EWR-Landes oder der Schweiz festgesetzte Zahl von Verzugstagen.
11. Allgemeine Anforderungen für Schätzungen
11.1 Im Allgemeinen
1) Die bankeigenen Schätzungen der Risikoparameter PD, LGD, Umrechnungsfaktor und EL werden unter Verwendung sämtlicher einschlägigen Daten, Informationen und Methoden erstellt. Die Schätzungen werden sowohl aus historischen Erfahrungen als auch aus empirischen Ergebnissen abgeleitet und dürfen nicht allein auf wertenden Annahmen beruhen. Die Schätzungen sind plausibel und einleuchtend und beruhen auf den wesentlichen Bestimmungsfaktoren der jeweiligen Risikoparameter. Je weniger Daten einer Bank zur Verfügung stehen, desto konservativer ist seine Schätzung.
2) Die Bank ist in der Lage, ihre Verlust-Erfahrungswerte bezogen auf Ausfallhäufigkeit, LGD, Umrechnungsfaktor bzw. Verlust bei Verwendung von EL-Schätzungen nach den Faktoren aufzuschlüsseln, die sie als Hauptbestimmungsfaktoren der jeweiligen Risikoparameter ansieht. Die Bank weist nach, dass ihre Schätzungen die langfristigen Erfahrungen repräsentativ wiedergeben.
3) Alle Veränderungen in der Kreditvergabepraxis oder im Prozess der Sicherheitenverwertung innerhalb der in Ziff. 11.2 Abs. 8, Ziff. 11.3 Abs. 5, Ziff. 11.4b, Ziff. 11.4c Abs. 4, Ziff. 11.5b und Ziff. 11.5c Abs. 2 angegebenen Beobachtungszeiträume werden berücksichtigt. Die Schätzungen der Bank berücksichtigen unverzüglich die Auswirkungen von technischen Fortschritten, neuen Daten und sonstigen Informationen, sobald sie verfügbar sind. Die Banken überprüfen ihre Schätzungen, sobald neue Informationen verfügbar werden, mindestens jedoch einmal jährlich.
4) Die Gesamtheit der Forderungen, die den für die Schätzungen herangezogenen Daten zugrunde liegen, sowie die zum Zeitpunkt der Datenerhebung geltenden Kreditvergaberichtlinien und sonstigen relevanten Merkmale sind mit der aktuellen Kreditstruktur und den aktuellen Forderungen und Standards der Bank vergleichbar. Die Bank weist ausserdem nach, dass die wirtschaftlichen Rahmenbedingungen und das Marktumfeld aus der Zeit, auf die sich die Daten beziehen, ebenso auf die gegenwärtigen und absehbaren Verhältnisse zutreffen. Die Zahl der in die Stichprobe einbezogenen Forderungen und der genutzte Erhebungszeitraum sind ausreichend bemessen, damit die Bank von einer genauen und soliden Schätzung ausgehen kann.
5) Bei angekauften Forderungen berücksichtigen die Schätzungen alle einschlägigen Informationen, die der ankaufenden Bank in Bezug auf die Qualität der zugrunde liegenden Forderungen zur Verfügung stehen, einschliesslich der vom Verkäufer, von der ankaufenden Bank oder aus externen Quellen stammenden Daten für vergleichbare Pools. Die ankaufende Bank unterzieht die vom Verkäufer gestellten Daten einer Wertung.
6) Eine Bank schlägt ihren Schätzungen eine Sicherheitsmarge zu, die in Beziehung zur erwarteten Schätzfehlerspannbreite steht. Sind die Methoden und Daten weniger zufrieden stellend und die erwartete Fehlerspannbreite grösser, wird die Sicherheitsmarge entsprechend höher angesetzt.
7) Verwendet eine Bank unterschiedliche Schätzungen für die Berechnung der Risikogewichte und für interne Zwecke, so wird dies dokumentiert und die Angemessenheit der Schätzungen gegenüber der FMA nachgewiesen.
8) Kann eine Bank gegenüber der FMA nachweisen, dass die vor dem Inkrafttreten dieser Verordnung erhobenen Daten in angemessener Weise angepasst wurden, um weitgehende Übereinstimmung mit den Ausfall- bzw. Verlustdefinitionen herzustellen, so kann die FMA der Bank eine gewisse Flexibilität bei der Anwendung der geforderten Datenstandards einräumen.
9) Greift eine Bank auf bankübergreifende Datenpools zurück, so weist sie nach, dass:
a) die Ratingsysteme und -kriterien der anderen Banken im Pool mit ihren eigenen vergleichbar sind;
b) der Pool für das Portfolio, für das die gepoolten Daten verwendet werden, repräsentativ ist;
c) die gepoolten Daten von der Bank über längere Zeit konsistent für ihre ständigen Schätzungen verwendet werden.
10) Greift eine Bank auf bankübergreifende Datenpools zurück, so bleibt sie dennoch für die Integrität ihrer Ratingsysteme verantwortlich. Die Bank weist gegenüber der FMA nach, dass sie bankintern über ausreichende Kenntnisse ihres Ratingsystems verfügt und effektiv imstande ist, den Ratingprozess zu überwachen und zu prüfen.
11.2 Besondere Anforderungen an die PD-Schätzungen für Forderungen gegenüber Unternehmen, Banken und Wertpapierfirmen sowie Zentralregierungen und Zentralbanken
1) Die Banken schätzen die PDs für die einzelnen Schuldnerklassen anhand der langfristigen Durchschnitte der jährlichen Ausfallquoten.
2) Bei angekauften Unternehmensforderungen können die Banken die ELs für die einzelnen Schuldnerklassen anhand der langfristigen Durchschnitte der jährlichen tatsächlichen Ausfallquoten schätzen.
3) Leitet eine Bank Schätzungen der langfristigen Durchschnitts-PDs und -LGDs für angekaufte Unternehmensforderungen aus einer EL-Schätzung und einer angemessenen Schätzung der PD oder LGD ab, so erfolgt die Schätzung der Gesamtverluste nach den in diesem Teil festgelegten Standards für die Schätzung der PD und der LGD und das Ergebnis ist vereinbar mit dem in Ziff. 11.4a Abs. 1 dargelegten LGD-Konzept.
4) Die Banken wenden die PD-Schätzverfahren nur in Kombination mit tiefergehenden Analysen an. Bei der Zusammenführung der Ergebnisse der verschiedenen Verfahren und bei Anpassungen, die aufgrund der Beschränkungen von Verfahren und Informationen vorgenommen werden, berücksichtigen die Banken die Bedeutung von wertenden Annahmen.
5) Stützt eine Bank ihre PD-Schätzungen auf eigene Ausfallerfahrungswerte, so weist sie in seiner Analyse nach, dass die Schätzungen die Kreditvergaberichtlinien sowie die Unterschiede zwischen dem die Daten liefernden Ratingsystem und dem aktuell verwendeten Ratingsystem berücksichtigen. Haben sich die Kreditvergaberichtlinien oder Ratingsysteme verändert, so schlägt die Bank ihrer PD-Schätzung eine höhere Sicherheitsmarge zu.
6) Sofern eine Bank ihre internen Schuldnerklassen mit der Ratingskala externer Ratingagenturen (ECAIs) oder vergleichbarer Organisationen verbindet oder einer derartigen Ratingskala zuordnet und anschliessend die für die Schuldnerklassen der externen Organisation beobachteten Ausfallquoten ihren internen Schuldnerklassen zuordnet, beruht die Zuordnung auf einem Vergleich der internen Ratingkriterien mit den Ratingkriterien der externen Organisation und einem Vergleich der internen und externen Ratings jedes gemeinsam beurteilten Kreditnehmers. Verzerrungen oder Inkonsistenzen im Zuordnungsverfahren oder bei den zugrunde liegenden Daten werden vermieden. Die Kriterien der externen Organisation, die den für Zwecke der Risikoeinstufung herangezogenen Daten zugrunde liegen, richten sich ausschliesslich am Ausfallrisiko aus und spiegeln nicht die Transaktionsmerkmale wider. Die Analyse der Bank umfasst einen Vergleich der verwendeten Ausfalldefinitionen nach Massgabe von Ziff. 10. Die Bank dokumentiert die Grundlagen einer derartigen Zuordnung.
7) Verwendet eine Bank statistische Modelle zur Schätzung der Ausfallwahrscheinlichkeit, so können die einfachen Durchschnitte der geschätzten Ausfallwahrscheinlichkeiten einzelner Schuldner in einer bestimmten Risikoklasse als PDs verwendet werden. Die von der Bank zur Schätzung der Ausfallwahrscheinlichkeit verwendeten Modelle müssen den unter Ziff. 5 dargelegten Standards entsprechen.
8) Unabhängig davon, ob eine Bank externe, interne oder gepoolte Datenquellen oder eine Kombination daraus für ihre PD-Schätzungen verwendet, beträgt die Länge des zugrunde liegenden Beobachtungszeitraums von zumindest einer Datenquelle mindestens fünf Jahre. Umfasst der Beobachtungszeitraum einer Datenquelle eine längere Zeitspanne und sind die entsprechenden Daten massgeblich, so wird dieser längere Beobachtungszeitraum herangezogen. Dies gilt auch für den PD/LGD- Ansatz bei Beteiligungstiteln. Banken, die nicht befugt sind, eigene Schätzungen von LGDs oder Umrechnungsfaktoren zu verwenden, dürfen bei der Einführung des IRB-Ansatzes über einschlägige Daten für einen Zeitraum von zwei Jahren verfügen. Der abzudeckende Zeitraum verlängert sich jährlich um ein Jahr, bis massgebliche Daten für einen Zeitraum von fünf Jahren vorliegen.
11.3 Besondere Anforderungen an die PD-Schätzungen für Retailforderungen
1) Die Banken schätzen die PDs für die einzelnen Schuldnerklassen oder -pools anhand der langfristigen Durchschnitte der jährlichen Ausfallquoten.
2) Ungeachtet von Abs. 1 können die PD-Schätzungen auch aus den tatsächlichen Verlusten und geeigneten LGD-Schätzungen hergeleitet werden.
3) Die Banken betrachten die internen Daten für die Zuordnung von Forderungen zu Klassen oder Pools als primäre Informationsquelle für die Schätzung der Verlustmerkmale. Sie können externe Daten (einschliesslich gepoolter Daten) oder statistische Modelle für die Quantifizierung heranziehen, wenn eine grosse Gemeinsamkeit nachgewiesen werden kann zwischen:
a) den eigenen Verfahren der Bank für die Zuordnung von Forderungen zu Klassen oder Pools und den von der externen Datenquelle eingesetzten Verfahren;
b) dem internen Risikoprofil der Bank und der Zusammensetzung der externen Daten.
Bei angekauften Retailforderungen können die Banken externe und interne Referenzdaten verwenden. Sie ziehen alle einschlägigen Datenquellen für Vergleichszwecke heran.
4) Leitet eine Bank Schätzungen der langfristigen Durchschnitts-PDs und -LGDs für Retailforderungen aus einer Schätzung der Gesamtverluste und einer angemessenen Schätzung der PD oder LGD ab, so erfolgt die Schätzung der Gesamtverluste nach den in diesem Teil festgelegten Standards für die Schätzung der PD und der LGD und das Ergebnis ist vereinbar mit dem in Ziff. 11.4a Abs. 1 dargelegten LGD-Konzept.
5) Unabhängig davon, ob eine Bank externe, interne oder gepoolte Datenquellen oder eine Kombination daraus für ihre Schätzungen der Gesamtverluste verwendet, beträgt die Länge des zugrunde liegenden Beobachtungszeitraums von zumindest einer Datenquelle mindestens fünf Jahre. Umfasst der Beobachtungszeitraum einer Datenquelle eine längere Zeitspanne und sind die entsprechenden Daten massgeblich, so wird dieser längere Beobachtungszeitraum herangezogen. Eine Bank braucht historische Daten nicht mit gleichem Gewicht zu berücksichtigen, wenn sie gegenüber der FMA nachweisen kann, dass die aktuelleren Daten eine bessere Prognosekraft haben. Die Banken dürfen bei der Einführung des IRB-Ansatzes über massgebliche Daten verfügen, die einen Zeitraum von zwei Jahren abdecken. Der abzudeckende Zeitraum verlängert sich jährlich um ein Jahr, bis massgebliche Daten für einen Zeitraum von fünf Jahren vorliegen.
6) Die Banken ermitteln und analysieren die voraussichtlichen Veränderungen der Risikoparameter während der Laufzeit einer Forderung (Laufzeiteffekte).
11.4 Besondere Anforderungen für eigene LGD-Schätzungen
11.4a Im Allgemeinen
1) Die Banken schätzen die LGDs für die einzelnen Fazilitätsklassen oder -pools anhand der durchschnittlichen beobachteten LGDs der einzelnen Fazilitätsklassen bzw. -pools unter Heranziehung sämtlicher innerhalb der Datenquellen verzeichneten Ausfälle (ausfallgewichteter Durchschnitt).
2) Die Banken verwenden die LGD-Schätzungen die für einen Konjunkturabschwung angemessen sind, falls diese konservativer sind als der langfristige Durchschnitt. Ist ein Ratingsystem so entworfen, dass es im Zeitverlauf konstante LGD-Schätzungen für die einzelnen Klassen bzw. Pools hervorbringt, so passen die Banken ihre Schätzungen der Risikoparameter für die einzelnen Klassen bzw. Pools an, um die Auswirkungen eines Wirtschaftsabschwungs auf die erforderlichen Eigenmittel zu begrenzen.
3) Die Bank berücksichtigt den Umfang etwaiger Abhängigkeiten zwischen dem Risiko des Schuldners und dem Risiko der Sicherheit bzw. des Sicherheitengebers. Signifikante Abhängigkeiten sind in konservativer Weise zu berücksichtigen.
4) Währungsunterschiede zwischen der zugrunde liegenden Verpflichtung und der Sicherheit werden bei der LGD-Schätzung der Bank in konservativer Weise berücksichtigt.
5) Werden bei den LGD-Schätzungen Sicherheiten berücksichtigt, so wird dabei nicht nur der geschätzte Marktwert der Sicherheit zugrunde gelegt. Die LGD-Schätzungen tragen der Tatsache Rechnung, dass die Bank möglicherweise nicht in der Lage sein wird, rasch auf die Sicherheiten zuzugreifen und sie zu verwerten.
6) Sofern bei den LGD-Schätzungen vorhandene Sicherheiten berücksichtigt werden, müssen die Banken interne Anforderungen für Sicherheitenmanagement, Rechtssicherheit und Risikomanagement festlegen, die im Allgemeinen den Anforderungen nach Abschnitt 3 Teil 2 dieses Anhangs entsprechen.
7) Sofern eine Bank zusätzliche Sicherheiten zur Bestimmung des Forderungswertes des Gegenpartei-Kreditausfallrisikos nach Art. 40 Abs. 1 Bst. c und d sowie den Bestimmungen von Abschnitt 1 Teil 1 dieses Anhangs anerkennt, werden Beträge, die aus den zusätzlichen Sicherheiten erwartet werden, bei den LGD-Schätzungen nicht berücksichtigt.
8) Im Sonderfall bereits ausgefallener Forderungen legt die Bank die Gesamtsumme der möglichst genauen Schätzungen der erwarteten Verluste aus jeder einzelnen Forderung unter Berücksichtigung der aktuellen wirtschaftlichen Verhältnisse und des Forderungsstatus sowie der Möglichkeit zusätzlicher unerwarteter Verluste während des Verwertungszeitraumes zugrunde.
9) Noch nicht bezahlte Verzugsgebühren werden der Forderung bzw. dem Verlust in dem Umfang hinzugerechnet, wie sie von der Bank bereits erfolgswirksam gebucht wurden.
11.4b Forderungen gegenüber Unternehmen, Banken und Wertpapierfirmen sowie Zentralregierungen und Zentralbanken
Die den LGD-Schätzungen zugrunde gelegten Daten aus zumindest einer Datenquelle beziehen sich auf einen Beobachtungszeitraum von mindestens fünf Jahren, der jährlich nach der Einführung um ein Jahr erhöht wird, bis ein Minimum von sieben Jahren erreicht ist. Umfasst der verfügbare Beobachtungszeitraum eine längere Zeitspanne als sieben Jahre und sind die entsprechenden Daten massgeblich, so wird dieser längere Beobachtungszeitraum herangezogen.
11.4c Retailforderungen
1) Ungeachtet von Ziff. 11.4a Abs. 1 können die LGD-Schätzungen aus den tatsächlichen Verlusten und geeigneten PD-Schätzungen hergeleitet werden.
2) Ungeachtet von Ziff. 11.5a Abs. 3 können die Banken künftige Inanspruchnahmen entweder in ihrem Umrechnungsfaktor oder in ihren LGD-Schätzungen berücksichtigen.
3) Bei angekauften Retailforderungen können die Banken externe und interne Referenzdaten zur Schätzung der LGDs verwenden.
4) Die den LGD-Schätzungen zugrunde gelegten Daten beziehen sich auf einen Beobachtungszeitraum von mindestens fünf Jahren. Ungeachtet von Ziff. 11.4a Abs. 1 braucht eine Bank historische Daten nicht mit gleichem Gewicht zu berücksichtigen, wenn sie gegenüber der FMA nachweisen kann, dass die aktuelleren Daten eine bessere Prognosekraft haben. Die Banken dürfen bei der Einführung des IRB-Ansatzes über massgebliche Daten verfügen, die einen Zeitraum von zwei Jahren abdecken. Der abzudeckende Zeitraum verlängert sich jährlich um ein Jahr, bis massgebliche Daten für einen Zeitraum von fünf Jahren vorliegen.
11.5 Besondere Anforderungen für eigene Umrechnungsfaktorschätzungen
11.5a Im Allgemeinen
1) Die Banken schätzen die Umrechnungsfaktoren für die einzelnen Fazilitätsklassen oder -pools anhand der durchschnittlichen erwarteten Umrechnungsfaktoren für die einzelnen Fazilitätsklassen bzw. -pools unter Heranziehung sämtlicher innerhalb der Datenquellen verzeichneten Ausfälle (ausfallgewichteter Durchschnitt).
2) Die Banken verwenden die Umrechnungsfaktorschätzungen, die für einen Konjunkturabschwung angemessen sind, falls diese konservativer sind als der langfristige Durchschnitt. Ist ein Ratingsystem so entworfen, dass es im Zeitverlauf konstante Umrechnungsfaktoren für die einzelnen Klassen bzw. Pools hervorbringt, so passen die Banken ihre Schätzungen der Risikoparameter für die einzelnen Klassen bzw. Pools an, um die Auswirkungen eines Wirtschaftsabschwungs auf die Eigenmittelanforderungen zu begrenzen.
3) Bei der Schätzung der Umrechnungsfaktoren berücksichtigen die Banken die Möglichkeit zusätzlicher Inanspruchnahmen durch den Schuldner bis zum Zeitpunkt und nach Eintritt des Ausfalls. Der Umrechnungsfaktorschätzung wird eine höhere Sicherheitsmarge zugeschlagen, wenn von einer starken positiven Korrelation zwischen der Ausfallhäufigkeit und der Grösse des Umrechnungsfaktors auszugehen ist.
4) Bei der Schätzung der Umrechnungsfaktoren berücksichtigen die Banken ihre spezifischen Vorschriften und Strategien, die sie zur Überwachung der Kontoführung und des Zahlungsverkehrs anwenden. Sie berücksichtigen auch, inwieweit sie imstande und bereit sind, in zahlungsausfallähnlichen Situationen, wie bei Vertragsverletzungen oder bei technisch bedingten Ausfällen, weitere Kreditinanspruchnahmen zu verhindern.
5) Die Banken verfügen über angemessene Systeme und Verfahren für die Überwachung der Fazilitätsbeträge, der aktuellen Inanspruchnahme zugesagter Limiten und der Veränderungen der Inanspruchnahme je Schuldner und Klasse. Sie sind in der Lage, die Kreditinanspruchnahme auf täglicher Basis zu überwachen.
6) Wendet eine Bank unterschiedliche Umrechnungsfaktorschätzungen für die Berechnung der risikogewichteten Forderungsbeträge und für interne Zwecke an, so wird dies dokumentiert und die Angemessenheit der Schätzungen gegenüber der FMA nachgewiesen.
11.5b Forderungen gegenüber Unternehmen, Banken und Wertpapierfirmen sowie Zentralregierungen und Zentralbanken
Die den Schätzungen der Umrechnungsfaktoren zugrunde gelegten Daten aus zumindest einer Datenquelle beziehen sich auf einen Beobachtungszeitraum von mindestens fünf Jahren, der jährlich nach der Einführung um ein Jahr erhöht wird, bis ein Minimum von sieben Jahren erreicht ist. Umfasst der verfügbare Beobachtungszeitraum eine längere Zeitspanne als sieben Jahre und sind die entsprechenden Daten massgeblich, so wird dieser längere Beobachtungszeitraum herangezogen.
11.5c Retailforderungen
1) Ungeachtet von Ziff. 11.5a Abs. 3 können die Banken künftige Inanspruchnahmen entweder in ihren Umrechnungsfaktoren oder in ihren LGD-Schätzungen berücksichtigen.
2) Die den Schätzungen der Umrechnungsfaktoren zugrunde gelegten Daten beziehen sich auf einen Beobachtungszeitraum von mindestens fünf Jahren. Ungeachtet von Ziff. 11.5a Abs. 1 braucht eine Bank historische Daten nicht mit gleichem Gewicht zu berücksichtigen, wenn sie gegenüber der FMA nachweisen kann, dass die aktuelleren Daten eine bessere Prognosekraft haben.
3) Die Banken dürfen bei der Einführung des IRB-Ansatzes über massgebliche Daten zu verfügen, die einen Zeitraum von zwei Jahren abdecken. Der abzudeckende Zeitraum verlängert sich jährlich um ein Jahr, bis massgebliche Daten für einen Zeitraum von fünf Jahren vorliegen.
11.6 Mindestanforderungen für die Schätzung der Wirkung von Garantien und Kreditderivaten
11.6a Forderungen gegenüber Unternehmen, Banken und Wertpapierfirmen sowie Zentralregierungen und Zentralbanken
1) Die in Abs. 2 und in Ziff. 11.6b bis 11.6d niedergelegten Anforderungen gelten nicht für Garantien von Banken und Wertpapierfirmen sowie Zentralregierungen und Zentralbanken, wenn der Bank die Anwendung des Standardansatzes auf Forderungen gegenüber diesen Gegenparteien gestattet ist. Anwendung finden in diesem Falle die Anforderungen der Art. 55 bis 57.
2) Bei Retailgarantien gelten diese Anforderungen auch für die Zuordnung von Forderungen zu Klassen oder Pools und für die Schätzung der PD.
11.6b Anerkennungsfähige Garantiegeber und Garantien
1) Die Banken verfügen über klar niedergelegte Kriterien dafür, welche Arten von Garantiegebern bei der Berechnung der risikogewichteten Forderungsbeträge berücksichtigt werden.
2) Für anerkennungsfähige Garantiegeber gelten dieselben Regeln wie für Schuldner nach Ziff. 2.3 Abs. 5 und 6, Ziff. 3.1 bis 3.3 sowie Ziff. 4.1 und 4.2.
3) Die Garantie muss in Schriftform vorliegen, vom Garantiegeber unwiderrufbar sein, bis zur vollständigen Rückzahlung des Kredits gelten (in Bezug auf Höhe und Laufzeit der Garantieerklärung) und gegenüber dem Garantiegeber in der Rechtsordnung rechtlich durchsetzbar sein, in welcher der Garantiegeber über Vermögenswerte verfügt, die durch ein vollstreckbares Urteil gepfändet werden können. Garantien, deren Inanspruchnahme an Bedingungen geknüpft sind (bedingte Garantien), können mit Genehmigung der FMA anerkannt werden. Die Bank weist nach, dass die Zuordnungskriterien zu Klassen oder Pools mögliche Verschlechterungen der Kreditsicherungseigenschaften angemessen berücksichtigen.
11.6c Anpassungskriterien
1) Die Banken verfügen über klar definierte Kriterien für die Anpassung der Klassen, Pools oder LGD-Schätzungen bzw. im Falle von Retailforderungen und qualifizierten angekauften Forderungen für den Prozess der Zuordnung von Forderungen zu Klassen oder Pools, um den Einfluss von Garantien bei der Berechnung der risikogewichteten Forderungsbeträge darstellen zu können. Diese Kriterien entsprechen den Mindestanforderungen nach Ziff. 2.3 Abs. 5 und 6, Ziff. 3.1 bis 3.3 sowie Ziff. 4.1 und 4.2.
2) Die Kriterien sind plausibel und einleuchtend. Sie berücksichtigen die Fähigkeit und die Bereitschaft des Garantiegebers, seinen Verpflichtungen aus der Garantie nachzukommen, den wahrscheinlichen Zeitpunkt der Zahlungen, den Grad der Korrelation zwischen der Fähigkeit des Garantiegebers, den Kredit zurückzuzahlen, und der Zahlungsfähigkeit des Schuldners sowie das Ausmass eines etwaigen verbleibenden Restrisikos für den Schuldner.
11.6d Kreditderivate
1) Die in diesem Teil niedergelegten Mindestanforderungen für Garantien gelten auch für auf einzelne Adressen bezogene Kreditderivate. Bei Inkongruenz zwischen der zugrunde liegenden Verpflichtung und der Bezugsverpflichtung des Kreditderivats oder der zur Bestimmung des Eintritts eines Kreditereignisses verwendeten Verpflichtung gelten die Anforderungen nach Anhang 1 Abschnitt 3 Teil 2 Ziff. 13 Abs. 2. Im Falle von Retailforderungen und qualifizierten angekauften Forderungen finden die genannten Bestimmungen auf die Zuordnung von Forderungen zu Klassen oder Pools Anwendung.
2) Die Kriterien berücksichtigen die Zahlungsstruktur aus dem Kreditderivat und tragen dem Einfluss, den diese auf die Höhe und den Zeitpunkt der Ausgleichszahlungen hat, in konservativer Weise Rechnung. Die Bank berücksichtigt, in welchem Umfang andere Arten von Restrisiken verbleiben.
11.7 Mindestanforderungen für angekaufte Forderungen
11.7a Rechtssicherheit
Durch die Struktur der Fazilität wird sichergestellt, dass die Bank unter allen vorhersehbaren Umständen tatsächlich Eigentümerin der Forderungen ist und die Geldeingänge aus den Forderungen kontrollieren kann. Sofern der Schuldner Zahlungen direkt an den Veräusserer oder Forderungsverwalter leistet, überzeugt sich die Bank regelmässig davon, dass die Zahlungen vollständig und gemäss der vertraglichen Vereinbarung an die ankaufende Bank weitergeleitet werden. Ein Forderungsverwalter ist eine Stelle, die einen Pool von angekauften Forderungen oder die zugrunde liegenden Kreditforderungen auf täglicher Basis verwaltet. Die Banken stellen durch geeignete Verfahren sicher, dass das Eigentum an den Forderungen und Geldeingängen gegen Forderungen aus Konkursverfahren und sonstigen Rechtsansprüchen geschützt ist, die die Möglichkeiten des Kreditgebers zur Liquidierung oder Abtretung der Forderungen oder zur fortgeführten Ausübung der Kontrolle über die Geldeingänge erheblich verzögern könnten.
11.7b Wirksamkeit der Überwachungssysteme
Die Bank überwacht sowohl die Qualität der angekauften Forderungen als auch die Finanzlage des Verkäufers und des Forderungsverwalters. Insbesondere gilt Folgendes:
a) die Bank bewertet die Korrelationen zwischen der Qualität der angekauften Forderungen und der Finanzlage des Verkäufers und des Forderungsverwalters und verfügt über interne Vorschriften und Verfahren, die eine angemessene Absicherung gegen derartige Eventualitäten bieten, unter anderem indem jedem Verkäufer und Forderungsverwalter ein internes Rating zugeordnet wird;
b) die Bank verfügt über eindeutige und wirksame Vorschriften und Verfahren, um die Eignung der Verkäufer und Forderungsverwalter beurteilen zu können. Sie bzw. der von ihr Beauftragte führt in regelmässigen Abständen eine Überprüfung der Verkäufer und Forderungsverwalter durch, um sich von der Richtigkeit ihrer Berichte zu überzeugen, Betrugsfälle und betriebliche Schwachstellen aufzudecken und die Qualität der Kreditvergabepraktiken des Verkäufers bzw. der Auswahlvorschriften und -verfahren des Forderungsverwalters zu überprüfen. Die Ergebnisse dieser Überprüfungen werden dokumentiert;
c) die Bank bewertet die Merkmale des Pools angekaufter Forderungen, einschliesslich etwaiger Überziehungen (over-advances), der Erfahrungswerte hinsichtlich der Zahlungsrückstände, der uneinbringlichen Forderungen und Wertberichtigungen auf uneinbringliche Forderungen des Verkäufers, der Zahlungsbedingungen und etwaiger Gegenkonten;
d) die Bank verfügt über wirksame Vorschriften und Verfahren, um Schuldnerkonzentrationen innerhalb eines Pools und über verschiedene Pools angekaufter Forderungen hinweg auf aggregierter Basis beobachten zu können;
e) die Bank trägt dafür Sorge, dass es vom Forderungsverwalter zeitnahe und ausreichend detaillierte Berichte über die Laufzeitenstruktur (Alterung) und Verwässerung der Forderungen erhält, um die Übereinstimmung mit den Auswahlkriterien und den Vorauszahlungsleitlinien der Bank für angekaufte Forderungen sicherzustellen und die Verkaufskonditionen des Verkäufers und die Verwässerung wirksam überwachen und beurteilen zu können.
11.7c Wirksamkeit der Bearbeitungssysteme
Die Bank verfügt über Systeme und Verfahren, um Verschlechterungen der Finanzlage des Verkäufers und der Forderungsqualität bereits zu einem frühen Zeitpunkt feststellen und den Problemen bereits frühzeitig aktiv entgegenwirken zu können. Sie verfügt insbesondere über klare, wirksame Vorschriften, Verfahren und IT-Systeme zur Überwachung von Vertragsverletzungen sowie Verfahren für die Einleitung rechtlicher Schritte und den Umgang mit problembehafteten Forderungsankäufen.
11.7d Wirksamkeit für die Überwachung der Sicherheiten, der Kreditverfügbarkeit und der Zahlungen
Die Bank verfügt über klare und wirksame Vorschriften und Verfahren, die die Überwachung der angekauften Forderungen, der Kreditgewährung und der Zahlungen regeln. Insbesondere werden in schriftlich niedergelegten internen Vorschriften alle wesentlichen Elemente des Forderungsankaufsprogramms spezifiziert, einschliesslich Vorauszahlungen, geeignete Sicherheiten, erforderliche Dokumentationen, Konzentrationslimiten und die Behandlung von Geldeingängen. Diese Elemente berücksichtigen in angemessener Weise alle relevanten und wesentlichen Faktoren, einschliesslich der Finanzlage des Verkäufers und des Forderungsverwalters, Risikokonzentrationen und Trends bei der Entwicklung der Qualität der angekauften Forderungen sowie des Kundenstammes des Verkäufers; die internen Systeme stellen ausserdem sicher, dass Vorauszahlungen nur gegen genau bezeichnete Sicherheiten und eine genau bezeichnete Dokumentation erfolgen.
11.7e Einhaltung der internen Vorschriften und Verfahren
Die Bank verfügt über wirksame interne Verfahren, um die Einhaltung sämtlicher internen Vorschriften und Verfahren beurteilen zu können. Diese Verfahren umfassen unter anderem regelmässige Prüfungen in allen kritischen Phasen des Forderungsankaufsprogramms der Bank, eine Überprüfung der Funktionentrennung erstens zwischen der Beurteilung des Verkäufers und des Forderungsverwalters auf der einen und der Beurteilung des Schuldners auf der anderen Seite sowie zweitens zwischen der Beurteilung des Verkäufers und des Forderungsverwalters auf der einen und der externen Revision des Verkäufers und des Forderungsverwalters auf der anderen Seite sowie eine Bewertung des Back-Office-Betriebs, mit besonderem Augenmerk auf Qualifikation, Erfahrung und Anzahl der eingesetzten Mitarbeiter, sowie der unterstützenden maschinellen Systeme.
III. Validierung der internen Schätzungen
12. Mindestanforderungen
1) Die Banken verfügen über robuste Systeme für die Validierung der Genauigkeit und der Konsistenz der Ratingsysteme, der Ratingverfahren und der Schätzung aller einschlägigen Risikoparameter. Die Banken weisen gegenüber der FMA nach, dass der interne Validierungsprozess ihnen die Möglichkeit gibt, die Leistungsfähigkeit der internen Rating-und Risikoschätzsysteme konsistent und aussagekräftig zu beurteilen.
2) Die Banken vergleichen die tatsächlichen Ausfallquoten der einzelnen Klassen regelmässig mit den entsprechenden PD-Schätzungen; liegen die tatsächlichen Ausfallquoten ausserhalb der für die betreffende Klasse angesetzten Schätzbandbreite, so analysieren sie die Gründe für die Abweichung im Einzelnen. Banken, die eigene Schätzungen der LGDs oder Umrechnungsfaktoren verwenden, führen eine entsprechende Analyse auch bei diesen Schätzungen durch. Die Vergleiche basieren auf historischen Zeitreihen, die möglichst weit zurückreichen. Die Bank dokumentiert die bei diesen Vergleichen verwendeten Methoden und Daten. Diese Analyse und Dokumentation wird mindestens einmal jährlich aktualisiert.
3) Die Banken machen auch Gebrauch von anderen quantitativen Validierungsinstrumenten sowie Vergleichen mit einschlägigen externen Datenquellen. Die Analyse stützt sich auf Daten, die auf das entsprechende Portfolio anwendbar sind, regelmässig aktualisiert werden und einen massgeblichen Beobachtungszeitraum abdecken. Zur bankinternen Beurteilung der Leistungsfähigkeit des eigenen Ratingsystems wird ein möglichst langer Zeitraum herangezogen.
4) Die für die quantitative Validierung verwendeten Methoden und Daten werden im Zeitablauf konsistent genutzt. Änderungen der Schätz- und Validierungsmethoden und -daten (sowohl der Datenquellen als auch der herangezogenen Zeiträume) werden dokumentiert.
5) Die Banken verfügen über solide interne Standards für den Fall, dass die Abweichungen der realisierten PDs, LGDs, Umrechnungsfaktoren, sowie bei Verwendung von EL der Gesamtverluste von den erwarteten Werten so signifikant werden, dass die Validität der Schätzungen in Frage gestellt wird. Diese Standards berücksichtigen Konjunkturzyklen und ähnliche systematische Schwankungen der Ausfallwerte. Liegen die realisierten kontinuierlich über den erwarteten Werten, so setzen die Banken ihre Schätzungen entsprechend herauf, um den Ausfall- und Verlusterfahrungswerten Rechnung zu tragen.
IV. Berechnung der risikogewichteten Forderungsbeträge für Beteiligungstitel im Rahmen des IRB-Ansatzes
13. Eigenmittelanforderungen und Risikoquantifizierung
Bei der Berechnung der erforderlichen Eigenmittel halten die Banken folgende Standards ein:
a) die Schätzung des Verlustpotenzials ist gegenüber ungünstigen Marktbewegungen, die für das langfristige Risikoprofil der bankspezifischen Bestände an Beteiligungstiteln relevant sind, stabil. Die zur Herleitung der Ertragsverteilungen verwendeten Daten reichen soweit wie möglich in die Vergangenheit zurück und spiegeln das Risikoprofil der bankspezifischen Bestände an Beteiligungstiteln in zutreffender Weise wider. Die verwendeten Daten reichen aus, um konservative, statistisch verlässliche und robuste Verlustschätzungen zu liefern, die nicht nur auf subjektiven oder wertenden Überlegungen basieren. Die Banken weisen gegenüber der FMA nach, dass der unterstellte Schock eine konservative Schätzung der Verluste darstellt, die über den relevanten langfristigen Markt- oder Konjunkturzyklus hinweg auftreten können. Die Bank kombiniert die empirische Analyse der verfügbaren Daten mit Anpassungen aufgrund verschiedener Faktoren, um realistische und konservative Modellergebnisse zu erzielen. Bei der Konstruktion von Value-at-Risk-(VaR-) Modellen zur Schätzung potentieller Quartalsverluste können die Banken Quartalsdaten oder Daten mit einem kürzeren Zeithorizont verwenden, die anhand analytisch angemessener und empirisch überprüfter Methoden auf der Basis wohl durchdachter und dokumentierter Überlegungen und Analysen in Quartalsdaten umgewandelt werden. Der entsprechende Ansatz wird konservativ und im Zeitablauf konsistent genutzt. Sind einschlägige Daten nur in begrenztem Masse verfügbar, schlägt die Bank angemessene Sicherheitsmargen zu;
b) die verwendeten Modelle sind in der Lage, alle wesentlichen in den Renditen der Beteiligungstitel enthaltenen Risiken adäquat abzubilden, einschliesslich des allgemeinen und des besonderen Kursrisikos des Portfolios von Beteiligungstiteln der Bank. Die internen Modelle erklären die historischen Preisschwankungen in angemessener Weise, stellen sowohl die Grössenordnung als auch die Veränderungen in der Zusammensetzung potentieller Konzentrationen dar und sind stabil in Bezug auf widrige Marktumstände. Die Zusammensetzung der zur Schätzung verwendeten Daten ist so weit wie möglich an die Risikoposition der Beteiligungstitel der Bank angepasst oder zumindest damit vergleichbar;
c) das interne Modell ist dem Risikoprofil und der Komplexität des Portfolios an Beteiligungstiteln der Bank angemessen. Hält eine Bank wesentliche Bestände, deren Wertentwicklung naturgemäss in hohem Masse nichtlinear ist, so werden die internen Modelle so gestaltet, dass sie die mit solchen Instrumenten verbundenen Risiken angemessen erfassen;
d) die Zuordnung einzelner Positionen zu Näherungswerten, Marktindizes und Risikofaktoren ist plausibel, einleuchtend und konzeptionell solide;
e) die Banken weisen durch empirische Analysen nach, dass die Risikofaktoren angemessen und insbesondere in der Lage sind, sowohl das allgemeine als auch das besondere Risiko abzudecken;
f) die Schätzungen der Renditevolatilität von Investitionen in Beteiligungstitel berücksichtigen die relevanten und verfügbaren Daten, Informationen und Methoden. Verwendet werden von unabhängiger Seite geprüfte interne Daten oder Daten aus externen Quellen (einschliesslich gepoolter Daten);
g) ein rigoroses und umfassendes Stresstest-Programm wird durchgeführt.
14. Risikomanagementprozesse und -kontrollen
Mit Blick auf die Entwicklung und den Einsatz interner Modelle für Eigenkapitalzwecke legen die Banken Vorschriften, Verfahren und Kontrollen fest, die die Integrität des Modells und seiner Entwicklung sicherstellen. Diese Vorschriften, Verfahren und Kontrollen beinhalten unter anderem Folgendes:
a) vollständige Einbindung des internen Modells in die Gesamtmanagement-Informationssysteme der Bank und in das Management des Portfolios an Beteiligungstiteln im Bankenbuch. Die internen Modelle werden vollständig in die Risikomanagement-Infrastruktur der Bank eingebunden, insbesondere bei einer Nutzung im Rahmen der Messung und Beurteilung der Rendite des Portfolios an Beteiligungstiteln (einschliesslich der risikobereinigten Rendite), Allokation des ökonomischen Kapitals zu den Beteiligungstiteln und Beurteilung der Angemessenheit der Gesamteigenkapitalausstattung und des Anlagemanagement-Prozesses;
b) erprobte Managementsysteme, -verfahren und -kontrollfunktionen, die eine regelmässige unabhängige Überprüfung sämtlicher Bestandteile des internen Modellentwicklungsprozesses, einschliesslich der Genehmigung von Modellrevisionen, der sachkundigen Beurteilung der Modelleingaben und der Überprüfung der Modellergebnisse, wie beispielsweise die direkte Nachprüfung der Risikoberechnungen, sicherstellen. Im Rahmen dieser Überprüfungen wird die Genauigkeit, die Vollständigkeit und die Angemessenheit der Modelleingaben und -ergebnisse eingeschätzt und darauf abgezielt, aufgrund bekannter Modellschwächen mögliche Fehler zu erkennen und zu begrenzen sowie bis dato unbekannte Schwächen des Modells aufzudecken. Derartige Überprüfungen können von einer unabhängigen internen Stelle oder von einer unabhängigen externen Partei durchgeführt werden;
c) angemessene Systeme und Verfahren für die Überwachung von Anlagelimits und Risikoengagements bei Beteiligungstiteln;
d) funktionelle Unabhängigkeit der für die Entwicklung und Anwendung des Modells verantwortlichen Stellen von den für das Management der einzelnen Anlagen verantwortlichen Stellen;
e) angemessene Qualifikation aller in jedweder Weise an der Modellgestaltung Beteiligten. Das Management weist der Modellentwicklung ausreichende personelle Ressourcen mit der erforderlichen Qualifikation und Kompetenz zu.
15. Validierung und Dokumentation
1) Die Banken verfügen über ein robustes System zur Validierung der Genauigkeit und Schlüssigkeit des Modells und seiner Eingaben. Alle wesentlichen Komponenten ihres internen Modells und ihres Modellentwicklungsprozesses werden dokumentiert.
2) Die Banken setzen den internen Validierungsprozess ein, um die Leistungsfähigkeit ihrer internen Modelle und Prozesse konsistent und aussagekräftig zu beurteilen.
3) Die für die quantitative Validierung verwendeten Methoden und Daten werden im Zeitablauf konsistent genutzt. Änderungen der Schätz- und Validierungsmethoden und -daten (sowohl der Datenquellen als auch der herangezogenen Zeiträume) werden dokumentiert.
4) Die Banken vergleichen die (anhand der realisierten und nicht realisierten Gewinne und Verluste ermittelten) tatsächlichen Anlagerenditen mit den Modellschätzungen. Bei diesen Vergleichen werden historische Daten herangezogen, die sich über einen möglichst langen Zeitraum erstrecken. Die Banken dokumentieren die für derartige Vergleiche herangezogenen Methoden und Daten. Diese Analyse und Dokumentation wird mindestens jährlich aktualisiert.
5) Die Banken machen Gebrauch von anderen quantitativen Validierungsinstrumenten sowie Vergleichen mit externen Datenquellen. Die Analyse stützt sich auf Daten, die auf das entsprechende Portfolio anwendbar sind, regelmässig aktualisiert werden und einen massgeblichen Beobachtungszeitraum abdecken. Zur bankinternen Beurteilung der Leistungsfähigkeit des eigenen Modells wird ein möglichst langer Zeitraum herangezogen.
6) Die Banken verfügen über solide interne Standards für den Fall, dass der Vergleich der tatsächlichen Anlagerenditen mit den Modellschätzungen die Validität der Schätzungen oder der Modelle selbst in Frage stellt. Diese Standards berücksichtigen Konjunkturzyklen und ähnliche systematische Schwankungen der Anlagerenditen. Alle Anpassungen, die aufgrund von Modellüberprüfungen an den internen Modellen vorgenommen werden, werden dokumentiert und entsprechen den Modellüberprüfungsstandards der Bank.
7) Das interne Modell und die Modellentwicklung werden dokumentiert, einschliesslich der Verantwortlichkeiten der an der Modellentwicklung, der Modellabnahme sowie der Modellüberprüfung Beteiligten.
V. Corporate Governance und Überwachung
16. Corporate Governance
1) Alle wesentlichen Aspekte der Rating- und Schätzverfahren werden von der Geschäftsleitung der Bank oder einem von ihr eingesetzten Gremium und von der höheren Managementebene gebilligt. Die Mitglieder dieser Gremien verfügen über ein grundlegendes Verständnis der Ratingsysteme der Bank und über ein genaues Verständnis der daraus resultierenden Managementberichte.
2) Das höhere Management setzt die Geschäftsleitung oder das von der Geschäftsleitung eingesetzte Gremium über wesentliche Änderungen oder Abweichungen von den internen Vorschriften in Kenntnis, die einen erheblichen Einfluss auf die Arbeitsweise der internen Ratingsysteme haben werden.
3) Das höhere Management verfügt über ein umfassendes Verständnis des Aufbaus und der Funktionsweise des Ratingsystems. Das höhere Management trägt fortlaufend dafür Sorge, dass die Ratingsysteme ordnungsgemäss funktionieren. Das höhere Management wird von den für die Kreditrisikoüberwachung zuständigen Stellen regelmässig über die Leistungsfähigkeit des Ratingprozesses, die verbesserungsbedürftigen Bereiche und den Stand der Arbeiten an der Behebung festgestellter Schwächen unterrichtet.
4) Die auf internen Ratings basierende Analyse des Kreditrisikoprofils der Bank ist wesentlicher Bestandteil der Berichte an das höhere Management. Diese Berichte geben zumindest Aufschluss über die Risikoprofile je Klasse, die Wanderungsbewegungen zwischen den Klassen, die Schätzungen der einschlägigen Parameter je Klasse und den Vergleich der tatsächlichen Ausfallquoten und eigenen Schätzungen der LGDs und Umrechnungsfaktoren mit den Erwartungen und Stresstest-Ergebnissen. Die Berichtsintervalle richten sich nach der Bedeutung und Art der Informationen sowie der Hierarchiestufe des Empfängers.
17. Kreditrisikoüberwachung
1) Die für die Kreditrisikoüberwachung zuständige Stelle ist von den Personal- und Managementfunktionen, die für die Eröffnung und Verlängerung von Positionen verantwortlich sind, unabhängig und unmittelbar dem höheren Management unterstellt. Sie ist für die Gestaltung bzw. Wahl, Umsetzung, Überwachung und Leistungsfähigkeit der Ratingsysteme verantwortlich. Sie erstellt und analysiert regelmässig Berichte über den Output der Ratingsysteme.
2) Die Aufgaben der für die Kreditrisikoüberwachung zuständige(n) Stelle(n) umfassen unter anderem:
a) das Testen und Überwachen von Klassen und Pools;
b) die Erstellung und Auswertung von zusammenfassenden Berichten über die Ratingsysteme der Bank;
c) die Implementierung von Verfahren zur Überprüfung, ob die Klassen- und Pooldefinitionen in konsistenter Weise in allen Abteilungen und geographischen Regionen angewandt werden;
d) Überprüfung und Dokumentation jedweder Änderungen am Ratingprozess unter Angabe der Gründe für die Änderungen;
e) Überprüfung der Ratingkriterien daraufhin, ob sie für die Risikoeinschätzung weiterhin aussagekräftig sind. Veränderungen im Ratingprozess, bei den Kriterien oder den einzelnen Ratingparametern werden dokumentiert und archiviert;
f) aktive Beteiligung an der Gestaltung bzw. Wahl, Umsetzung und Validierung der im Ratingprozess eingesetzten Modelle;
g) Beaufsichtigung und Überwachung der im Ratingprozess eingesetzten Modelle;
h) fortlaufende Überprüfung und Änderung der im Ratingprozess eingesetzten Modelle.
3) Ungeachtet von Abs. 2 können Banken, die nach Ziff. 11.1 Abs. 9 und 10 gepoolte Daten verwenden, folgende Aufgaben ausgliedern:
a) Bereitstellung einschlägiger Informationen für das Testen und Überwachen von Klassen und Pools;
b) Erstellung zusammenfassender Berichte über die Ratingsysteme der Bank;
c) Bereitstellung einschlägiger Informationen für die Überprüfung der Ratingkriterien daraufhin, ob sie für die Risikoeinschätzung weiterhin aussagekräftig sind;
d) Dokumentation von Veränderungen im Ratingprozess, bei den Kriterien oder den einzelnen Ratingparametern;
e) Bereitstellung einschlägiger Informationen für die fortlaufende Überprüfung und Änderung der im Ratingprozess eingesetzten Modelle.
Banken, die von diesen Möglichkeiten Gebrauch machen, tragen dafür Sorge, dass die FMA auf alle von Dritten bereitgestellten einschlägigen Informationen zugreifen können, die notwendig sind, um die Einhaltung der Mindestanforderungen zu beurteilen, und dass die FMA Prüfungen vor Ort im selben Masse durchführen kann wie innerhalb der Bank.
18. Interne Revision
Die interne Revision oder eine andere vergleichbar unabhängige Revisionseinheit prüft mindestens einmal jährlich die Ratingsysteme der Bank und deren Funktionsweise, einschliesslich der Tätigkeit der Kreditabteilung und der Schätzung der PDs, LGDs, ELs und Umrechnungsfaktoren. Die zu prüfenden Bereiche umfassen alle zu erfüllenden Mindestanforderungen.
Abschnitt 3: Kreditrisikominderung
Teil 1: Anerkennungsfähigkeit
I. Im Allgemeinen
1. Grundsatz und Begriffe
1) In diesem Teil wird festgelegt, welche Formen der Kreditrisikominderung für die Zwecke des Art. 56 anerkannt werden können.
2) In diesem Abschnitt bezeichnet:
a) "besicherte Kreditvergabe": jedes Geschäft, das eine sicherheitsunterlegte Forderung begründet und keine Klausel enthält, die der Bank das Recht auf häufige Nachschusszahlungen einräumt;
b) "Kapitalmarkttransaktion": jedes Geschäft, das eine sicherheitsunterlegte Forderung begründet und eine Klausel enthält, die der Bank das Recht auf häufige Nachschusszahlungen einräumt.
II. Besicherung mit Sicherheitsleistung
2. Netting von Bilanzpositionen sowie Netting-Rahmenvereinbarungen, die Pensionsgeschäfte, Wertpapier- oder Warenleihgeschäfte und/ oder andere Kapitalmarkttransaktionen betreffen
1) Das bilanzielle Netting wechselseitiger Forderungen der Bank und der Gegenpartei kann anerkannt werden.
2) Unbeschadet von Abs. 3 ist die Anerkennungsfähigkeit beschränkt auf gegenseitige Barguthaben. Nur bei Darlehen und Einlagen der kreditgebenden Bank können die risikogewichteten Forderungsbeträge und gegebenenfalls die erwarteten Verlustbeträge aufgrund einer Vereinbarung über das Netting von Bilanzpositionen geändert werden.
3) Bei Banken, die die umfassende Methode zur Berücksichtigung finanzieller Sicherheiten nach Teil 3 dieses Abschnitts anwenden, können die Auswirkungen bilateraler Nettingvereinbarungen, die Pensionsgeschäfte, Wertpapier- oder Warenleihgeschäfte und/oder andere Kapitalmarkttransaktionen mit einer Gegenpartei betreffen, anerkannt werden. Die im Rahmen solcher Vereinbarungen entgegengenommenen Sicherheiten und ausgeliehenen Wertpapiere oder Waren müssen die in Ziff. 3.2 und 3.3 genannten Voraussetzungen für die Anerkennungsfähigkeit von Sicherheiten erfüllen.
3. Sicherheiten
3.1 Im Allgemeinen
Beruht das zur Kreditrisikominderung eingesetzte Verfahren auf dem Recht der Bank auf Liquidierung oder Einbehaltung von Aktiven, so hängt die Anerkennungsfähigkeit davon ab, ob die risikogewichteten Forderungsbeträge und gegebenenfalls die erwarteten Verlustbeträge nach dem Standardansatz oder dem IRB-Ansatz berechnet werden. Die Anerkennungsfähigkeit hängt ferner davon ab, ob in Bezug auf die Berücksichtigung finanzieller Sicherheiten nach der in Teil 3 dieses Abschnitts dargelegten einfachen oder umfassenden Methode verfahren wird. Bei Pensions-und Wertpapier- oder Warenleihgeschäften hängt die Anerkennungsfähigkeit zudem davon ab, ob die Transaktion im Banken- oder im Handelsbuch verbucht wird.
3.2 Anerkennungsfähigkeit unabhängig von Ansatz und Methode
1) Die folgenden Finanzwerte können bei allen Ansätzen und Methoden als Sicherheit anerkannt werden:
a) Bareinlagen bei der kreditgebenden Bank oder von dieser verwahrte bargeldähnliche Instrumente, einschliesslich von ihr ausgegebene Kassaobligationen, Festgelder und Treuhandanlagen und Treuhandanlagen anderer Banken sowie Lebensversicherungen mit Rückkaufswert;
b) von Zentralregierungen oder Zentralbanken ausgegebene Schuldverschreibungen, die mindestens ein Rating der Ratingklasse 5 nach Art. 36 in Verbindung mit Art. 60 erhalten haben;
c) von Banken ausgegebene Schuldverschreibungen, die mindestens ein Rating der Ratingklasse 4 nach Art. 36 in Verbindung mit Art. 63 erhalten haben;
d) Schuldverschreibungen anderer Emittenten, die mindestens ein Rating der Ratingklasse 4 nach Art. 36 in Verbindung mit Art. 64 erhalten haben;
e) Schuldverschreibungen, die ein Kurzfrist-Rating der Ratingklasse 5 nach Art. 36 in Verbindung mit Art. 71 erhalten haben;
f) in einem Hauptindex vertretene Aktien oder Wandelschuldverschreibungen;
g) Gold.
2) Die unter Abs. 1 Bst. b genannten "Schuldverschreibungen von Zentralregierungen oder Zentralbanken" umfassen:
a) Schuldverschreibungen von Gebietskörperschaften, deren Schuldtitel im Rahmen der Vorschriften über den Standardansatz wie Forderungen gegenüber der Zentralregierung, dem sie zuzuordnen sind, behandelt werden;
b) Schuldverschreibung öffentlicher Stellen, die nach Art. 61 Abs. 5 als Forderungen gegenüber Zentralregierungen betrachtet werden;
c) Schuldverschreibungen multilateraler Entwicklungsbanken, für die nach dem Standardansatz ein Risikogewicht von 0 % angesetzt wird;
d) Schuldverschreibungen internationaler Organisationen, für die nach dem Standardansatz ein Risikogewicht von 0 % angesetzt wird.
3) Die unter Abs. 1 Bst. c genannten "Schuldverschreibungen von Banken" umfassen:
a) Schuldverschreibungen von Gebietskörperschaften, die nach dem Standardansatz nicht wie Forderungen gegenüber der Zentralregierung, der sie zuzuordnen sind, behandelt werden;
b) Schuldverschreibungen von Verwaltungseinrichtungen, deren Schuldtitel im Rahmen der Vorschriften über den Standardansatz wie Forderungen gegenüber Banken behandelt werden;
c) Schuldverschreibungen multilateraler Entwicklungsbanken, die nicht im Standardansatz mit einem Risikogewicht von 0 % angesetzt werden.
4) Von Banken und Wertpapierfirmen ausgegebene Schuldverschreibungen, für die kein Rating einer anerkannten Ratingagentur vorliegt, können als Sicherheit anerkannt werden, wenn:
a) sie an einer anerkannten Börse kotiert sind bzw. gehandelt werden;
b) sie vorrangig zu bedienen sind;
c) alle gleichrangigen, gerateten Titel der Bank oder der Wertpapierfirma mindestens ein Rating der Ratingklasse 4 nach Abschnitt 1 Teil 4 in Verbindung mit Art. 63 erhalten haben;
d) der kreditgebenden Bank keine Hinweise darauf vorliegen, dass für den Titel ein schlechteres Rating als das unter Bst. c genannte gerechtfertigt wäre;
e) die Bank nachweisen kann, dass die Liquidität des Instruments für die gewünschten Zwecke ausreicht.
5) Anteile an Wertpapierfonds können als Sicherheit anerkannt werden, wenn:
a) ihr Kurs täglich festgestellt und veröffentlicht wird;
b) der Wertpapierfonds nur in Titel investieren darf, die nach Ziff. 3.2 Abs. 1 bis 4 anerkannt werden.
Wenn ein Wertpapierfonds zulässige Anlagen durch Derivate absichert (oder absichern kann), steht dies der Anerkennungsfähigkeit der Wertpapierfonds-Anteile nicht im Wege.
6) Liegen für ein Wertpapier zwei Ratings anerkannter Ratingagenturen vor, so gilt in Bezug auf Abs. 1 Bst. b bis e das Schlechtere von beiden. Liegen für ein Wertpapier mehr als zwei Ratings anerkannter Ratingagenturen vor, so gelten die beiden Besten. Wenn diese voneinander abweichen, gilt das Schlechtere von beiden.
3.3 Zusätzliche Anerkennungsfähigkeit bei der umfassenden Methode
1) Wendet eine Bank die umfassende Methode zur Berücksichtigung finanzieller Sicherheiten nach Teil 3 dieses Abschnitts an, so können zusätzlich zu den in Ziff. 3.2 genannten Sicherheiten die folgenden Finanzwerte als Sicherheit anerkannt werden:
a) Aktien oder Wandelschuldverschreibungen, die nicht in einem Hauptindex vertreten sind, aber an einer anerkannten Börse gehandelt werden;
b) Anteile an Wertpapierfonds, wenn:
1. ihr Kurs täglich festgestellt und veröffentlicht wird; und
2. der Wertpapierfonds nur in Titel, die nach Ziff. 3.2 Abs. 1 bis 4 anerkannt werden können, sowie in die in Bst. a genannten Werte investieren darf.
2) Wenn ein Wertpapierfonds zulässige Anlagen durch Derivate absichert (oder absichern kann), steht dies der Anerkennungsfähigkeit der Wertpapierfonds-Anteile nicht im Wege.
3.4 Zusätzliche Anerkennungsfähigkeit für die Berechnung nach dem IRB-Ansatz
1) Ermittelt eine Bank die risikogewichteten Forderungsbeträge und die erwarteten Verlustbeträge nach dem IRB-Ansatz, so gelten zusätzlich zu den vorstehend genannten Sicherheiten die Bestimmungen von Abs. 2 bis 7.
2) Wohnimmobilien, die vom Eigentümer bzw. im Falle einer Zweckgesellschaft vom begünstigten Eigentümer selbst genutzt oder vermietet werden bzw. werden sollen, sowie gewerbliche Immobilien, d.h. Büro- und andere Geschäftsräume, können als Sicherheit anerkannt werden, wenn:
a) der Wert der Immobilie nicht wesentlich von der Bonität des Schuldners abhängt. Fälle, in denen rein makroökonomische Faktoren sowohl den Wert der Immobilie als auch die Fähigkeit des Kreditnehmers zur Vertragserfüllung beeinträchtigen, werden durch diese Bestimmung nicht ausgeschlossen;
b) das Risiko des Kreditnehmers nicht wesentlich von der Wertentwicklung der Immobilie/des Vorhabens, sondern eher von seiner Fähigkeit, seine Schulden aus anderen Quellen zurückzuzahlen, abhängt. Ob mit der als Sicherheit gestellten Immobilie Cash-Flow erwirtschaftet wird, ist damit für die Rückzahlung nicht wesentlich.
3) Von der Erfüllung der Voraussetzungen nach Abs. 2 Bst. b kann bei in Liechtenstein liegenden Wohnliegenschaften abgesehen werden.
4) Von der Erfüllung der Voraussetzungen nach Abs. 2 Bst. b kann bei in Liechtenstein liegenden gewerblichen Liegenschaften abgesehen werden, wenn die Verlustraten bei Krediten, die durch gewerbliche Immobilien besichert sind, die folgenden Grenzen nicht übersteigen:
a) die Verluste bei Krediten, die durch gewerblichen Immobilienbesitz besichert werden, die auf 50 % des Verkehrswertes (oder gegebenenfalls 60 % des Belehnungswertes, wenn dieser niedriger ist) entfallen, dürfen in keinem Jahr über 0.3 % der ausstehenden, durch gewerbliche Immobilien besicherten Kredite hinaus gehen;
b) die Gesamtverluste bei Krediten, die durch gewerblichen Immobilienbesitz besichert sind, dürfen in keinem Jahr 0.5 % der ausstehenden Kredite, die durch gewerblichen Immobilienbesitz besichert sind, übersteigen.
Wird eine dieser Bedingungen in einem Jahr nicht erfüllt, so ist diese Behandlung so lange auszusetzen, bis die Bedingungen in einem der Folgejahre wieder erfüllt sind.
5) Die FMA kann Forderungen, die mit einer kommerziellen Transaktion oder mit Transaktionen mit einer ursprünglichen Laufzeit kleiner oder gleich einem Jahr zusammenhängen, als Sicherheit anerkennen. Nicht anerkennungsfähig sind Forderungen, die mit Verbriefungen, Unterbeteiligungen oder Kreditderivaten zusammenhängen, oder Beträge, die von verbundenen Unternehmen geschuldet werden.
6) Die FMA kann ausser den in Abs. 2 genannten Sachsicherheiten Gegenstände als Sicherheit anerkennen, wenn sie sich davon überzeugt hat, dass:
a) für eine rasche und wirtschaftliche Verwertung der Sicherheit liquide Märkte existieren; und
b) allgemein anerkannte Marktpreise für die Sicherheit existieren und diese öffentlich zugänglich sind. Die Bank muss nachweisen können, dass nichts darauf hindeutet, dass die bei der Verwertung der Sicherheit erzielten Nettopreise wesentlich von diesen Marktpreisen abweichen werden.
7) Forderungen aus Leasinggeschäften, bei denen eine Bank der Leasinggeber und ein Dritter der Leasingnehmer ist, werden - sofern die in Teil 2 Ziff. 8 dieses Abschnitts genannten Voraussetzungen erfüllt sind - vorbehaltlich der Bestimmungen der Ziff. 6.2a Abs. 5 des Teils 3 dieses Abschnittes wie Kredite behandelt, die als Sicherheit die gleiche Art von Gegenstand haben wie das Leasingobjekt.
4. Sonstige Besicherung mit Sicherheitsleistung
1) Bareinlagen bei einer Drittbank oder von dieser verwahrte bargeldähnliche Instrumente können als Sicherheit anerkannt werden, wenn sie nicht im Rahmen eines Depotvertrages verwahrt werden und sie an die kreditgebende Bank verpfändet wurden.
2) An die kreditgebende Bank verpfändete Lebensversicherungen können als Sicherheit anerkannt werden.
3) Von Drittbanken ausgegebene Titel, die die betreffende Bank auf Anforderung zurückkaufen muss, können als Sicherheit anerkannt werden.
III. Absicherung ohne Sicherheitsleistung
5. Anerkennungsfähigkeit von Sicherungsgebern
5.1 Ansatzunabhängige Anerkennungsfähigkeit von Sicherungsgebern
1) Als Steller einer Kreditabsicherung ohne Sicherheitsleistung anerkannt werden können:
a) Zentralregierungen und Zentralbanken;
b) Gebietskörperschaften;
c) multilaterale Entwicklungsbanken;
d) internationale Organisationen, wenn die gegen sie gerichteten Forderungen bei Anwendung des Standardansatzes ein Risikogewicht von 0 % erhalten;
e) Verwaltungseinrichtungen;
f) Banken und Wertpapierfirmen;
g) andere Unternehmen, einschliesslich Mutter-, Tochter- und verbundene Unternehmen der Bank, die:
1. von einer anerkannten Ratingagentur mindestens ein Rating der Ratingklasse 3 nach Art. 36 in Verbindung mit Art. 64 erhalten haben;
2. wenn es sich um Banken handelt, die die risikogewichteten Forderungsbeträge und erwarteten Verlustbeträge nach dem IRB-Ansatz ermitteln - nicht über ein Rating einer anerkannten Ratingagentur verfügen und laut internem Rating mit einer Ausfallwahrscheinlichkeit angesetzt werden, die der Ausfallwahrscheinlichkeit entspricht, die mit einem Unternehmensrating einer anerkannten Ratingagentur verbunden wird, das mindestens der Ratingklasse 3 nach Art. 36 in Verbindung mit Art. 64 entspricht.
2) In Fällen, in denen risikogewichtete Forderungsbeträge und erwartete Verlustbeträge nach IRB-Ansatz berechnet werden, kann ein Garantiegeber nur anerkannt werden, wenn für ihn ein nach Abschnitt 2 Teil 4 erstelltes internes Rating der Bank vorliegt.
3) Abweichend von Abs. 1 kann die FMA weitere Finanzintermediäre als Steller von Sicherheiten ohne Sicherheitsleistung anerkennen, wenn diese von der FMA zugelassen wurden und beaufsichtigt werden und ähnlichen aufsichtsrechtlichen Auflagen unterliegen wie Banken.
5.2 Anerkennungsfähigkeit von Sicherungsgebern beim IRB-Ansatz
1) Banken, Wertpapierfirmen, Versicherungs- und Rückversicherungsgesellschaften sowie Exportkreditagenturen können als anerkannte Steller einer Absicherung ohne Sicherheitsleistung, für die die in Abschnitt 2 Teil 1 Ziff. 2 Abs. 7 dieses Anhangs dargelegte Behandlung im Rahmen des IRB-Ansatzes in Frage kommt, anerkannt werden, wenn:
a) der Sicherungsgeber über ausreichende Sachkenntnis im Stellen von Absicherungen ohne Sicherheitsleistung verfügt;
b) der Sicherungsgeber einem dieser Verordnung gleichwertigen Regelwerk unterliegt oder zum Zeitpunkt der Stellung der Sicherheitsleistung von einer anerkannten Ratingagentur ein Rating erhalten hat, das bei Anwendung des Standardansatzes der Ratingklasse 4 für Forderungen gegenüber Unternehmen entspricht;
c) der Sicherungsgeber zum Zeitpunkt der Stellung der Sicherheitsleistung oder jederzeit danach ein internes Rating mit einer PD erhalten hat, das bei Anwendung des Standardansatzes der Ratingklasse 3 für Forderungen gegenüber Unternehmen entspricht;
d) der Sicherheitsgeber ein internes Rating mit einer PD erhalten hat, das bei Anwendung des Standardansatzes der Ratingklasse 4 für Forderungen gegenüber Unternehmen entspricht.
2) Für die Zwecke von Abs. 1 darf eine von Exportkreditagenturen gestellte Sicherung nicht in den Genuss einer ausdrücklichen Rückdeckung durch die Zentralregierung gelangen.
IV. Arten von Kreditderivaten
6. Anerkannte Sicherheiten
1) Als Sicherheit anerkannt werden können die folgenden Arten von Kreditderivaten sowie Instrumente, die sich aus solchen Kreditderivaten zusammensetzen oder wirtschaftlich die gleiche Wirkung haben:
a) Credit Default Swaps;
b) Total Return Swaps;
c) Credit Linked Notes, soweit diese mit Barmitteln unterlegt sind.
2) Wenn eine Bank durch einen Total Return Swap eine Kreditabsicherung erwirbt und die Nettozahlungen aus dem Swap als Nettoertrag verbucht, den den Zahlungen gegenüberstehenden Wertverlust der abgesicherten Forderung aber nicht abbildet (was entweder durch eine Herabsetzung des Fair Value oder durch eine Erhöhung der Risikovorsorge möglich wäre), kann dies nicht anerkannt werden.
3) Tätigt eine Bank mit Hilfe eines Kreditderivats ein internes Sicherungsgeschäft (d.h. sichert es das Kreditrisiko einer Forderung des Bankenbuchs mit einem im Handelsbuch verbuchten Kreditderivat ab), so muss es, um eine Anerkennung der Besicherung für die Zwecke dieses Abschnittes zu erreichen, das auf das Handelsbuch übertragene Kreditrisiko auf einen oder mehrere Dritte übertragen. Sofern eine solche Übertragung die in diesem Abschnitt für die Anerkennung der Kreditrisikominderung festgelegten Bedingungen erfüllt, gelten in einem solchen Fall die in den Teilen 3 bis 6 enthaltenen Bestimmungen über die Berechnung risikogewichteter Forderungsbeträge und erwarteter Verlustbeträge bei Besicherung ohne Sicherheitsleistung.
Teil 2: Mindestanforderungen
I. Im Allgemeinen
1. Allgemeine Grundsätze
1) Die Bank muss über ein angemessenes Risikomanagement verfügen, mit dem sie die Risiken, die ihr aus dem Einsatz von Kreditrisikominderungstechniken erwachsen können, steuern kann.
2) Unabhängig davon, ob kreditrisikomindernde Massnahmen zur Anwendung kommen und bei der Berechnung von risikogewichteten Forderungsbeträgen und gegebenenfalls erwarteten Verlustbeträgen berücksichtigt werden, müssen die Banken das Kreditrisiko der zugrunde liegenden Forderung auch weiterhin umfassend bewerten und die Einhaltung dieser Auflage der FMA gegenüber nachweisen. Bei Pensions- und/oder Wertpapier- oder Warenleihgeschäften gilt nur für die Zwecke dieses Absatzes als zugrunde liegende Forderung der Nettobetrag der Forderung.
II. Besicherung mit Sicherheitsleistung
2. Netting von Bilanzpositionen (ausser Netting-Rahmenvereinbarungen, die Pensionsgeschäfte, Wertpapier- oder Warenleihgeschäfte und/oder andere Kapitalmarkttransaktionen betreffen)
Bei Vereinbarungen über das Netting von Bilanzpositionen (ausser Netting-Rahmenvereinbarungen für Pensionsgeschäfte, Wertpapier- oder Warenleihgeschäfte und/oder andere Kapitalmarkttransaktionen) müssen für eine Anerkennung für die Zwecke der Art. 55 bis 57 folgende Bedingungen erfüllt sein:
a) sie müssen selbst bei Insolvenz oder Konkurs der Gegenpartei in allen relevanten Rechtsordnungen rechtswirksam und rechtlich durchsetzbar sein;
b) die Bank muss jederzeit zur Bestimmung der unter die Netting-Vereinbarung fallenden Forderungen und Verbindlichkeiten in der Lage sein;
c) die Bank muss die mit der Beendigung der Besicherung verbundenen Risiken überwachen und steuern;
d) die Bank muss die betreffenden Forderungen auf Nettobasis überwachen und steuern.
3. Netting-Rahmenvereinbarungen, die Pensionsgeschäfte, Wertpapier- oder Warenleihgeschäfte und/oder andere Kapitalmarkttransaktionen betreffen
1) Netting-Rahmenvereinbarungen, die Pensionsgeschäfte und/oder Wertpapier- oder Warenleihgeschäfte und/oder andere Kapitalmarkttransaktionen betreffen, müssen für eine Anerkennung für die Zwecke der Art. 55 bis 57:
a) selbst bei Insolvenz oder Konkurs der Gegenpartei in allen relevanten Rechtsordnungen rechtswirksam und rechtlich durchsetzbar sein;
b) der nicht ausfallenden Partei das Recht geben, bei einem Ausfall, einschliesslich Konkurs oder Insolvenz der Gegenpartei, alle unter die Vereinbarung fallenden Geschäfte zeitnah zu beenden oder zu verrechnen;
c) ein Netting der Gewinne und Verluste aus den unter der Rahmenvereinbarung verrechneten Transaktionen ermöglichen, so dass eine Partei der anderen einen einzigen Betrag schuldet.
2) Zusätzlich dazu müssen die unter Nummer 6 genannten, für die umfassende Methode zur Anerkennung finanzieller Sicherheiten geltenden Mindestanforderungen erfüllt sein.
4. Finanzielle Sicherheiten
4.1 Mindestanforderungen für die Anerkennung finanzieller Sicherheiten unabhängig von Ansatz und Methode
1) Finanzielle Sicherheiten und Gold können nur unter folgenden Voraussetzungen anerkannt werden:
a) zwischen der Bonität des Schuldners und dem Wert der Sicherheit darf keine wesentliche positive Korrelation bestehen (geringe Korrelation); vom Schuldner oder einem verbundenen Unternehmen emittierte Wertpapiere sind nicht anerkennungsfähig; dessen ungeachtet können die vom Schuldner selbst emittierten gedeckten Schuldverschreibungen im Sinne von Art. 70 als Sicherheit für Pensionsgeschäfte anerkannt werden, sofern keine wesentliche positive Korrelation zwischen der Bonität des Schuldners und dem Wert der Sicherheit besteht;
b) die Banken müssen alle vertraglichen und rechtlichen Anforderungen an die Durchsetzbarkeit ihres Sicherungsrechts in ihrem Rechtssystem erfüllen und alle zu diesem Zweck notwendigen Schritte einleiten; die Banken müssen sich durch ausreichende rechtliche Prüfungen von der Durchsetzbarkeit der Sicherheitenvereinbarung in allen relevanten Rechtsordnungen überzeugt haben. Um eine kontinuierliche Durchsetzbarkeit zu gewährleisten, müssen sie diese Prüfungen bei Bedarf wiederholen (Rechtssicherheit);
c) operationelle Anforderungen nach Abs. 2.
2) Zu den operationellen Anforderungen gehören:
a) die Sicherheitenvereinbarungen müssen angemessen dokumentiert sein und ein klares und solides Verfahren für die zeitnahe Verwertung der Sicherheiten vorsehen;
b) die Banken müssen zur Steuerung der Risiken, die aus dem Einsatz von Sicherheiten resultieren, auf solide Verfahren und Prozesse zurückgreifen - zu diesen Risiken zählen eine ausbleibende oder unzureichende Besicherung; Bewertungsrisiken; das Risiko einer möglichen Aufkündigung der Besicherung; das mit dem Einsatz von Sicherheiten verbundene Konzentrationsrisiko und Wechselwirkungen mit dem Gesamtrisikoprofil der Bank;
c) die Bank sollte in der Frage, welche Arten von Sicherheiten akzeptiert werden und bis zu welchem Betrag diese gehen können, über dokumentierte Vorschriften und Verfahren verfügen;
d) die Banken müssen den Marktwert der Sicherheiten berechnen und regelmässig neu bewerten. Eine solche Neubewertung muss mindestens alle sechs Monate sowie immer dann stattfinden, wenn die Bank Grund zu der Annahme hat, dass der Marktwert erheblich gesunken ist. Von der Ermittlung der Marktwerte ausgenommen werden können, Bareinlagen, Treuhandanlagen und Kassenobligationen;
e) wird die Sicherheit von einem Dritten verwahrt, so müssen die Banken angemessene Massnahmen ergreifen, um zu gewährleisten, dass dieser Dritte die Sicherheit von seinem eigenen Vermögen trennt.
4.2 Zusätzliche Mindestanforderungen für die Anerkennung finanzieller Sicherheiten bei der einfachen Methode
Zusätzlich zu den in Ziff. 4.1 genannten Anforderungen muss für eine Anerkennung finanzieller Sicherheiten im Rahmen der einfachen Methode die Restlaufzeit der Besicherung zumindest so lang sein wie die Restlaufzeit der Forderung.
5. Mindestanforderungen für die Anerkennung von Immobiliensicherheiten
1) Immobiliensicherheiten können nur unter folgenden, in Abs. 2 bis 5 näher umschriebenen Voraussetzungen anerkannt werden:
a) Rechtssicherheit;
b) Überprüfung des Immobilienwerts;
c) Dokumentation;
d) Versicherungsschutz.
2) Die Hypothek oder das Sicherungspfandrecht müssen in allen zum Zeitpunkt des Abschlusses des Kreditvertrages relevanten Rechtsordnungen rechtlich durchsetzbar sein und ordnungsgemäss und rechtzeitig registriert werden. Das in den Vereinbarungen festgelegte Pfandrecht muss wirksam sein (d.h. alle rechtlichen Anforderungen zum Nachweis des Pfands müssen erfüllt sein). Die Sicherheitenvereinbarung und das ihr zugrunde liegende rechtliche Verfahren müssen die Bank in die Lage versetzen, die Sicherheit innerhalb eines angemessenen Zeitraums zu verwerten.
3) Der Wert der Immobilie muss häufig, mindestens jedoch einmal jährlich bei gewerblich genutzten Immobilien und alle drei Jahre bei Wohnliegenschaften überprüft werden. Sind die Märkte starken Schwankungen ausgesetzt, so muss diese Überprüfung häufiger stattfinden. Zur Überprüfung des Wertes einer Immobilie und zur Ermittlung von Immobilien, die einer Neubewertung bedürfen, können statistische Verfahren verwendet werden. Gibt es Hinweise darauf, dass die Immobilie im Verhältnis zu den allgemeinen Marktpreisen erheblich an Wert verloren haben könnte, so ist die Bewertung von einem unabhängigen Sachverständigen zu überprüfen. Bei Krediten, die über 4.5 Mio. CHF oder 5 % der anrechenbaren Eigenmittel der Bank hinausgehen, ist die Liegenschaftenbewertung mindestens alle drei Jahre von einem unabhängigen Sachverständigen zu überprüfen. Dabei bezeichnet "Unabhängiger Sachverständiger" eine Person, die über die zur Durchführung einer solchen Bewertung erforderlichen Qualifikationen, Fähigkeiten und Erfahrungen verfügt und von der Kreditvergabeentscheidung unabhängig ist.
4) Welche Arten von Wohn- und Gewerbeimmobilien die Bank als Sicherheiten akzeptiert, muss samt ihrer diesbezüglichen Grundsätze für die Kreditvergabe klar dokumentiert sein.
5) Die Bank muss über Verfahren verfügen, mit denen sie überwachen kann, ob die als Sicherheit akzeptierte Immobilie angemessen gegen Schäden versichert ist.
6. Mindestanforderungen für die Anerkennung von Forderungen
1) Forderungen können nur unter folgenden Voraussetzungen als Sicherheit anerkannt werden:
a) Rechtssicherheit;
b) adäquates Risikomanagement.
2) In Bezug auf die Rechtssicherheit ist sicherzustellen:
a) die rechtliche Vereinbarung über die Bereitstellung der Sicherheit muss hieb- und stichfest und wirksam sein und den Anspruch des Kreditgebers auf die Erlöse gewährleisten;
b) die Banken müssen alle notwendigen Schritte einleiten, um die ortsüblichen Anforderungen an die Durchsetzbarkeit der Sicherungsrechte zu erfüllen. Es müssen Rahmenbedingungen bestehen, die dem Kreditgeber einen erstrangigen Anspruch auf die Sicherheit einräumen; zulässig ist jedoch, dass derartige Forderungen den in Rechts- oder Durchführungsbestimmungen festgelegten Forderungen bevorrechtigter Gläubiger nachgeordnet sind;
c) die Banken müssen sich durch ausreichende rechtliche Prüfungen von der Durchsetzbarkeit der Sicherheitenvereinbarung in allen relevanten Rechtsordnungen überzeugt haben;
d) die Sicherheitenvereinbarungen müssen angemessen dokumentiert sein und ein klares solides Verfahren für die zeitnahe Verwertung der Sicherheit vorsehen. Die Verfahren der Banken müssen gewährleisten, dass alle zur Feststellung der Zahlungsunfähigkeit des Kreditnehmers und zur zeitnahen Verwertung der Sicherheit notwendigen rechtlichen Voraussetzungen erfüllt sind. Bei Zahlungsschwierigkeiten oder Ausfall des Kreditnehmers sollte die Bank das Recht haben, die Forderungen ohne Zustimmung des Forderungsschuldners zu verkaufen oder auf andere Parteien zu übertragen.
3) In Bezug auf das Risikomanagement ist sicherzustellen:
a) die Bank muss über ein zuverlässiges Verfahren zur Bestimmung des Kreditrisikos der Forderungen verfügen. Bei einem solchen Verfahren müssen unter anderem das Unternehmen und die Branche sowie die Arten von Kunden des Kreditnehmers analysiert werden. Verlässt sich die Bank bei der Bestimmung des Kreditrisikos dieser Kunden auf die Angaben des Kreditnehmers, so muss sie dessen Kreditvergabepraxis auf ihre Solidität und Glaubwürdigkeit hin überprüfen;
b) die Marge zwischen der Höhe der eigenen Forderung und dem Wert der verpfändeten Forderungen muss allen wesentlichen Faktoren Rechnung tragen, einschliesslich der Inkassokosten, der Konzentration innerhalb der einzelnen verpfändeten Forderungspools und möglicher Konzentrationsrisiken im Gesamtkreditbestand der Bank, die nicht vom generellen Risikomanagement der Bank erfasst werden. Die Bank muss eine den Forderungen angemessene fortlaufende Überwachung sicherstellen. Auch ist regelmässig zu überprüfen, ob Kreditauflagen, Umweltauflagen und andere rechtliche Anforderungen erfüllt sind;
c) die von einem Kreditnehmer verpfändeten Forderungen sollten diversifiziert und nicht übermässig mit dem Kreditnehmer korreliert sein. Wenn eine hohe Korrelation besteht, sollten die damit verbundenen Risiken bei der Festlegung von Sicherheitsabschlägen für den Forderungspool als Ganzes berücksichtigt werden;
d) Forderungen von mit dem Kreditnehmer verbundenen Adressen (einschliesslich Tochtergesellschaften und Angestellten) werden nicht als risikomindernd anerkannt;
e) die Bank muss über ein dokumentiertes Verfahren für das Forderungsinkasso bei Zahlungsschwierigkeiten verfügen. Die hierfür erforderlichen Einrichtungen müssen vorhanden sein, auch wenn normalerweise der Kreditnehmer für das Inkasso zuständig ist.
7. Mindestanforderungen für die Anerkennung sonstiger Sachsicherheiten
Sonstige Sachsicherheiten können nur unter folgenden Voraussetzungen anerkannt werden:
a) die Sicherungsvereinbarung muss in allen relevanten Rechtsordnungen rechtswirksam und rechtlich durchsetzbar sein und die Bank in die Lage versetzen, die Sicherheit innerhalb eines angemessenen Zeitraums zu verwerten;
b) zulässig sind nur erstrangige Pfandrechte oder Ansprüche auf Sicherheiten; die einzige Ausnahme stellen die aufgrund von Ziff. 6. Abs. 2 Bst. b zulässigen bevorrechteten Ansprüche dar. Die Bank muss folglich bei den realisierten Erlösen aus der Sicherheit Vorrang vor allen anderen Gläubigern haben;
c) der Wert der Sicherheit muss häufig, mindestens jedoch einmal jährlichüberprüft werden. Sind die Märkte starken Schwankungen ausgesetzt, so muss eine solche Überprüfung häufiger stattfinden;
d) der Kreditvertrag muss eine detaillierte Beschreibung der Sicherheiten und umfassende Angaben zu Art und Häufigkeit der Neubewertung enthalten;
e) die von der Bank akzeptierten Arten von Sachsicherheiten und die Grundsätze und Verfahrensweisen, die sie bei der Bestimmung der für den Kreditbetrag angemessenen Höhe der verschiedenen Sicherheitsarten anwendet, müssen eindeutig aus den internen Kreditvergabevorschriften und -verfahren hervorgehen und für eine Überprüfung zur Verfügung stehen;
f) in Bezug auf die Transaktionsstruktur müssen die Kreditvergabegrundsätze der Bank im Verhältnis zur Höhe des Kredits angemessene Anforderungen an die Sicherheiten enthalten, die die Möglichkeit einer raschen Verwertung der Sicherheit, die Fähigkeit der objektiven Feststellung eines Preises oder Marktwertes, die Häufigkeit, mit der dieser Preis problemlos erzielt werden kann (einschliesslich einer Schätzung oder Bewertung durch einen Spezialisten), und die Volatilität oder eine repräsentative Variable der Volatilität des Wertes der Sicherheit betreffen;
g) Erst- wie Neubewertung müssen jeder Wertminderung oder Veralterung der Sicherheiten in vollem Umfang Rechnung tragen. Bei mode- oder terminabhängigen Sicherheiten muss bei der Bewertung besonderes Augenmerk auf den Faktor Zeit gerichtet werden;
h) die Bank muss das Recht haben, den Sicherungsgegenstand materiell zu prüfen. Für die Wahrnehmung ihres Rechts auf materielle Prüfung muss sie über Vorschriften und Verfahren verfügen;
i) die Bank muss ferner über Verfahren verfügen, mit denen es überwachen kann, ob der als Sicherheit akzeptierte Gegenstand angemessen gegen Schäden versichert ist.
8. Mindestanforderungen, die erfüllt sein müssen, um Leasingforderungen als besichert ansehen zu können
Forderungen aus Leasinggeschäften können nur als durch das Leasingobjekt besichert angesehen werden, wenn:
a) die in Ziff. 5 oder Ziff. 7 genannten Bedingungen erfüllt sind, soweit dies für die Anerkennung der Art des Leasingobjekts als Sicherheit zweckmässig ist;
b) der Leasinggeber hinsichtlich des Verwendungszweckes des geleasten Vermögenswertes, seines Alters und seiner geplanten Nutzungsdauer über ein solides Risikomanagement verfügt, einschliesslich einer angemessenen Überwachung des Wertes der Sicherheit;
c) ein solider rechtlicher Rahmen existiert, der das rechtliche Eigentum des Leasinggebers am Leasingobjekt und seine Fähigkeit, die Eigentumsrechte zeitnah auszuüben, sicherstellt; und
d) soweit nicht bereits bei der Berechnung der LGD-Höhe ermittelt, die Differenz zwischen dem Wert des ungetilgten Betrages und dem Marktwert der Sicherheit den kreditrisikomindernden Effekt des Leasingobjekts nicht übersteigt.
9. Mindestanforderungen für die Anerkennung anderer Arten der Besicherung mit Sicherheitsleistung
9.1 Bareinlagen bei einer Drittbank oder von dieser verwahrte bargeldähnliche Instrumente
Um für die in Ziff. 8 Abs. 1 des Teils 3 dieses Abschnitts beschriebene Behandlung in Frage zu kommen, müssen die in Teil 1 Ziff. 4 Abs. 1 genannten Sicherheiten die folgenden Voraussetzungen erfüllen:
a) die Forderung des Kreditnehmers gegenüber der Drittbank wurde offen an die kreditgebende Bank verpfändet oder abgetreten und diese Verpfändung oder Abtretung ist in allen relevanten Rechtsordnungen rechtswirksam und rechtlich durchsetzbar;
b) der Drittbank wurde die Verpfändung bzw. Abtretung mitgeteilt;
c) die Drittbank darf aufgrund dieser Mitteilung Zahlungen nur an die kreditgebende Bank oder Zahlungen an andere Parteien nur mit Zustimmung der kreditgebenden Bank vornehmen;
d) die Verpfändung oder Abtretung ist uneingeschränkt und unwiderruflich.
9.2 An die kreditgebende Bank verpfändete Lebensversicherungen
An die kreditgebende Bank verpfändete Lebensversicherungen können nur unter folgenden Voraussetzungen als Sicherheit anerkannt werden:
a) der betreffende Lebensversicherer kann nach Teil 1 Nummer 26 als Steller einer Absicherung ohne Sicherheitsleistung anerkannt werden;
b) die Lebensversicherung wurde offen an die kreditgebende Bank verpfändet oder abgetreten;
c) der betreffende Lebensversicherer wurde über die Verpfändung bzw. Abtretung in Kenntnis gesetzt und kann aufgrund dessen nur mit Zustimmung der kreditgebenden Bank im Rahmen des Vertrags fällige Beträge auszahlen;
d) der Rückkaufswert der Versicherung ist nicht reduzierbar;
e) die kreditgebende Bank hat bei Ausfall des Kreditnehmers das Recht auf Kündigung des Vertrags und zeitnahe Auszahlung des Rückkaufswerts;
f) die kreditgebende Bank wird über jeden Zahlungsrückstand des Versicherungsnehmers informiert;
g) die Sicherheit wird für die Laufzeit des Kredits gestellt; soweit dies nicht möglich ist, weil das Versicherungsverhältnis bereits vor Ablauf des Kreditverhältnisses endet, so muss die Bank sicherstellen, dass ihr der aus dem Versicherungsvertrag fliessende Betrag bis zum Ende der Laufzeit des Kreditvertrages als Sicherheit dient;
h) das Pfand oder die Abtretung ist in allen zum Zeitpunkt des Abschlusses des Kreditvertrages relevanten Rechtsordnungen rechtswirksam und rechtlich durchsetzbar.
III. Absicherung ohne Sicherheitsleistung und "Credit Linked Notes"
10. Gemeinsame Anforderungen für Garantien, Kreditderivate und Solidarbürgschaften
1) Die Bank muss die mit Garantien, Kreditderivaten und Solidarbürgschaften verbundenen Risiken erkennen und verstehen. Die Systeme für die Messung, Bewirtschaftung und Überwachung von Risiken müssen Garantien, Kreditderivate und Solidarbürgschaften angemessen erfassen. Die "Richtlinien für das Risikomanagement im Handel und bei der Verwendung von Derivaten" nach Anhang 4.2 der Bankenverordnung stellen bei der Verwendung von Kreditderivaten Mindestanforderungen dar.
2) Mittels Garantien, Kreditderivaten und Solidarbürgschaften kann eine Bank als Sicherungsnehmerin ihr Kreditrisiko gegenüber einer oder mehreren Gegenparteien reduzieren. Damit jedoch die Absicherungswirkung einer Garantie, eines Kreditderivats oder einer Solidarbürgschaft bei der Bestimmung der erforderlichen Eigenmittel anerkannt werden kann, müssen die Kreditrisiken effektiv auf den Sicherungsgeber übertragen und die nachfolgenden Mindestanforderungen, vorbehaltlich von Ziff. 11, erfüllt sein, wobei die Absicherungswirkung in jedem Fall höchstens im Umfang des maximalen Auszahlungsbetrags anerkannt wird:
a) die Absicherung ist unmittelbar, d.h. aufgrund der Garantie, des Kreditderivats oder der Solidarbürgschaft besteht eine unmittelbare Forderung gegenüber dem Sicherungsgeber;
b) der Absicherungsumfang ist klar definiert und unstrittig;
c) der Absicherungsvertrag, der schriftlich und unwiderruflich sein muss, enthält keine Klausel, deren Einhaltung sich dem direkten Einfluss des Kreditgebers entzieht, und die:
1. dem Sicherungsgeber die einseitige Kündigung der Kreditabsicherung ermöglichen würde;
2. bei einer Verschlechterung der Kreditqualität der abgesicherten Forderung die tatsächlichen Kosten der Absicherung in die Höhe treiben würde;
3. den Sicherungsgeber für den Fall, dass der ursprüngliche Schuldner seinen Zahlungsverpflichtungen nicht nachkommt, davor schützen könnte, zeitnah zahlen zu müssen; oder
4. es dem Sicherungsgeber ermöglichen könnte, die Laufzeit der Absicherung zu verkürzen.
d) die Absicherung ist in allen zum Zeitpunkt des Abschlusses des Kreditvertrages relevanten Rechtsordnungen rechtswirksam und rechtlich durchsetzbar.
3) Die Bank muss der FMA gegenüber nachweisen, dass sie über Systeme verfügt, mit denen etwaige, durch den Einsatz von Garantien, Kreditderivaten oder Solidarbürgschaften bedingte Risikokonzentrationen gesteuert werden können. Die Bank muss ebenfalls zeigen können, wie die von ihr beim Einsatz von Kreditderivaten, Garantien und Solidarbürgschaften verfolgte Strategie und ihr Management des Gesamtrisikoprofils zusammenwirken.
11. Rückbürgschaften von Staaten und anderen öffentlichen Stellen
1) Ist eine Forderung durch eine Garantie besichert, die ihrerseits durch eine Rückbürgschaft einer Zentralregierung oder einer Zentralbank, einer Gebietskörperschaft oder einer öffentlichen Einrichtung, deren Schuldtitel nach dem Standardansatz wie Forderungen gegenüber der Zentralregierung, dem sie zuzuordnen ist, behandelt werden, einer multilateralen Entwicklungsbank, die nach dem Standardansatz das Risikogewicht Null erhält, oder einer öffentlichen Stelle, deren Schuldtitel nach dem Standardansatz wie Forderungen gegenüber Banken behandelt werden, abgesichert ist, so kann sie unter nachstehend genannten Voraussetzungen behandelt werden, als wäre sie durch eine Garantie einer der genannten Stellen besichert:
a) die Rückbürgschaft deckt sämtliche Kreditrisiken der Forderung ab;
b) sowohl die unmittelbare Garantie als auch die Rückbürgschaft erfüllen die in Ziff. 10 und Ziff. 12 Abs. 1 genannten Anforderungen, mit der Ausnahme, dass die Rückbürgschaft nicht direkt sein muss;
c) die FMA ist von der Wirksamkeit der Absicherung überzeugt und in Anbetracht der bisherigen Erfahrungen deutet nichts darauf hin, dass die Rückbürgschaft weniger werthaltig ist als eine direkte Garantie der betreffenden Stelle.
2) Die Behandlung nach Abs. 1 erfolgt auch im Hinblick auf eine Forderung, für die eine Rückbürgschaft eines anderen als der dort aufgeführten Stellen vorliegt, wenn die Rückbürgschaft der Forderung ihrerseits unmittelbar durch eine der dort genannten Stellen gegeben ist und die in Abs. 1 genannten Bedingungen erfüllt sind.
12. Zusätzliche Anforderungen für Garantien und Solidarbürgschaften
1) Um als Sicherheit anerkannt zu werden, muss eine Garantie auch die folgenden Voraussetzungen erfüllen:
a) nach dem die Garantie auslösenden Ausfall und/oder Zahlungsversäumnis der Gegenpartei hat die kreditgebende Bank das Recht, den Garantiegeber zeitnah für alle Zahlungen in Anspruch zu nehmen, die im Rahmen der von ihm abgesicherten Forderung ausstehen. Die Zahlung des Garantiegebers darf nicht unter dem Vorbehalt stehen, dass die kreditgebende Bank den geschuldeten Betrag zunächst beim Schuldner einfordern muss. Im Falle nichtbegründeter Kreditsicherheiten zur Deckung von Hypothekarkrediten für Wohnliegenschaften müssen die Anforderungen nach Ziff. 10 Abs. 2 Bst. c Ziff. 3 und vorstehende Sätze lediglich innerhalb eines Gesamtzeitraums von 24 Monaten erfüllt werden;
b) die Garantie ist eine ausdrücklich dokumentierte, vom Garantiegeber eingegangene Verpflichtung;
c) vorbehaltlich des nachfolgenden Satzes umfasst die Garantie alle Arten von Zahlungen, die der Schuldner im Rahmen der Forderung zu leisten hat. Sind bestimmte Zahlungsarten von der Garantie ausgenommen, so ist der anerkannte Garantiebetrag entsprechend herabzusetzen.
2) Bei Garantien, die im Rahmen von für diesen Zweck von der FMA anerkannten Bürgschaftsprogrammen oder den unter Ziff. 11 genannten Stellen bereitgestellt werden, oder für die eine Rückbürgschaft Letzterer vorliegt, werden die in Abs. 1 Bst. a genannten Anforderungen unter einer der folgenden Bedingungen als erfüllt betrachtet werden:
a) die kreditgebende Bank hat das Recht, vom Garantiegeber zeitnah eine vorläufige Zahlung proportional zur Deckung durch die Garantie zu erwirken, deren Höhe durch eine solide Schätzung der wirtschaftlichen Verluste, die der kreditgebenden Bank entstehen dürften, ermittelt wird, wozu auch die Verluste zählen, die durch die Einstellung von Zins- und sonstigen Zahlungen, zu denen der Kreditnehmer verpflichtet ist, verursacht werden;
b) die Bank kann nachweisen, dass die Garantie vor Verlusten schützt, auch vor solchen, die durch die Einstellung von Zins- und sonstigen Zahlungen, zu denen der Kreditnehmer verpflichtet ist, verursacht werden, und dass dies eine solche Behandlung rechtfertigt.
3) Für Solidarbürgschaften gilt Abs. 1 und 2 sinngemäss.
13. Zusätzliche Anforderungen für Kreditderivate
1) Um als Sicherheit anerkannt zu werden, muss eine Kreditderivat auch die folgenden Voraussetzungen erfüllen:
a) vorbehaltlich Bst. b müssen zu den im Kreditderivatvertrag vereinbarten Kreditereignissen, die die Fälligkeit des Kreditderivats auslösen, mindestens die Folgenden gehören:
1. Verzug bei den vertraglich festgelegten fälligen Zahlungen, die sich aus den zum Zwecke der Bestimmung von Kreditereignissen spezifizierten Forderungen ergeben (höchstens mit einer Toleranzfrist, die mit der Toleranzfrist der im Vertrag spezifizierten Forderungen vergleichbar ist);
2. Konkurs, Zahlungsunfähigkeit oder Unfähigkeit des Schuldners, das schriftlich dokumentierte Eingeständnis, generell nicht mehr zur Begleichung fällig werdender Zahlungen in der Lage zu sein oder ähnliche Ereignisse;
3. Neustrukturierung der zugrunde liegenden Forderung, verbunden mit einem Erlass oder einer Stundung von Kapital, Zinsen oder Gebühren, die zu einem Verlust auf Seiten des Kreditgebers führt (d.h. einer Wertberichtigung oder ähnlichen Buchung in der Erfolgsrechnung);
b) sollten die im Vertrag vereinbarten Kreditereignisse keine Neustrukturierung der zugrunde liegenden Forderung im Sinne von Bst. a Ziff. 3 umfassen, kann die Besicherung vorbehaltlich einer Herabsetzung des anerkannten Werts nach Teil 3 Ziff. 9 Abs. 1 dieses Abschnitts dennoch anerkannt werden;
c) bei Kreditderivaten, die einen Barausgleich ermöglichen, muss ein solides Bewertungsverfahren für die Referenzforderung vorhanden sein, das eine zuverlässige Verlustschätzung ermöglicht. Für die Bewertung der zugrunde liegenden Forderung nach dem Kreditereignis muss es einen klar definierten Zeitraum geben;
d) setzt die Erfüllung das Recht und die Fähigkeit des Sicherungsnehmers zur Übertragung der zugrunde liegenden Forderung an den Sicherungsgeber voraus, so muss aus den Konditionen der zugrunde liegenden Forderung hervorgehen, dass eine gegebenenfalls erforderliche Einwilligung zu einer solchen Übertragung nicht ohne angemessenen Grund versagt werden darf;
e) es muss eindeutig festgelegt sein, wer darüber entscheidet, ob ein Kreditereignis eingetreten ist. Diese Entscheidung darf nicht allein dem Sicherungsgeber obliegen. Der Käufer der Absicherung muss das Recht haben, den Sicherungsgeber über den Eintritt eines Kreditereignisses zu informieren.
2) Eine Inkongruenz (Asset Mismatch) zwischen der zugrunde liegenden Forderung und der Referenzforderung des Kreditderivats (d.h. die Forderung, die zur Bestimmung des Werts des Barausgleichs herangezogen wird, oder das zu liefernde Aktivum) oder zwischen der zugrunde liegenden Forderung und der Forderung, anhand derer bestimmt wird, ob ein Kreditereignis eingetreten ist, ist nur zulässig, wenn:
a) die Referenzforderung bzw. das Aktivum, anhand dessen bestimmt wird, ob ein Kreditereignis eingetreten ist, der zugrunde liegenden Forderung im Rang gleich- oder nachgestellt ist;
b) die zugrunde liegende Forderung und die Referenzforderung bzw. das Aktivum, anhand dessen bestimmt wird, ob ein Kreditereignis eingetreten ist, als Verpflichteten dieselbe juristische Person haben und rechtlich durchsetzbare wechselseitige Ausfall- (Cross-Default Clause) oder Vorfälligkeitsklauseln (Cross-Acceleration Clause) beinhalten.
14. Voraussetzungen für die Behandlung nach Abschnitt 2 Teil 1 Ziff. 2 Abs. 7 dieses Anhangs
1) Um für die in Abschnitt 2 Teil 1 Ziff. 2 Abs. 7 dieses Anhangs beschriebene Behandlung in Frage zu kommen, muss eine Besicherung in Form einer Garantie oder eines Kreditderivates die Voraussetzungen nach Abs. 2 bis 12 erfüllen.
2) Die zugrunde liegende Verpflichtung muss sein:
a) eine Forderung gegenüber einem Unternehmen im Sinne von Art. 64, mit Ausnahme von Versicherungs- und Rückversicherungsgesellschaften;
b) eine Forderung gegenüber einer Regionalregierung, Gebietskörperschaft oder öffentlichen Einrichtung, die nicht als Forderung gegenüber einer Zentralregierung oder eine Zentralbank nach Art. 60 gilt; oder
c) eine Retailforderung nach Art. 65.
3) Der abgesicherte Kreditnehmer darf nicht der gleichen Gruppe angehören wie der Sicherungsgeber.
4) Die Forderung wird durch eines der folgenden Instrumente abgesichert:
a) auf einzelne Adressen bezogene Derivate ohne Sicherheitsleistung oder auf einzelne Adressen bezogene Garantien;
b) Forderungskorbprodukte, bei denen der erste Ausfall der im Korb enthaltenen Forderungen die Zahlung auslöst ("First to Default Basket Products"), wobei diese Behandlung auf das Aktivum im Forderungskorb angewandt wird, das den niedrigsten risikogewichteten Forderungsbetrag aufweist;
c) Forderungskorbprodukte, bei denen der n-te Ausfall der im Korb enthaltenen Forderungen die Zahlung auslöst ("Nthto Default Basket Produkts"), wobei diese Absicherung nur dann in diesem Rahmen berücksichtigt werden kann, wenn ebenfalls eine anerkennungsfähige Absicherung für den (n-1) Ausfall vorliegt oder (n-1) der im Korb enthaltenen Werte bereits ausgefallen sind. In diesem Fall wird diese Behandlung auf das Aktivum im Forderungskorb angewandt, das den niedrigsten risikogewichteten Forderungsbetrag aufweist.
5) Die Besicherung erfüllt die in Ziff. 10, Ziff. 12 Abs. 1 und Ziff. 13 genannten Voraussetzungen.
6) Das der Forderung vor Anwendung dieser Behandlung zugeordnete Risikogewicht berücksichtigt noch keinen Aspekt der Besicherung.
7) Eine Bank hat das Recht auf die Zahlung des Sicherungsgebers, ohne rechtliche Schritte zur Beitreibung der Zahlung bei der Gegenpartei einleiten zu müssen. Die Bank überzeugt sich so weit wie möglich selbst davon, dass der Sicherungsgeber im Falle eines Kreditereignisses zur umgehenden Zahlung bereit ist.
8) Die erworbene Besicherung soll alle bei der abgesicherten Forderung erlittenen Verluste, die auf die im Kontrakt bestimmten Kreditereignisse zurückzuführen sind, abdecken.
9) Ist eine Zahlung durch den Sicherungsgeber in Form einer physischen Lieferung einer Referenzverbindlichkeit vorgesehen, so muss in Bezug auf die Lieferbarkeit eines Darlehens, einer Anleihe oder einer Eventualverbindlichkeit Rechtssicherheit bestehen. Hat eine Bank die Absicht, anstelle der zugrunde liegenden Forderung eine andere Verbindlichkeit zu liefern, so stellt sie sicher, dass die lieferbare Verbindlichkeit so liquide ist, dass sie diese zwecks vertragsgemässer Lieferung erwerben kann.
10) Die Konditionen von Sicherungsvereinbarungen sind sowohl vom Sicherungsgeber als auch von der Bank rechtsgültig schriftlich bestätigt.
11) Die Bank verfügt über Verfahren zur Ermittlung eines übermässigen Korrelationsrisikos zwischen der Bonität eines Sicherungsgebers und dem abgesicherten Kreditnehmer, das darauf beruht, dass ihr Geschäftsergebnis von gemeinsamen Faktoren, die über den systematischen Risikofaktor hinausgehen, abhängig ist.
12) Bei einer Absicherung des Verwässerungsrisikos darf der Verkäufer der erworbenen Forderungen nicht derselben Gruppe angehören wie der Sicherungsgeber.
Teil 3: Berechnung der Effekte der Kreditrisikominderung
I. Im Allgemeinen
1. Allgemeine Grundsätze
1) Wenn die Bestimmungen der Teile 1 und 2 erfüllt sind, kann die Berechnung der risikogewichteten Forderungsbeträge nach dem Standardansatz und die Berechnung der risikogewichteten Forderungsbeträge und erwarteten Verlustbeträge nach dem IRB-Ansatz vorbehaltlich der Teile 4 bis 6 nach Massgabe dieses Teils geändert werden.
2) Barmittel, Wertpapiere oder Waren, die im Rahmen eines Pensions- oder Wertpapier- bzw. Warenleihgeschäfts erworben, geliehen oder eingeliefert werden, werden wie Sicherheiten behandelt.
II. Besicherung mit Sicherheitsleistung
2. Credit linked notes
Anlagen in Credit Linked Notes, die von der kreditgebenden Bank ausgegeben werden, können wie Barsicherheiten behandelt werden.
3. Netting von Bilanzpositionen
Darlehen und Einlagen bei der kreditgebenden Bank, bei denen ein bilanzielles Netting vorgenommen wird, sind wie Barsicherheiten zu behandeln.
4. Netting-Rahmenvereinbarungen, die Pensionsgeschäfte, Wertpapier- oder Warenleihgeschäfte und/oder andere Kapitalmarkttransaktionen betreffen
4.1 Berechnung des vollständig angepassten Forderungswertes anhand der von der FMA vorgegebenen oder auf eigenen Schätzungen beruhenden Volatilitätsanpassungen
1) Bei der Berechnung des vollständig angepassten Forderungswerts (E*) von Forderungen, die einer anerkennungsfähigen Netting-Rahmenvereinbarung für Pensionsgeschäfte und/oder Wertpapier- oder Warenleihgeschäfte und/oder andere Kapitalmarkttransaktionen unterliegen, werden die Volatilitätsanpassungen vorbehaltlich Ziff. 4.2 auf nachstehende Art und Weise ermittelt, wobei entweder die von der FMA vorgegebenen oder die auf eigenen Schätzungen beruhenden Volatilitätsanpassungen zugrunde gelegt werden; beide Verfahren sind in Ziff. 5.2c bis 5.2i für die umfassende Methode zur Berücksichtigung finanzieller Sicherheiten dargelegt. Für die auf eigenen Schätzungen beruhende Methode gelten die gleichen Bedingungen und Anforderungen wie für die umfassende Methode zur Berücksichtigung finanzieller Sicherheiten.
2) Die Nettoposition für jede Art von Wertpapier oder Ware wird ermittelt, indem vom Gesamtwert der unter der Netting-Rahmenvereinbarung verliehenen, verkauften oder gelieferten Wertpapiere oder Waren ein und derselben Art der Gesamtwert der im Rahmen der Vereinbarung geliehenen, erworbenen oder entgegengenommenen Wertpapiere oder Waren dieser Art abgezogen wird.
3) Die in Abs. 2 genannten Wertpapiere derselben Art sind Wertpapiere, die von ein und demselben Emittenten am gleichen Tag ausgegeben wurden, die gleiche Laufzeit haben, den gleichen Bedingungen und Konditionen unterliegen und für die die gleichen, in Ziff. 5.2c bis 5.2i genannten Verwertungszeiträume (Haltedauer) gelten.
4) Die Nettoposition für jede einzelne Währung ausser der Verrechnungswährung der Netting-Rahmenvereinbarung wird ermittelt, indem vom Gesamtwert der unter der Netting-Rahmenvereinbarung verliehenen, verkauften oder gelieferten und auf die betreffende Währung lautenden Wertpapiere plus dem Betrag an Bargeld, der im Rahmen der Vereinbarung in dieser Währung ausgeliehen oder übertragen wurde, der Gesamtwert der unter der Vereinbarung geliehenen, erworbenen oder entgegengenommenen und auf diese Währung lautenden Wertpapiere plus dem Betrag an Bargeld, der im Rahmen der Vereinbarung in dieser Währung geliehen oder entgegengenommen wurde, abgezogen wird.
5) Die für eine bestimmte Art von Wertpapier- oder Barmittelposition angemessene Volatilitätsanpassung wird sowohl bei einer positiven als auch bei einer negativen Nettoposition für Wertpapiere dieser Art vorgenommen.
6) Die Volatilitätsanpassung für das Wechselkursrisiko (fx) wird sowohl bei einer positiven als auch bei einer negativen Nettoposition in jeder Währung ausser der Verrechnungswährung der Netting-Rahmenvereinbarung vorgenommen.
7) E* wird nach folgender Formel berechnet:
Wenn die risikogewichteten Forderungsbeträge nach dem Standardansatz berechnet werden, ist E der Forderungswert jeder einzelnen im Rahmen der Vereinbarung bestehenden Forderung, der bei Fehlen der Besicherung zur Anwendung käme.
Wenn die risikogewichteten Forderungsbeträge und erwarteten Verlustbeträge nach dem IRB-Ansatz berechnet werden, ist E der Forderungswert jeder einzelnen im Rahmen der Vereinbarung bestehenden Forderung, der bei Fehlen der Besicherung zur Anwendung käme.
C ist der Wert der Wertpapiere oder Waren, die in Bezug auf jede dieser Forderungen geliehen, erworben oder eingeliefert werden, oder der Barmittel, die in Bezug auf jede dieser Forderungen geliehen oder eingeliefert werden.
Efxist die Nettoposition (positiv oder negativ) in einer anderen Währung als der Verrechnungswährung der Vereinbarung, die nach Abs. 4 ermittelt wird.
Hsecist die für eine bestimmte Art von Wertpapier angemessene Volatilitätsanpassung.
Hfxist die Wechselkursvolatilitätsanpassung.
E* ist der vollständig angepasste Forderungswert.
4.2 Berechnung des vollständig angepassten Forderungswertes mit Hilfe interner Modelle (Verwendung selbst geschätzter Haircuts)
1) Alternativ zu den von der FMA vorgegebenen oder auf eigenen Schätzungen beruhenden Volatilitätsanpassungen kann den Banken für die Berechnung des vollständig angepassten Forderungswerts (E*), der sich aus der Anwendung einer anerkennungsfähigen Netting-Rahmenvereinbarung für Pensionsgeschäfte, Wertpapier- oder Warenleihgeschäfte und/oder andere Kapitalmarkttransaktionen, bei denen es sich nicht um Derivatgeschäfte handelt, ergibt, die Benutzung interner Modelle gestattet werden, sofern diese Korrelationseffekten zwischen Wertpapierpositionen, die unter die Netting-Rahmenvereinbarung fallen, als auch der Liquidität der betreffenden Instrumente Rechnung tragen. Die in diesem Rahmen verwendeten internen Modelle müssen Schätzungen der potenziellen Änderung des Werts (Marktpreis- und Wechselkursvolatilität) der unbesicherten Forderung

ermöglichen. Bei entsprechender Genehmigung der FMA können Banken ihre internen Modelle auch für Lombardkredite verwenden, wenn diese unter eine bilaterale Netting-Rahmenvereinbarung fallen, die die Anforderungen des Art. 46 erfüllt.
2) Eine Bank kann unabhängig davon, ob sie zur Berechnung der risikogewichteten Forderungsbeträge nach dem Standardansatz oder dem IRB-Basisansatz verfährt, beschliessen, auf ein internes Modell zurückzugreifen. Hat sich die Bank jedoch für die Nutzung eines internen Modells entschieden, so muss sie dieses auf alle Gegenparteien und Wertpapiere anwenden, ausser auf unwesentliche Portfolios, bei denen sie die in Ziff. 4.1 dargelegten, von der FMA vorgegebenen oder auf eigenen Schätzungen beruhenden Volatilitätsanpassungen zugrunde legen kann.
3) Auf interne Modelle zurückgreifen können Banken, deren internes Risikomanagement-Modell nach Anhang 2 Ziff. 27 ff. für die Ermittlung der erforderlichen Eigenmittel für Marktrisiken anerkannt wurde.
4) Banken, denen die FMA nicht die Erlaubnis zur Nutzung des Modellansatzes nach Anhang 2 Ziff. 27 ff. erteilt hat, können für die Zwecke dieser Absätze bei der FMA die Anerkennung eines internen Risikomessmodells beantragen.
5) Eine solche Anerkennung nach Abs. 4 erfolgt nur, wenn die FMA sich davon überzeugt hat, dass das System, mit dem die Bank die Risiken aus den unter die Netting-Rahmenvereinbarung fallenden Geschäften steuert, konzeptionell solide ist, nach Treu und Glauben umgesetzt wird und insbesondere den folgenden Qualitätsstandards genügt:
a) das interne Risikomessmodell (insbesondere die geschätzten Volatilitäten und die Halteperioden), das zur Ermittlung der potenziellen Preisvolatilität verwendet wird, ist in das tägliche Risikomanagement eingebettet und dient als Grundlage für die Meldung von Risiken an das höhere Management der Bank;
b) die Bank hat eine Abteilung "Risikoüberwachung", die von den Handelsabteilungen unabhängig ist und dem höheren Management unmittelbar Bericht erstattet. Die Abteilung muss für die Gestaltung und Umsetzung des Risikomanagements der Bank zuständig sein. Sie erstellt und analysiert täglich Berichte über die Ergebnisse des Risikomessmodells und über die Massnahmen, die im Hinblick auf Positionslimitierungen getroffen werden sollten;
c) die von dieser Abteilung erstellten Tagesberichte werden von einer Managementebene geprüft, die über ausreichende Befugnisse verfügt, um die Verringerung übernommener Positionen und des Gesamtrisikos durchzusetzen;
d) die Bank beschäftigt in ihrer Risikoüberwachungsabteilung eine ausreichende Zahl qualifizierter, für die Anwendung komplexer Modelle geschulter Mitarbeiter;
e) die Bank hat Verfahren eingerichtet, um die Einhaltung der schriftlich niedergelegten internen Grundsätze für das Risikomesssystem und die dazugehörigen Kontrollen zu gewährleisten;
f) die Modelle der Bank haben in der Vergangenheit eine ausreichend präzise Risikomessung gewährleistet, was durch Backtesting der Ergebnisse mit den Daten von mindestens einem Jahr nachgewiesen werden kann;
g) die Bank führt im Rahmen eines strengen Stresstest-Programms häufig Tests durch, deren Ergebnisse vom höheren Management geprüft und in den von ihm festgelegten Grundsätzen und Grenzwerten berücksichtigt werden;
h) die Bank unterzieht ihr Risikomesssystem einer unabhängigen Prüfung durch die interne Revision, die sowohl die Tätigkeiten der Abteilung "Risikoüberwachung" als auch der Handelsabteilungen umfasst;
i) die Bank unterzieht ihr Risikomanagement mindestens einmal jährlich einer Prüfung, die mindestens folgende Punkte umfassen muss:
1. die Einbettung der Risikomessung in das tägliche Risikomanagement;
2. die Validierung jeder wesentlichen Änderung im Risikomessverfahren;
3. die Genauigkeit und Vollständigkeit der Positionsdaten;
4. die Prüfung der Konsistenz, Zeitnähe und Zuverlässigkeit der für die internen Modelle herangezogenen Datenquellen, einschliesslich der Unabhängigkeit solcher Datenquellen;
5. die Genauigkeit und Angemessenheit der Volatilitätsannahmen;
k) das interne Modell muss den in Abschnitt 1 Teil 1 Ziff. 15.5 Abs. 5 und 6 sowie Ziff. 16 dieses Anhangs aufgeführten Anforderungen entsprechen.
6) Für die Berechnung potenzieller Wertänderungen (Marktpreis- und Wechselkursvolatilität) gelten die folgenden quantitativen Mindeststandards:
a) Berechnung mindestens einmal pro Tag;
b) einseitiges 99 %-iges Konfidenzniveau;
c) eine Mindesthaltedauer von fünf Tagen, ausser bei Geschäften, bei denen es sich nicht um Wertpapierpensionsgeschäfte oder Wertpapierleihgeschäfte handelt, für die eine Haltedauer von zehn Tagen zugrunde gelegt wird; die Mindesthaltedauer ist zu verlängern, wenn sie im Hinblick auf die Liquidität des betreffenden Instruments unangemessen wäre;
d) ein effektiver historischer Beobachtungszeitraum von mindestens einem Jahr, ausser in Fällen, in denen aufgrund eines signifikanten Anstiegs der Kursvolatilität ein kürzerer Beobachtungszeitraum gerechtfertigt ist; werden die einzelnen Tagesbeobachtungen mit unterschiedlichen Gewichten berücksichtigt, so muss der gewichtete durchschnittliche Beobachtungszeitraum mindestens sechs Monate betragen (d.h. im gewogenen Durchschnitt liegen die einzelnen Werte mindestens sechs Monate zurück);
e) Datenaktualisierung alle drei Monate bzw. unverzüglich, sofern es die Marktbedingungen erfordern.
7) Die FMA schreibt vor, dass das interne Risikomessmodell einer ausreichenden Zahl von Risikofaktoren Rechnung tragen muss, damit alle wesentlichen Kursrisiken erfasst werden.
8) Die FMA kann den Banken gestatten, innerhalb der einzelnen Risikokategorien und kategorienübergreifend empirische Korrelationen zu verwenden, wenn sie sich davon überzeugt hat, dass das System, das die betreffende Bank zur Messung der Korrelationen verwendet, solide ist und nach Treu und Glauben umgesetzt wird.
9) Bei Banken, die interne Modelle verwenden, wird der vollständig angepasste Forderungswert (E*) nach folgender Formel berechnet:
Wenn die risikogewichteten Forderungsbeträge nach dem Standardansatz berechnet werden, ist E der Forderungswert jeder einzelnen im Rahmen der Vereinbarung bestehenden Forderung, der bei Fehlen der Besicherung zur Anwendung käme.
Wenn die risikogewichteten Forderungsbeträge und erwarteten Verlustbeträge nach dem IRB-Ansatz berechnet werden, ist E der Forderungswert jeder einzelnen im Rahmen der Vereinbarung bestehenden Forderung, der bei Fehlen der Besicherung zur Anwendung käme.
C ist der aktuelle Wert der Wertpapiere, die in Bezug auf jede dieser Forderungen geliehen, erworben oder geliefert werden, oder der Barmittel, die in Bezug auf jede dieser Forderungen geliehen oder geliefert werden.
10) Banken, die die risikogewichteten Forderungsbeträge mit Hilfe eigener Modelle berechnen, verwenden zu diesem Zweck die Modellergebnisse des vorangegangenen Handelstages.
4.3 Berechnung der risikogewichteten Forderungsbeträge und erwarteten Verlustbeträge bei Pensionsgeschäften, Wertpapier- oder Warenleihgeschäften und/oder anderen Kapitalmarkttransaktionen, die unter Netting-Rahmenvereinbarungen fallen
1) Beim Standardansatz ist E*, berechnet gemäss Ziff. 4.1 und Ziff. 4.2, der Forderungswert der Forderung gegenüber der Gegenpartei, die aus den unter die Netting-Rahmenvereinbarung fallenden Transaktionen resultiert.
2) Beim IRB-Ansatz ist E*, berechnet gemäss Ziff. 4.1 und Ziff. 4.2, der Forderungswert der Forderung gegenüber der Gegenpartei, die aus den unter die Netting-Rahmenvereinbarung fallenden Transaktionen resultiert.
5. Finanzielle Sicherheiten
5.1 Einfache Methode zur Berücksichtigung finanzieller Sicherheiten
1) Die einfache Methode kann nur angewandt werden, wenn die risikogewichteten Forderungsbeträge nach dem Standardansatz ermittelt werden. Eine Bank wendet nicht gleichzeitig die einfache und die umfassende Methode an.
2) Bewertung: Im Rahmen dieser Methode werden anerkannte finanzielle Sicherheiten zu ihrem nach Teil 2 Ziff. 4.1 dieses Abschnittes bestimmten Marktwert angesetzt.
3) Berechnung der risikogewichteten Forderungsbeträge:
a) das Risikogewicht, das nach dem Standardansatz bei Vorliegen einer unmittelbaren Forderung des Kreditgebers an den Sicherungsgeber zu vergeben wäre, wird den durch den Marktwert der anerkannten Sicherheit gedeckten Forderungsteilen zugeteilt. Das Risikogewicht des besicherten Teils beträgt (mit Ausnahme der in Abs. 4 bis 6 genannten Fälle) mindestens 20 %. Der übrige Teil der Forderung erhält das Risikogewicht, das nach dem Standardansatz für eine unbesicherte Forderung gegenüber der Gegenpartei angesetzt würde;
b) wenn Barsicherheiten, Kassenobligationen oder vergleichbare Instrumente, die von der kreditgebenden Bank emittiert wurden, als Sicherheiten bei einer dritten Bank gehalten werden (Ziff. 4.1 Abs. 2 Bst. e und Ziff. 9.1 von Teil 2 Abschnitt 3 dieses Anhangs), sie an die kreditgebende Bank offen abgetreten bzw. verpfändet wurden, und dies unbedingt und unwiderruflich geschieht, erhält der durch die Sicherheit (nach eventuell nötigen Abschlägen für das Wechselkursrisiko) unterlegte Teil der Forderung das Risikogewicht der dritten Bank. Der durch Treuhandanlagen besicherte Teil der Forderung erhält das Risikogewicht der Bank, bei der die Treuhandanlage platziert wurde.
4) Pensions- und Wertpapierleihgeschäfte: Der abgesicherte Teil einer Forderung aus Transaktionen, die die in Ziff. 5.2i genannten Kriterien erfüllen, erhält das Risikogewicht 0 %. Wenn die Gegenpartei eines solchen Geschäfts kein wesentlicher Marktteilnehmer ist, wird dem Geschäft ein Risikogewicht von 10 % zugeteilt.
5) OTC-Derivate mit täglicher Marktbewertung: Die Forderungswerte, die nach Art. 40 bis 46 für die, durch Bargeld oder bargeldähnliche Instrumente oder eine Kreditlimite abgesicherten Derivate mit täglicher Marktbewertung bestimmt werden, erhalten - wenn keine Währungsinkongruenz vorliegt - in der Höhe der Besicherung das Risikogewicht 0 %. Sind die genannten Geschäfte durch Schuldverschreibungen von Zentralregierungen oder Zentralbanken abgesichert, die nach dem Standardansatz das Risikogewicht 0 % erhalten, so werden die Forderungswerte in der Höhe der Besicherung mit dem Risikogewicht 10 % angesetzt. Für die Zwecke dieses Absatzes umfassen 'Schuldverschreibungen von Zentralregierungen oder Zentralbanken':
a) Schuldverschreibungen von Gebietskörperschaften, deren Schuldtitel im Rahmen des Standardansatzes wie Forderungen gegenüber der Zentralregierung, dem sie zuzuordnen sind, behandelt werden;
b) Schuldverschreibungen multilateraler Entwicklungsbanken, die nach dem Standardansatz ein Risikogewicht von 0 % erhalten;
c) Schuldverschreibungen internationaler Organisationen, die nach dem Standardansatz ein Risikogewicht von 0 % erhalten.
6) Sonstige Geschäfte können das Risikogewicht 0 % erhalten, wenn Forderung und Sicherheit auf die gleiche Währung lauten und eine der folgenden Voraussetzungen erfüllt sind:
a) die Sicherheit besteht aus einer Bareinlage oder einem bargeldähnlichen Instrument;
b) die Sicherheit besteht aus Schuldverschreibungen von Zentralregierungen oder Zentralbanken, die nach dem Standardansatz das Risikogewicht 0 % erhalten können und auf deren Marktwert ein 20 %-iger Abschlag vorgenommen wurde.
Für die Zwecke dieses Absatzes umfassen "Schuldverschreibungen von Zentralregierungen oder Zentralbanken" die in Abs. 5 genannten Titel.
5.2 Umfassende Methode zur Berücksichtigung finanzieller Sicherheiten
5.2a Im Allgemeinen
1) Bei dieser Methode wird bei der Bewertung einer finanziellen Sicherheit der Marktwert dieser Sicherheit den in Ziff. 5.2c bis 5.2i genannten Volatilitätsanpassungen unterzogen, um der Kursvolatilität Rechnung zu tragen.
2) Vorbehaltlich der in Abs. 3 vorgesehenen Behandlung von Währungsinkongruenzen bei OTC-Derivaten wird in Fällen, in denen Sicherheit und zugrunde liegende Forderung auf unterschiedliche Währungen lauten, zusätzlich zu der nach den Ziff. 5.2c bis 5.2i für die Sicherheit angemessenen Volatilitätsanpassung eine Anpassung für die Wechselkursvolatilität vorgenommen.
3) Bei OTC-Derivaten, die unter eine von der FMA nach Art. 46 anerkannte Netting-Rahmenvereinbarung fallen, wird eine Anpassung für die Wechselkursvolatilität immer dann vorgenommen, wenn die Sicherheit auf eine andere Währung als die Verrechnungswährung lautet. Selbst in Fällen, in denen die unter die Netting-Vereinbarung fallenden Geschäfte in mehreren Währungen abgewickelt werden, erfolgt nur eine einzige Volatilitätsanpassung.
5.2b Berechnung der angepassten Werte
1) Berechnung der angepassten Werte: Mit Ausnahme von Geschäften, die unter anerkannte Netting-Rahmenvereinbarungen fallen und für die die Bestimmungen von Ziff. 4.1 bis 4.3 gelten, wird der volatilitätsangepasste Wert der zu berücksichtigenden Sicherheit generell nach folgender Formel berechnet:
2) Der volatilitätsangepasste Wert der zu berücksichtigenden Forderung wird nach folgender Formel berechnet:
3) Der vollständig angepasste Forderungswert, der sowohl der Volatilität als auch den risikomindernden Effekten der Sicherheit Rechnung trägt, wird wie folgt berechnet:
4) Für die Anwendung von Abs. 1 bis 3 ist:
a) E der Forderungswert, der nach dem Standardansatz oder dem IRB-Ansatz als angemessen betrachtet würde, wäre die Forderung unbesichert; zu diesem Zweck müssen Banken, die die risikogewichteten Forderungsbeträge nach dem Standardansatz berechnen, für den Forderungswert von in Art. 39 Abs. 3 aufgeführten ausserbilanziellen Posten anstelle der dort genannten jeweiligen prozentualen Anteile 100 % des Wertes ansetzen; ebenso müssen Banken, die die risikogewichteten Forderungsbeträge nach dem IRB-Ansatz berechnen, bei der Berechnung des Forderungswertes der in Abschnitt 2 Teil 3 Ziff. 1 Abs. 9 bis 11 aufgeführten Posten anstelle der in diesen Ziffern genannten Umrechnungsfaktoren oder Prozentsätze einen Umrechnungsfaktor von 100 % zugrunde legen.
b) EVAder volatilitätsangepasste Forderungsbetrag;
c) CVAder volatilitätsangepasste Wert der Sicherheit;
d) CVAMgleich CVAplus weiterer Anpassungen für etwaige Laufzeiteninkongruenzen nach Teil 4 dieses Abschnitts;
e) HEdie nach Ziff. 5.2c bis 5.2i berechnete, der Forderung (E) angemessene Volatilitätsanpassung;
f) HCdie nach Ziff. 5.2c bis 5.2i berechnete, der Sicherheit angemessene Volatilitätsanpassung;
g) HFXdie nach Ziff. 5.2c bis 5.2i berechnete, der Währungsinkongruenz zwischen Sicherheit und Forderung angemessene Volatilitätsanpassung;
h) E* der vollständig angepasste Forderungswert, der der Volatilität und den risikomindernden Effekten der Sicherheit Rechnung trägt.
5.2c Berechnung der Volatilitätsanpassungen Grundsatz
1) Volatilitätsanpassungen können auf zweierlei Weise berechnet werden: Anhand der von der FMA vorgegebenen Werte (Ziff. 5.2d) oder auf der Grundlage eigener Schätzungen (Ziff. 5.2e).
2) Eine Bank kann unabhängig davon, ob sie sich für die Berechnung der risikogewichteten Forderungsbeträge für den Standardansatz oder den IRB-Ansatz entschieden hat, zwischen den von der FMA vorgegebenen und den auf eigenen Schätzungen basierenden Volatilitätsanpassungen wählen. Hat sich die Bank jedoch für die auf eigenen Schätzungen beruhende Methode entschieden, so muss sie diese auf alle Arten von Instrumenten anwenden, ausser auf unwesentliche Portfolios, bei denen sie nach der auf aufsichtlichen Vorgaben beruhenden Methode verfahren kann. Setzt sich die Sicherheit aus mehreren anerkannten Werten zusammen, so ist die Volatilitätsanpassung

wobei a
i
für den Anteil eines Wertes an der Sicherheit insgesamt
und H
ifür die für diesen Wert geltende Volatilitätsanpassung steht.
5.2d Berechnung der Volatilitätsanpassungen, die von der FMA vorgegeben werden
Bei der auf aufsichtsrechtlichen Vorgaben beruhenden Methode werden - unter der Voraussetzung einer täglichen Neubewertung - die von der FMA vorgegebenen Volatilitätsanpassungen vorgenommen.
5.2e Berechnung der Volatilitätsanpassungen, die auf bankeigenen Schätzungen beruhen
1) Die FMA gestattet Banken, die die in Ziff. 5.2f und Ziff. 5.2g genannten Anforderungen erfüllen, bei der Berechnung der Volatilitätsanpassungen für Sicherheiten und Forderungen ihre eigenen Volatilitätsschätzungen zu verwenden.
2) Bei Schuldverschreibungen der Ratingklasse 4 bzw. 3 für kurzfristige Schuldverschreibungen oder besser können die Volatilitätsschätzungen für jede Wertpapierkategorie abgegeben werden.
3) Bei der Abgrenzung der Wertpapierkategorien tragen die Banken der Art des Emittenten, dem Rating der Wertpapiere, ihrer Restlaufzeit und ihrer modifizierten Duration Rechnung. Volatilitätsschätzungen müssen für die Wertpapiere, die die Bank in die Kategorie aufgenommen hat, repräsentativ sein.
4) Für Schuldverschreibungen, die ein tieferes Rating als 4 bzw. 3 für kurzfristige Schuldverschreibungen aufweisen, und für sonstige anerkennungsfähige Sicherheiten (z.B. Beteiligungstitel) werden die Volatilitätsanpassungen einzeln ermittelt.
5) Banken, die nach der auf eigenen Schätzungen basierenden Methode verfahren, dürfen bei der Schätzung der Volatilität der Sicherheit oder der Währungsinkongruenz nicht die Korrelationen zwischen der unbesicherten Forderung, der Sicherheit und/oder Wechselkursen berücksichtigen.
5.2f Berechnung der Volatilitätsanpassungen - Quantitative Kriterien für bankeigene Schätzungen
1) Bei der Berechnung der Volatilitätsanpassungen wird ein einseitiges 99 %-iges Konfidenzniveau zugrunde gelegt.
2) Bei besicherten Kreditvergaben beträgt die Haltedauer 20 Handelstage, bei Pensionsgeschäften (sofern diese nicht mit der Übertragung von Waren oder garantierten Eigentumsrechten an diesen Waren verbunden sind) und Wertpapierleihgeschäften 5 Handelstage und bei anderen Kapitalmarkttransaktionen 10 Handelstage.
3) Die Banken können Volatilitätsanpassungen verwenden, die unter Zugrundelegung kürzerer oder längerer Haltedauern berechnet und für das betreffende Geschäft mit Hilfe nachstehender Wurzel-Zeit-Formel auf die in Abs. 2 angegebene Haltedauer herauf- oder herabskaliert werden:
dabei ist TMdie jeweilige Haltedauer, HMdie Volatilitätsanpassung für die jeweilige Haltedauer und HNdie Volatilitätsanpassung basierend auf der Haltedauer TN.
4) Die Banken tragen der Illiquidität von Aktiven geringerer Qualität Rechnung. Bestehen Zweifel an der Liquidität einer Sicherheit, so wird die Haltedauer verlängert. Die Banken können feststellen, ob historische Daten die potenzielle Volatilität unterschätzen, z.B. im Fall gestützter Wechselkurse. In solchen Fällen werden die Daten einem Stresstest unterzogen.
5) Der historische Beobachtungszeitraum (Erhebungszeitraum) für die Ermittlung der Volatilitätsanpassungen beträgt mindestens ein Jahr. Bei Banken, die ein Gewichtungsschema oder andere Methoden verwenden, beträgt der "effektive" Beobachtungszeitraum mindestens ein Jahr (d.h., dass die gewichtete durchschnittliche Zeitverzögerung der einzelnen Beobachtungen nicht weniger als sechs Monate betragen darf). Die FMA kann einer Bank ferner vorschreiben, ihre Volatilitätsanpassungen unter Zugrundelegung eines kürzeren Beobachtungszeitraums zu berechnen, wenn sie dies aufgrund eines signifikanten Anstiegs der Kursvolatilität für gerechtfertigt hält.
6) Die Banken aktualisieren ihre Daten mindestens alle drei Monate und bewerten sie bei jeder wesentlichen Änderung der Marktpreise neu. Zu diesem Zweck werden die Volatilitätsanpassungen mindestens alle drei Monate neu berechnet.
5.2g Berechnung der Volatilitätsanpassungen - Qualitative Kriterien für bankeigene Schätzungen
1) Die Volatilitätsschätzungen werden im täglichen Risikomanagement der Bank - auch in Bezug auf seine internen Risikolimiten - verwendet.
2) Ist die Haltedauer, die die Bank bei ihrem täglichen Risikomanagement zugrunde legt, länger als der, der in diesem Teil für den betreffenden Transaktionstyp festgelegt ist, so werden die Volatilitätsanpassungen der Bank nach der Ziff. 5.2f Abs. 3 angegebenen Wurzel-Zeit-Formel heraufskaliert.
3) Die Bank hat Verfahren eingerichtet, um die Einhaltung der schriftlich niedergelegten Grundsätze für die Schätzung der Volatilitätsanpassungen und die Integration dieser Schätzungen in ihr Risikomanagement sowie die dazugehörigen Kontrollen zu gewährleisten.
4) Das System, das die Bank zur Schätzung der Volatilitätsanpassungen anwendet, wird durch die interne Revision regelmässig einer unabhängigen Prüfung unterzogen. Das gesamte System für die Schätzung der Volatilitätsanpassungen und deren Einbettung in das Risikomanagement der Bank wird mindestens einmal jährlich überprüft. Diese Überprüfung stellt zumindest auf folgende Aspekte ab:
a) die Einbettung der geschätzten Volatilitätsanpassungen in das tägliche Risikomanagement;
b) die Validierung jeder wesentlichen Änderung des Schätzverfahrens;
c) die Konsistenz, Zeitnähe und Zuverlässigkeit der Datenquellen, auf die sich die Bank bei der Schätzung der Volatilitätsanpassungen stützt, einschliesslich der Unabhängigkeit dieser Quellen;
d) die Genauigkeit und Angemessenheit der Volatilitätsannahmen.
5.2h Berechnung der Volatilitätsanpassungen - Heraufskalierung von Volatilitätsanpassungen
Die in Ziff. 5.2d genannten Volatilitätsanpassungen gelten für den Fall einer täglichen Neubewertung. Ebenso muss eine Bank, das nach Ziff. 5.2e, Ziff. 5.2f und Ziff. 5.2g ihre eigenen Schätzungen verwendet, ihre Berechnungen zunächst auf der Grundlage einer täglichen Neubewertung anstellen. Erfolgt die Neubewertung seltener als einmal täglich, so werden grössere Volatilitätsanpassungen vorgenommen. Diese werden mit Hilfe nachstehender "Wurzel-Zeit"-Formel durch Heraufskalierung der auf einer täglichen Neubewertung basierenden Volatilitätsanpassungen ermittelt:
Dabei ist:
H die vorzunehmende Volatilitätsanpassung,
HMdie Volatilitätsanpassung bei täglicher Neubewertung,
NRdie tatsächliche Anzahl an Handelstagen zwischen den Neubewertungen,
T
Mdie Haltedauer für das betreffende Geschäft.
5.2i Berechnung der Volatilitätsanpassungen - Voraussetzungen für eine Volatilitätsanpassung von 0 %
1) Wenn die in Bst. a bis h genannten Bedingungen erfüllt sind, können die Banken, die nach der auf aufsichtlichen Vorgaben beruhenden oder der auf eigenen Schätzungen basierenden Methode verfahren, bei Pensions- und Wertpapierleihgeschäften anstelle der nach den nach Ziff. 5.2c bis 5.2h ermittelten Volatilitätsanpassungen eine Anpassung von 0 % vorzunehmen. Nicht in Frage kommt diese Option für Banken, die nach Ziff. 4.2 interne Modelle verwenden:
a) sowohl die Forderung als auch die Sicherheit sind Barmittel oder Schuldverschreibungen von Zentralregierungen oder Zentralbanken im Sinne von Teil 1 Ziff. 3.2 Abs. 1 Bst. b, die im Standardansatz ein Risikogewicht von 0 % erhalten können;
b) Forderung und Sicherheit lauten auf dieselbe Währung;
c) entweder die Laufzeit der Transaktion beträgt nicht mehr als einen Tag oder sowohl die Forderung als auch die Sicherheit werden täglich zu Marktpreisen bewertet und unterliegen täglichen Nachschussverpflichtungen;
d) zwischen der letzten Neubewertung vor dem Versäumnis der Gegenpartei, Sicherheiten nachzuliefern, und der Veräusserung der Sicherheit liegen nicht mehr als vier Handelstage;
e) das Geschäft wird über ein für diese Art von Geschäft bewährtes und allgemein anerkanntes Zahlungs- und Wertpapierabwicklungssystem abgewickelt;
f) die für die Vereinbarung massgeblichen Dokumente sind die für Pensions- oder Leihgeschäfte mit den betreffenden Wertpapieren üblichen Standarddokumente;
g) die für das Geschäft massgeblichen Dokumente bestimmen, dass das Geschäft fristlos kündbar ist, wenn die Gegenpartei ihrer Verpflichtung zur Einlieferung von Barmitteln oder Wertpapiersicherheiten oder zur Leistung von Nachschusszahlungen nicht nachkommt oder in anderer Weise ausfällt;
h) die Gegenpartei ist ein "wesentlicher Marktteilnehmer". Als wesentliche Marktteilnehmer angesehen werden:
1. die in Teil 1 Ziff. 3.2 Abs. 1 Bst. b genannten Emittenten, deren Titel bei Anwendung des Standardansatzes ein Risikogewicht von 0 % erhalten (Zentralregierungen, Zentralbanken, öffentlich-rechtliche Körperschaften);
2. Banken und Wertpapierfirmen;
3. sonstige in der Finanzbranche tätige Gesellschaften (einschliesslich Versicherungsgesellschaften), deren Schuldtitel bei Anwendung des Standardansatzes ein Risikogewicht von 20 % erhalten, oder die - sollte es sich um Banken handeln, die die risikogewichteten Forderungsbeträge und erwarteten Verlustbeträge nach dem IRB-Ansatz ermitteln - nicht über ein Rating einer anerkannten Ratingagentur verfügen und intern mit mindestens einem Rating der Ratingklasse 3 nach Art. 36 in Verbindung mit Art. 64 eingestuft werden;
4. beaufsichtigte Wertpapierfonds, die Eigenmittelanforderungen oder Verschuldungslimiten unterliegen;
5. beaufsichtigte Pensionskassen; und
6. anerkannte Clearing-Organisationen für Zahlungs- oder Wertpapierabwicklungssysteme.
2) Lässt eine zuständige Behörde die in Abs. 1 beschriebene Behandlung für Pensions- oder Leihgeschäfte mit Wertpapieren, die von ihrer eigenen Zentralregierung emittiert wurden, zu, so kann die FMA beschliessen, ihren Banken für die gleichen Geschäfte die gleiche Behandlung zu gestatten.
5.2k Berechnung der risikogewichteten Forderungsbeträge und erwarteten Verlustbeträge
1) Bei Anwendung des Standardansatzes entspricht E*, berechnet nach Ziff. 5.2b, dem Forderungswert. Im Falle der in Art. 39 Abs. 3 genannten ausserbilanziellen Posten ist E* der Wert, auf den die dort genannten Prozentsätze angewendet werden, um den Forderungswert zu ermitteln.
2) Bei Anwendung des IRB-Ansatzes ist der LGD* (effektive Verlustquote bei Ausfall), berechnet wie folgt, für die Zwecke des Abschnitts 2 dieses Anhangs gleich der LGD:
LGD* = LGD x (E*/E)
Dabei ist:
LGD die Verlustquote bei Ausfall, die nach dem IRB-Ansatz für die Forderung gelten würde, wäre sie unbesichert,
E der nach Ziff. 5.2b berechnete Forderungswert,
E* der nach Ziff. 5.2b berechnete Wert.
6. Sonstige, für die Zwecke des IRB-Ansatzes anerkennungsfähige Sicherheiten
6.1 Bewertung von Immobiliensicherheiten, Forderungen und sonstigen Sicherheiten
1) Die Immobilie wird von einem unabhängigen Sachverständigen zum oder unter dem Marktwert bzw. Verkehrswert bewertet. Abs. 2 bis 4 sind zu beachten.
2) Marktwert bzw. Verkehrswert bezeichnet den geschätzten Betrag, zu dem die Immobilie am Tag der Bewertung nach angemessenem Marketing im Rahmen eines zu marktüblichen Konditionen, von den Parteien in Kenntnis der Sachlage, umsichtig und ohne Zwang geschlossenen Geschäfts vom Besitz eines veräusserungswilligen Verkäufers in den Besitz eines kaufwilligen Käufers übergehen dürfte. Der Marktwert bzw. Verkehrswert wird transparent und klar dokumentiert.
3) Belehnungswert bezeichnet den Wert der Immobilie, der bei einer vorsichtigen Bewertung ihrer künftigen Marktgängigkeit unter Berücksichtigung ihrer dauerhaften Eigenschaften, der normalen und örtlichen Marktbedingungen, der derzeitigen Nutzung sowie angemessener Alternativnutzungen bestimmt wurde. Spekulative Elemente werden bei der Bestimmung des Belehnungswerts ausser Acht gelassen. Der Belehnungswert wird transparent und klar dokumentiert.
4) Der Wert der Sicherheit ist der Markt- bzw. Verkehrswert oder der Belehnungswert, der gegebenenfalls aufgrund der Ergebnisse der in Teil 2 Ziff. 5 vorgesehenen Überprüfung und eventueller vorrangiger Forderungen herabgesetzt wird.
5) Der Wert der Forderungen ist der Forderungsbetrag.
6) Bei sonstigen Sachsicherheiten wird der Sicherungsgegenstand zum Marktwert bewertet - d.h. dem geschätzten Betrag, zu dem die Sicherheit am Tag der Bewertung im Rahmen eines zu marktüblichen Konditionen geschlossenen Geschäfts vom Besitz eines veräusserungswilligen Verkäufers in den Besitz eines kaufwilligen Käufers übergehen dürfte.
6.2 Berechnung der risikogewichteten Forderungsbeträge und erwarteten Verlustbeträge
6.2a Allgemeine Behandlung
1) Der LGD* (effektive Verlustquote bei Ausfall), berechnet nach Abs. 2 bis 5, ist für die Zwecke des Abschnittes 2 dieses Anhangs (IRB-Ansatz) gleich der LGD.
2) Fällt das Verhältnis des Werts der Sicherheit (C) zum Forderungswert (E) unter die in Tabelle 6 (Abs. 5) festgelegte Schwelle von C* (d.h. unter den für die Forderung vorgeschriebenen Mindestgrad an Besicherung), so ist LGD* gleich der in Abschnitt 2 dieses Anhangs (IRB-Ansatz) für unbesicherte Forderungen an die Gegenpartei festgelegten LGD.
3) Übersteigt das Verhältnis des Werts der Sicherheit zum Forderungswert die in Tabelle 6 (Abs. 5) festgelegte zweite, höhere Schwelle C** (d.h. das für eine Anerkennung der LGD in voller Höhe erforderliche Mass an Besicherung), so ist LGD* gleich dem in Tabelle 6 (Abs. 5) genannten Wert.
4) Wird der erforderliche Grad an Besicherung C** für die Forderung insgesamt nicht erreicht, so ist die Forderung zu behandeln wie zwei Forderungen - nämlich eine, bei der der erforderliche Besicherungsgrad C** gegeben ist und eine (der verbleibende Teil), bei der dies nicht der Fall ist.
5) Tabelle 6 gibt einen Überblick über die zugrunde zu legende LGD* und die für die besicherten Forderungsteile erforderlichen Besicherungsgrade:
Tabelle 6
Mindest-LGD für besicherte Forderungsteile
| |
LGD* bei Vorrangigen Forderungen
|
LGD* bei nachrangigen Forderungen
|
Erforderlicher Mindestbesicherungsgrad der Forderung (C*)
|
Erforderlicher Mindestbesicherungsgrad der Forderung (C**)
|
|
Forderungen
|
35 %
|
65 %
|
0 %
|
125 %
|
|
Wohn-/Gewerbeimmobilien
|
35 %
|
65 %
|
30 %
|
140 %
|
|
Sonstige Sicherheiten
|
40 %
|
70 %
|
30 %
|
140 %
|
Abweichend davon kann die FMA den Banken vorbehaltlich der angegebenen Besicherungsgrade bis zum 31. Dezember 2012 gestatten:
a) für vorrangige Forderungen in Form von Gewerbeimmobilien-Leasing eine LGD von 30 % anzusetzen;
b) für vorrangige Forderungen in Form von Investitionsgüter-Leasing eine LGD von 35 % anzusetzen; und
c) für vorrangige Forderungen, die durch Wohn- oder Gewerbeimmobilien besichert sind, eine LGD von 30 % anzusetzen.
6.2b Alternativbehandlung für Immobiliensicherheiten
1) Vorbehaltlich der in diesem und in Abs. 2 festgelegten Anforderungen und alternativ zu der in Ziff. 6.2a vorgesehenen Behandlung kann die FMA ihren Banken gestatten, für den Teil einer Forderung, der in voller Höhe durch in Liechtenstein gelegene Wohn- oder Gewerbeimmobilien besichert ist, ein Risikogewicht von 50 % zu vergeben, wenn die Verlustraten bei Krediten, die durch Wohn- bzw. Gewerbeimmobilien besichert sind, die folgenden Bedingungen erfüllen:
a) die Verluste bei Krediten, die durch Wohn- oder Gewerbeliegenschaften besichert sind, die auf 50 % des Markt- bzw. Verkehrswertes (oder gegebenenfalls 60 % des Belehnungswertes, sollte dieser niedriger sein) entfallen, gehen in keinem Jahr über 0.3 % der ausstehenden, durch Wohn- und/oder Gewerbeliegenschaften besicherten Kredite hinaus;
b) die Gesamtverluste bei Krediten, die durch Wohn- oder Gewerbeimmobilien besichert sind, gehen in keinem Jahr über 0.5 % der ausstehenden, durch die genannten Immobilien besicherten Kredite hinaus.
2) Wird eine dieser Bedingungen in einem Jahr nicht erfüllt, so ist diese Behandlung so lange auszusetzen, bis die Bedingungen in einem der Folgejahre wieder erfüllt sind.
3) Gestattet die FMA die Behandlung nach Abs. 1 nicht, kann sie ihren Banken jedoch gestatten, die bei dieser Behandlung zulässigen Risikogewichte auf Forderungen anzuwenden, die durch Wohn- bzw. Gewerbeliegenschaften besichert sind, welche sich im Gebiet eines EWR-Landes oder der Schweiz befinden, deren zuständige Behörden die genannte Behandlung zulassen. In einem solchen Fall gelten die gleichen Bedingungen wie in diesen EWR-Ländern oder der Schweiz.
7. Berechnung der risikogewichteten Forderungsbeträge und erwarteten Verlustbeträge bei gemischten Sicherheitenpools
1) Wenn die risikogewichteten Forderungsbeträge und erwarteten Verlustbeträge nach dem IRB-Ansatz berechnet werden und eine Forderung sowohl durch finanzielle als auch durch andere zulässige Sicherheiten abgesichert ist, wird die LGD* (effektive Verlustquote bei Ausfall), die für die Zwecke des Abschnitts 2 dieses Anhangs gleich der LGD ist, nach Abs. 2 und 3 berechnet.
2) Die Bank ist verpflichtet, den volatilitätsangepassten Wert der Forderung (d.h. den Wert, der sich nach der Volatilitätsanpassung nach Ziff. 5.2b ergibt) in verschiedene, mit je einer Art von Sicherheit unterlegte Anteile aufzuteilen. Die Bank muss die Forderung also in einen durch anerkennungsfähige finanzielle Sicherheiten unterlegten Anteil, einen durch Forderungsabtretungen besicherten Anteil, einen durch gewerbliche und einen durch Wohnimmobilien besicherten Anteil, einen durch sonstige Sicherheiten unterlegten Anteil und einen unbesicherten Anteil zerlegen.
3) LGD* wird nach den einschlägigen Bestimmungen dieses Abschnitts für jeden dieser Anteile gesondert berechnet.
8. Andere Formen der Besicherung mit Sicherheitsleistung
1) Sind bei Einlagen von Drittbanken die in Teil 2 Ziff. 9.1 dieses Abschnittes genannten Voraussetzungen erfüllt, kann eine Besicherung im Sinne von Teil 1 Ziff. 4 Abs. 1 dieses Abschnitts wie eine Garantie einer Drittbank behandelt werden.
2) Sind bei an die kreditgebende Bank verpfändeten Lebensversicherungen die in Teil 2 Ziff. 9.2 dieses Abschnitts genannten Voraussetzungen erfüllt, so kann eine Besicherung im Sinne von Teil 1 Ziff. 4 Abs. 2 wie eine Garantie des betreffenden Lebensversicherers behandelt werden. Der Wert der anerkannten Besicherung ist der Rückkaufswert der Versicherung.
3) Nach Teil 1 Ziff. 4 Abs. 3 dieses Abschnitts anerkennungsfähige, von einer anderen Bank selbst ausgegebene Titel, die diese auf Anforderung zurückkaufen muss, können wie eine Garantie der emittierenden Bank behandelt werden. Der Wert der anerkannten Besicherung ist dabei Folgender:
a) wird der Titel zu seinem Nennwert zurückgekauft, so gilt als Besicherungswert dieser Betrag;
b) wird der Titel zum Marktpreis zurückgekauft, so wird der Besicherungswert nach dem gleichen Verfahren ermittelt wie bei den in Teil 1 Ziff. 3.2 Abs. 4 dieses Abschnitts genannten Schuldverschreibungen.
III. Absicherung ohne Sicherheitsleistung
9. Bewertung
1) Bei einer Absicherung ohne Sicherheitsleistung gilt als Wert der Absicherung (G) der Betrag, zu dessen Zahlung sich der Sicherungsgeber für den Fall verpflichtet hat, dass der Kreditnehmer ausfällt, seinen Zahlungsverpflichtungen nicht nachkommt oder ein bestimmtes anderes Kreditereignis eintritt. Bei Kreditderivaten, bei denen eine Neustrukturierung der zugrunde liegenden Forderung, verbunden mit einem Erlass oder einer Stundung des Kapitals (Darlehenssumme), der Zinsen oder der Gebühren, die zu einem Verlust auf Seiten des Kreditgebers führt (d.h. einer Wertberichtigung oder ähnlichen Buchung in der Erfolgsrechnung), nicht als Kreditereignis gilt:
a) wird der nach dem ersten Satz ermittelte Wert der Absicherung um 40 % herabgesetzt, wenn der Betrag, zu dessen Zahlung sich der Sicherungsgeber verpflichtet hat, den Forderungswert nicht übersteigt;
b) darf der Wert der Absicherung höchstens 60 % des Forderungswertes betragen, wenn der Betrag, zu dessen Zahlung sich der Sicherungsgeber verpflichtet hat, den Forderungswert übersteigt.
2) Lautet eine Absicherung ohne Sicherheitsleistung (Garantie, Kreditderivat) auf eine andere Währung als die abzusichernde Forderung (Kredit) selbst (Währungsinkongruenz), so wird der Wert der Absicherung mit Hilfe einer Volatilitätsanpassung H
FX
wie folgt herabgesetzt:
G* = G x (1-HFX)
Dabei ist:
G der Nominalbetrag der Kreditabsicherung,
G* der an etwaige Fremdwährungsrisiken angepasste Wert G und
HFXdie Volatilitätsanpassung für etwaige Währungsinkongruenzen zwischen der Kreditabsicherung und der zugrunde liegenden Forderung.
Wenn keine Währungsinkongruenz vorliegt, gilt
G* = G
3) Die bei Währungsinkongruenzen vorzunehmenden Volatilitätsanpassungen können nach der auf aufsichtlichen Vorgaben oder der auf eigenen Schätzungen beruhenden Methode (siehe Ziff. 5.2c bis 5.2h) ermittelt werden.
10. Berechnung der risikogewichteten Forderungsbeträge und erwarteten Verlustbeträge
10.1 Partielle Absicherung - Unterteilung in Tranchen
Überträgt die Bank einen Teil des Kreditrisikos in einer oder mehreren Tranchen, so gelten die in den Art. 47 bis 53 festgelegten Regeln. Materialitätsgrenzen für Zahlungen, unterhalb derer im Falle eines Verlusts keine Zahlungen geleistet werden, werden mit zurückbehaltenen First-Loss-Positionen gleichgesetzt und als Risikotransfer in Tranchen betrachtet.
10.2 Standardansatz
1) Im Rahmen des Standardansatzes ist g das Risikogewicht, das einer Forderung zugeteilt wird, die gänzlich (vollständige Absicherung) durch eine Absicherung ohne Sicherheitsleistung abgesichert ist (GA). Dabei ist g das in den Vorschriften über den Standardansatz genannte Risikogewicht von Forderungen an den Sicherungsgeber, und GAder nach Ziff. 9 ermittelte Wert G*, der nach Massgabe des Teils 4 dieses Abschnittes an etwaige Laufzeiteninkongruenzen angepasst wird.
2) Wenn der abgesicherte Betrag geringer als der Forderungsbetrag ist und der abgesicherte und der nicht abgesicherte Teil gleichrangig sind - d.h. die Bank und der Sicherungsgeber die Verluste anteilig tragen (Partielle Absicherung - Gleichrangigkeit), wird die Eigenkapitalerleichterung auf anteiliger Basis gewährt. Die risikogewichteten Forderungsbeträge werden im Standardansatz nach folgender Formel berechnet:
(E-GA) x r + GAx g
Dabei ist:
E der Forderungswert,
GAder nach Ziff. 9 ermittelte Wert G*, der nach Massgabe des Teils 4 dieses Abschnittes an etwaige Laufzeiteninkongruenzen angepasst wird,
r das in den Bestimmungen über den Standardansatz genannte Risikogewicht von Forderungen gegenüber dem Schuldner,
g das in den Bestimmungen über den Standardansatz genannte Risikogewicht von Forderungen gegenüber dem Sicherungsgeber.
3) Die FMA kann die in Art. 60 Abs. 3 und 4 vorgesehene Behandlung auf Forderungen oder Teile von Forderungen ausdehnen, für die eine Garantie der Zentralregierung oder der Zentralbank besteht und diese Garantie auf die Landeswährung des Kreditnehmers lautet und auch in dieser Währung abgesichert ist.
10.3 IRB-Ansatz
Vollständige Absicherung / Partielle Absicherung - Gleichrangigkeit
1) Für den abgesicherten Teil der Forderung (basierend auf dem angepassten Wert der Kreditabsicherung GA) kann für den Fall, dass eine vollständige Substitution nicht gerechtfertigt erscheint, für die Zwecke des Abschnittes 2 Teil 2 dieses Anhangs als PD die PD des Sicherungsgebers oder eine PD zwischen der des Kreditnehmers und der des Garanten angesetzt werden. Bei nachrangigen Forderungen und einer nicht nachrangigen Absicherung ohne Sicherheitsleistung kann für die Zwecke des Abschnittes 2 Teil 2 dieses Anhangs als LGD die LGD vorrangiger Forderungen herangezogen werden.
2) Für jeden nicht abgesicherten Teil der Forderung wird als PD die PD des Kreditnehmers und als LGD die LGD der zugrunde liegenden Forderung verwendet.
3) G
Aist der nach Ziff. 9 ermittelte Wert G*, der nach Massgabe des Teils 4 dieses Abschnittes an etwaige Laufzeiteninkongruenzen angepasst wird.
Teil 4: Laufzeiteninkongruenz
I. Im Allgemeinen
1. Begriff und Anerkennung
1) Bei der Berechnung der risikogewichteten Forderungsbeträge liegt eine Laufzeiteninkongruenz dann vor, wenn die Restlaufzeit der Kreditabsicherung kürzer ist als die Restlaufzeit der abgesicherten Forderung. Eine Absicherung mit einer Restlaufzeit von weniger als drei Monaten, deren Laufzeit kürzer ist als die Laufzeit der abgesicherten Forderung, wird nicht anerkannt.
2) Liegt eine Laufzeiteninkongruenz vor, so wird die Kreditabsicherung nicht anerkannt, wenn:
a) die Ursprungslaufzeit der Absicherung weniger als ein Jahr beträgt; oder
b) es sich bei der Forderung um eine kurzfristige Forderung handelt, bei der nach den Vorgaben der FMA für die effektive Restlaufzeit (M) nach Abschnitt 2 Teil 2 Ziff. 2.3 Abs. 3 dieses Anhangs anstelle der Untergrenze von einem Jahr eine Untergrenze von einem Tag gilt.
2. Definition der Laufzeit
1) Vorbehaltlich einer Höchstgrenze von 5 Jahren entspricht die effektive Laufzeit der zugrunde liegenden Forderung dem Zeitraum, nach dessen Ablauf der Schuldner seine Verpflichtungen spätestens erfüllt haben muss. Vorbehaltlich Abs. 2 entspricht die Laufzeit der Kreditabsicherung dem Zeitraum bis zum frühestmöglichen Termin der Beendigung bzw. Kündigung der Absicherung.
2) Hat der Sicherungsgeber eine Kündigungsmöglichkeit, so entspricht die Laufzeit der Absicherung dem Zeitraum bis zum frühestmöglichen Kündigungstermin. Hat der Sicherungsnehmer eine Kündigungsmöglichkeit und bieten die vertraglichen Konditionen bei Abschluss des Sicherungsgeschäfts der Bank einen Anreiz, die Transaktion vor Ablauf der Vertragslaufzeit zu kündigen, so wird der Zeitraum bis zum frühestmöglichen Kündigungstermin als Laufzeit der Absicherung angenommen; in allen anderen Fällen kann angenommen werden, dass sich die Kündigungsmöglichkeit nicht auf die Laufzeit der Absicherung auswirkt.
3) Darf das Kreditderivat vor Ablauf der Toleranzzeiträume enden, die zur Feststellung eines Ausfalls wegen Zahlungsversäumnis bei der zugrunde liegenden Verpflichtung erforderlich sind, so ist die Laufzeit der Absicherung um die Dauer des Toleranzzeitraums herabzusetzen.
II. Bewertung der Absicherung
3. Durch finanzielle Sicherheiten abgesicherte Geschäfte - einfache Methode (Financial Collateral Simple Method)
Liegt eine Inkongruenz zwischen der Laufzeit der Forderung und der Laufzeit der Absicherung vor, so wird die Sicherheit nicht anerkannt.
4. Durch finanzielle Sicherheiten abgesicherte Geschäfte - umfassende Methode (Financial Collateral Comprehensive Method)
Die Laufzeit der Kreditabsicherung und die Laufzeit der Forderung müssen nach folgender Formel im angepassten Wert der Sicherheit berücksichtigt werden:
CVAM= CVAx (t-t*)/(T-t*)
Dabei ist:
CVAgleich dem volatilitätsangepassten Wert der Sicherheit nach Teil 3 Ziff. 5.2b dieses Abschnittes oder gleich dem Forderungsbetrag, wenn dieser niedriger ist,
t gleich der verbleibenden Anzahl von Jahren bis zu dem nach Ziff. 2 bestimmten Fälligkeitstermin der Kreditabsicherung oder gleich T, wenn dieser Wert niedriger ist,
T gleich der verbleibenden Anzahl von Jahren bis zu dem nach Ziff. 2 bestimmten Fälligkeitstermin der Forderung oder gleich 5 Jahre, wenn dieser Wert niedriger ist, und
t* gleich 0.25.
C
VAMwird als C
VA, zusätzlich angepasst um Laufzeiteninkongruenz, in der Formel für die Berechnung des vollständig angepassten Forderungswerts (E*) nach Teil 3 Ziff. 5.2b dieses Abschnittes zugrunde gelegt.
5. Ohne Sicherheiten abgesicherte Geschäfte
1) Die Laufzeit der Kreditabsicherung und die Laufzeit der Forderung müssen nach folgender Formel im angepassten Wert der Kreditabsicherung berücksichtigt werden:
GA= G* x (t-t*)/(T-t*)
Dabei ist:
G* gleich dem um Währungsinkongruenz angepassten Betrag der Absicherung,
GAgleich G* angepasst um Laufzeiteninkongruenz,
t gleich der verbleibenden Anzahl von Jahren bis zu dem nach Ziff. 2 bestimmten Fälligkeitstermin der Kreditabsicherung oder gleich T, wenn dieser Wert niedriger ist,
T gleich der verbleibenden Anzahl von Jahren bis zu dem nach Ziff. 2 bestimmten Fälligkeitstermin der Forderung oder gleich 5 Jahre, wenn dieser Wert niedriger ist, und
t* gleich 0.25.
G
Awird für die Zwecke von Teil 3 Ziff. 9 bis 10.3 dieses Abschnittes als Wert der Absicherung zugrunde gelegt.
Teil 5: Kombinierte Kreditrisikominderung beim Standardansatz
1) Nutzt eine Bank, die risikogewichtete Forderungsbeträge nach dem Standardansatz berechnet, für ein und dieselbe Forderung mehrere Arten der Risikominderung (z.B. wenn sie eine Forderung teilweise über Sicherheiten und teilweise über eine Garantie absichert), so ist sie verpflichtet, die Forderung in die einzelnen, jeweils durch ein einziges Kreditrisikominderungsinstrument gedeckten Bestandteile aufzuteilen (z.B. in einen durch eine Sicherheit gedeckten Anteil und einen durch eine Garantie abgesicherten Anteil) und den risikogewichteten Forderungsbetrag für jeden Anteil nach den Vorschriften über den Standardansatz sowie nach den Bestimmungen des Abschnittes 3 dieses Anhangs separat zu ermitteln.
2) Setzt sich eine von einem einzelnen Sicherungsgeber gewährte Kreditabsicherung aus Teilen mit unterschiedlicher Laufzeit zusammen, so ist analog zu Abs. 1 zu verfahren.
Teil 6: Kreditrisikominderungstechniken für Forderungskörbe
1. Erstausfall-Kreditderivate (First-to-Default Credit Derivatives)
Erwirbt eine Bank eine Kreditabsicherung für einen Forderungskorb in der Weise, dass der erste bei diesen Forderungen auftretende Ausfall die Zahlung auslöst und dieses Kreditereignis auch den Kontrakt beendet, so kann die Bank die Berechnung des risikogewichteten Forderungsbetrags und gegebenenfalls des erwarteten Verlustbetrags der Forderung, die ohne die Kreditabsicherung den niedrigsten risikogewichteten Forderungsbetrag nach dem Standard- bzw. dem IRB-Ansatz ergeben würde, nach dem Abschnitt 3 dieses Anhangs ändern, sofern der Forderungsbetrag den Wert der Kreditabsicherung nicht übersteigt.
2. N-ter-Ausfall-Kreditderivate (Nth-to-Default Credit Derivatives)
Löst der n-te bei diesen Forderungen auftretende Ausfall die Zahlung aus, so darf die die Absicherung erwerbende Bank diese Absicherung bei der Berechnung der risikogewichteten Forderungsbeträge und gegebenenfalls der erwarteten Verlustbeträge nur dann berücksichtigen, wenn die Absicherung auch für die Ausfälle 1 bis n-1 erworben wurde oder wenn bereits n-1 Ausfälle eingetreten sind. In diesen Fällen ist analog zu Ziff. 1 zu verfahren, mit entsprechenden Anpassungen für n-ter-Ausfall-Produkte.
Abschnitt 4: Verbriefung
Teil 1: Begriffsbestimmungen
1. Definitionen
1) Im Sinne dieses Abschnittes bedeuten:
a) "Excess Spread" ("Zinsüberschuss"): die Zins- sowie andere Provisionseinnahmen, die bezüglich der verbrieften Forderungen vereinnahmt werden, abzüglich der zu zahlenden Kosten und Gebühren;
b) "Clean-up call option" ("Rückführungsoption"): eine vertragliche Option für den Originator, der zufolge er die Verbriefungspositionen zurückkaufen oder aufheben kann, bevor alle zugrunde liegenden Forderungen zurückgezahlt wurden, falls der Restbetrag der noch ausstehenden Forderungen unter einen bestimmten Grenzwert fällt;
c) "Liquiditätsfazilität": die Verbriefungsposition, die sich aus einer vertraglichen Vereinbarung ergibt, mit der die Finanzierung zur zeitgerechten Weiterleitung der Zahlungen an die Anleger gewährleistet werden soll;
d) "Kirb": 8 % der risikogewichteten Forderungsbeträge, die nach dem IRB-Ansatz in Bezug auf die verbrieften Forderungen berechnet würden, wenn diese nicht verbrieft wären, zuzüglich des Betrags der erwarteten Verluste, die mit diesen Forderungen einhergehen und nach diesen Bestimmungen berechnet werden;
e) "Ratingsbasierter Ansatz": die Methode zur Berechnung der risikogewichteten Forderungsbeträge für Verbriefungspositionen im Sinne von Teil 4 Ziff. 12 dieses Abschnittes;
f) "Aufsichtlicher Formelansatz": die Methode zur Berechnung der risikogewichteten Forderungsbeträge für Verbriefungspositionen im Sinne von Teil 4 Ziff. 13 dieses Abschnittes;
g) "Position ohne Rating": eine Verbriefungsposition, die kein qualifiziertes Rating von Seiten einer anerkannten Ratingagentur (ECAI) im Sinne von Art. 50 erhalten hat;
h) "Position mit Rating": eine Verbriefungsposition, die ein qualifiziertes Rating von Seiten einer anerkannten Ratingagentur (ECAI) im Sinne von Art. 50 erhalten hat;
i) "Asset-backed commercial paper programme" ("ABCP"-Programm): ein Verbriefungsprogramm, wobei die emittierten Wertpapiere in erster Linie die Form eines "commercial paper" mit einer ursprünglichen Laufzeit von einem Jahr oder weniger haben.
Teil 2: Mindestanforderungen für die Anerkennung eines wesentlichen Kreditrisikotransfers und Berechnung der risikogewichteten Forderungsbeträge und erwarteten Verlustbeträge für verbriefte Forderungen
1. Mindestanforderungen für die Anerkennung eines wesentlichen Kreditrisikotransfers bei einer traditionellen Verbriefung
Die emittierende Bank (Originator) einer traditionellen Verbriefung kann verbriefte Forderungen aus der Berechnung der risikogewichteten Forderungsbeträge und erwarteten Verlustbeträge herausnehmen, wenn ein wesentlicher Teil des Kreditrisikos aus den verbrieften Forderungen auf eine dritte Partei übertragen wurde und der Transfer folgenden Bedingungen genügt:
a) aus den Unterlagen der Verbriefung geht der wirtschaftliche Gehalt der Transaktion hervor;
b) auf die verbrieften Forderungen kann von Seiten des Originators und seiner Gläubiger selbst im Insolvenzfall oder bei ähnlichen Verfahren nicht zurückgegriffen werden. Dies muss durch ein Rechtsgutachten eines qualifizierten Rechtsberaters gestützt werden;
c) die emittierten Wertpapiere stellen keine Zahlungsverpflichtungen des Originators dar;
d) der Erwerber der verbrieften Forderungen ist eine Verbriefungs- Zweckgesellschaft ("securitisation special-purpose entity"/SSPE) für Verbriefungen;
e) der Originator behält nicht die effektive oder indirekte Kontrolle über die übertragenen Forderungen. Bei einem Originator wird davon ausgegangen, dass er die effektive Kontrolle über die übertragenen Forderungen behalten hat, wenn er das Recht hat, vom Erwerber der Forderungen die zuvor übertragenen Forderungen zurückzukaufen, um ihre Gewinne zu realisieren, oder wenn er verpflichtet ist, die übertragenen Risiken erneut zu übernehmen. Die Beibehaltung der Forderungsverwaltung durch den Originator bzw. seine Verpflichtungen in Bezug auf die Forderungen stellen als solche keine indirekte Kontrolle über die Forderungen dar;
f) "Clean-up call"-Optionen müssen die folgenden Bedingungen erfüllen:
1. die Ausübung der "Clean-up call"-Option liegt im Ermessen des Originators;
2. die "Clean-up call"-Option kann nur dann ausgeübt werden, wenn 10 % oder weniger des ursprünglichen Wertes der verbrieften Forderungen noch ausstehend sind; und
3. die "Clean-up call"-Option ist nicht so strukturiert, dass mit ihr die Zuweisung von Verlusten zu Bonitätsverbesserungspositionen oder anderen von den Anlegern gehaltenen Positionen vermieden wird, und ist auch nicht anderweitig im Hinblick auf eine Bonitätsverbesserung hin strukturiert;
g) die Unterlagen der Verbriefung enthalten keinerlei Klauseln, denen zufolge:
1. anders als im Falle der vorzeitigen Tilgungsklauseln Verbriefungspositionen vom Originator verbessert werden müssen, was auch eine Veränderung der zugrundeliegenden Kreditforderungen oder eine Aufstockung der an die Anleger zu zahlenden Rendite beinhalten würde (aber nicht darauf beschränkt ist), wenn es zu einer Verschlechterung der Kreditqualität der verbrieften Forderungen kommt; oder
2. die an die Inhaber von Verbriefungspositionen zu zahlende Rendite aufzustocken wäre, wenn es zu einer Verschlechterung der Kreditqualität des Forderungspools käme.
2. Mindestanforderungen für die Anerkennung eines wesentlichen Kreditrisikotransfers bei einer synthetischen Verbriefung
Der Originator einer synthetischen Verbriefung kann die risikogewichteten Forderungsbeträge und gegebenefalls die erwarteten Verlustbeträge für die verbrieften Forderungen nach Ziff. 3 berechnen, wenn ein wesentlicher Teil des Kreditrisikos auf Dritte entweder mittels einer Besicherung mit oder einer Besicherung ohne Sicherheitsleistung übertragen wurde und der Transfer folgende Bedingungen erfüllt:
a) aus den Unterlagen der Verbriefung geht der wirtschaftliche Gehalt der Transaktion hervor;
b) die Kreditbesicherung, mittels derer das Kreditrisiko übertragen wird, entspricht den Kriterien für die Anerkennungsfähigkeit und anderen in den Art. 55 bis 57 genannten Anforderungen für die Anerkennung einer solchen Besicherung. In diesem Sinne werden Zweckgesellschaften (SPE) nicht als geeignete Bereitsteller von Besicherungen ohne Sicherheitsleistungen anerkannt;
c) die für den Transfer des Kreditrisikos verwendeten Instrumente enthalten keine Bestimmungen oder Bedingungen, denen zufolge:
1. wesentliche Materialitätsschwellen vorgeschrieben werden, unter denen die Kreditbesicherung nicht ausgelöst werden dürfte, wenn ein Kreditereignis eintritt;
2. infolge der Verschlechterung der Kreditqualität der zugrunde liegenden Forderungen eine Beendigung der Besicherung möglich ist;
3. anders als im Falle der vorzeitigen Tilgungsklauseln Verbriefungspositionen vom Originator verbessert werden müssen;
4. die Kosten der Bank für die Besicherung stiegen bzw. die an die Inhaber von Verbriefungspositionen zu zahlende Rendite aufzustocken wäre, wenn es zu einer Verschlechterung der Kreditqualität des Forderungspools käme;
d) dies muss durch ein Rechtsgutachten eines qualifizierten Rechtsberaters gestützt werden, in dem bestätigt wird, dass die Kreditbesicherung in allen relevanten Rechtsordnungen rechtlich durchsetzbar ist.
3. Berechnung der risikogewichteten Forderungsbeträge für Forderungen, die im Rahmen einer synthetischen Verbriefung besichert sind, durch den Originator
1) Bei der Berechnung der risikogewichteten Forderungsbeträge für verbriefte Forderungen, bei denen die Bedingungen von Ziff. 2 erfüllt sind, hat der Originator einer synthetischen Verbriefung im Sinne von Ziff. 4 die entsprechenden Berechnungsmethoden von Teil 4 zu verwenden. Für Banken, die die risikogewichteten Forderungsbeträge und erwarteten Verlustbeträge nach dem IRB-Ansatz berechnen, liegt der erwartete Verlustbetrag für derlei Forderungen bei Null.
2) Aus Gründen der Klarheit bezieht sich Abs. 1 auf den gesamten Forderungspool, der Gegenstand der Verbriefung ist. Vorbehaltlich Ziff. 4 ist der Originator gehalten, die risikogewichteten Forderungsbeträge in Bezug auf alle Verbriefungstranchen zu berechnen. Dies hat in Übereinstimmung mit den Bestimmungen von Teil 4 zu erfolgen, einschliesslich jener, die sich auf die Anerkennung der Kreditrisikominderung beziehen. Wird beispielsweise eine Tranche mit Hilfe einer Besicherung ohne Sicherheitsleistung auf einen Dritten übertragen, wird das Risikogewicht dieses Dritten auf die Tranche bei der Berechnung der risikogewichteten Forderungsbeträge durch den Originator angewandt.
4. Behandlung der Laufzeitinkongruenzen bei synthetischen Verbriefungen
1) Zum Zwecke der Berechnung der risikogewichteten Forderungsbeträge in Übereinstimmung mit Ziff. 3 Abs. 1 wird jede Laufzeitinkongruenz zwischen der Kreditbesicherung, durch die die Tranchenbildung erreicht wird, und den verbrieften Forderungen in Übereinstimmung mit Abs. 2 bis 4 berücksichtigt.
2) In Bezug auf die Fälligkeit der verbrieften Forderungen wird die jeweils längste Fälligkeit dieser Positionen angesetzt, vorbehaltlich einer maximalen Dauer von fünf Jahren. Die Fälligkeit der Kreditbesicherung wird nach Abschnitt 3 dieses Anhangs festgelegt.
3) Ein Originator hat jede Laufzeitinkongruenz bei der Berechnung der risikogewichteten Forderungsbeträge für Tranchen ausser Acht zu lassen, die im Rahmen von Teil 4 mit einem Risikogewicht von 1250 % belegt werden. Für alle anderen Tranchen erfolgt die Behandlung im Sinne der Laufzeitinkongruenz, die Gegenstand von Abschnitt 3 dieses Anhangs ist, nach der folgenden Formel:
RW* ist [RW(SP) x (t-t*)/(T-t*)] + [RW(Ass) x (T-t)/(T-t*)]
In diesem Sinne ist/sind:
RW* die risikogewichteten Forderungsbeträge;
RW(Ass) die risikogewichteten Forderungsbeträge für Forderungen, wenn sie nicht verbrieft wären, berechnet auf einer anteilsmässigen Basis;
RW(SP) die risikogewichteten Forderungsbeträge nach der Berechnung unter Ziff. 3 Abs. 1, sofern keine Laufzeitinkongruenz vorlag;
T die Fälligkeit der zugrunde liegenden Forderungen, ausgedrückt in Jahren;
t die Fälligkeit der Kreditbesicherung, ausgedrückt in Jahren; t* 0.25.
Teil 3: Externe Kreditbewertung (Rating)
1. Anforderungen, die für die Ratings von ECAI ("External Credit Assessment Institutions"/Externe Ratingagenturen) einzuhalten sind
Im Hinblick auf die Berechnung der risikogewichteten Forderungsbeträge im Rahmen von Teil 4 dieses Abschnitts hat ein Rating durch eine anerkannte ECAI die folgenden Bedingungen zu erfüllen:
a) es gibt keine Inkongruenz zwischen den Arten der Zahlungen, die in das Rating eingeflossen sind, und jenen Zahlungen, die der Bank im Rahmen des Vertrages zu stehen, der zu der besagten Verbriefungsposition geführt hat;
b) es ist auf dem Markt öffentlich verfügbar. Ratings werden nur dann als öffentlich verfügbar angesehen, wenn sie im Rahmen eines öffentlich zugänglichen Forums veröffentlicht wurden und sie in die Übergangsmatrix der ECAI eingeflossen sind. Ratings, die nur einem begrenzten Kreis von Unternehmen zur Verfügung gestellt werden, gelten nicht als öffentlich verfügbar.
2. Verwendung von Ratings
1) Eine Bank kann eine oder mehrere anerkannte externe Ratingagenturen (ECAI) benennen, deren Rating/s bei der Berechnung der risikogewichteten Forderungsbeträge im Rahmen von Art. 47 bis 53 zugrunde gelegt werden ("benannte ECAI").
2) Vorbehaltlich Abs. 4 bis 6 muss eine Bank das Rating bestellter ECAIs durchgängig auf seine Verbriefungspositionen anwenden.
3) Vorbehaltlich Abs. 4 und 5 darf eine Bank kein ECAI-Rating für seine Positionen in einzelnen Tranchen und das Rating einer anderen ECAI für Positionen in anderen Tranchen innerhalb derselben Struktur verwenden, die durch die erste ECAI ein Rating erhalten haben oder auch nicht.
4) In Fällen, in denen eine Position zwei Ratings durch benannte ECAIs erhalten hat, muss die Bank das weniger günstige Rating verwenden.
5) In Fällen, in denen eine Position mehr als zwei Ratings durch benannte ECAIs erhalten hat, sind die zwei günstigsten Ratings zu verwenden. Bestehen zwischen den beiden günstigsten Ratings Unterschiede, ist das weniger günstige Rating zugrunde zu legen.
6) Wird eine nach Art. 55 bis 57 zulässige Kreditbesicherung direkt für eine SSPE erbracht und dieser Besicherung wurde beim Rating einer Position durch eine benannte ECAI Rechnung getragen, kann das mit diesem Rating verbundene Risikogewicht verwendet werden. Ist die Besicherung nach Art. 55 bis 57 nicht zulässig, wird das Rating nicht anerkannt. Für den Fall, dass die Besicherung nicht für eine SSPE, sondern vielmehr direkt für eine Verbriefungsposition vorgenommen wird, wird das Rating nicht anerkannt.
3. Zuordnungsverfahren
1) Die FMA legt fest, mit welcher der in den Tabellen in Teil 4 dieses Abschnitts genannten Bonitätsstufe jedes Rating einer anerkannten ECAI belegt wird. Dabei muss die FMA zwischen den relativen Risikograden unterscheiden, die durch jedes Rating zum Ausdruck gebracht werden. So muss sie quantitative Faktoren wie Ausfall und/oder Verlustraten und qualitative Faktoren wie das Spektrum der Transaktionen berücksichtigen, die von der ECAI bewertet werden, sowie die Bedeutung des Ratings.
2) Die FMA versucht sicherzustellen, dass die Verbriefungspositionen, die aufgrund der Ratings anerkannter ECAIs mit dem gleichen Risikogewicht belegt sind, äquivalente Kreditrisikograde aufweisen. Dies kann bedeuten, dass sie gegebenenfalls die Festlegung der Bonitätsstufe ändern, die an ein bestimmtes Rating gebunden ist.
Teil 4: Berechnung
I. Berechnung risikogewichteter Forderungsbeträge
1. Allgemeines
1) Im Sinne von Art. 49 werden die risikogewichteten Forderungsbeträge einer Verbriefungsposition berechnet, indem auf den Forderungswert der Position das relevante nach diesem Teil genannte Risikogewicht angewandt wird.
2) Vorbehaltlich Abs. 3:
a) ist der Forderungswert einer in der Bilanz ausgewiesenen Verbriefungsposition ihr Bilanzwert, sofern eine Bank die risikogewichteten Forderungsbeträge nach Ziff. 2 bis 9 berechnet;
b) wird der Forderungswert einer in der Bilanz ausgewiesenen Verbriefungsposition als Bruttobetrag vor Wertberichtigungen gemessen, sofern eine Bank die risikogewichteten Forderungsbeträge nach Ziff. 10 bis 18 berechnet;
c) ist der Forderungsbetrag einer bilanzunwirksamen Verbriefungsposition ihr Nominalwert, multipliziert mit einem in diesem Abschnitt 4 beschriebenen Konversionsfaktor. Soweit nicht anderweitig spezifiziert beträgt dieser Umrechungsfaktor 100 %.
3) Der Forderungswert einer Verbriefungsposition, die sich aus einem in Art. 4 Abs. 1 Ziff. 2. genannten derivativen Instrument ergibt, wird nach Art. 40 bis 46 festgelegt.
4) Ist eine Verbriefungsposition Gegenstand einer Besicherung mit Sicherheitsleistung, kann der Forderungswert dieser Position nach den Bestimmungen von Abschnitt 3 dieses Anhangs und unter dem Vorbehalt wie weiter in diesem Teil 4 von Abschnitt 4 spezifiziert geändert werden.
5) Hat eine Bank zwei oder mehrere sich überschneidende Verbriefungspositionen, ist sie gehalten, in dem Masse, wie diese sich überschneiden, in die Berechnung der risikogewichteten Forderungsbeträge nur die Position oder den Teil einer Position einzubeziehen, die bzw. der die höheren risikogewichteten Forderungsbeträge produziert. In diesem Sinne bedeutet "Überschneidung", dass die Positionen ganz oder teilweise eine Forderung in Bezug auf das gleiche Risiko darstellen, so dass bis zur Grenze der Überschneidung nur eine einzige Forderung besteht.
II. Berechnung risikogewichteter Forderungsbeträge im Rahmen des Standardansatzes
2. Allgemeines
1) Vorbehaltlich Ziff. 3 wird der risikogewichtete Forderungsbetrag einer Verbriefungsposition mit Rating berechnet, indem auf den Forderungswert das mit der Bonitätsstufe bzw. Ratingklasse einhergehende Risikogewicht angewandt wird, welches durch die FMA nach Art. 51 beigemessen wird (siehe auch nachfolgend Tabelle 1 und 2).
Tabelle 1
Positionen, die kein kurzfristiges Rating erhalten haben
|
Bonitätsstufe
|
1
|
2
|
3
|
4
|
5 und darunter
|
|
Risikogewicht
|
20 %
|
50 %
|
100 %
|
350 %
|
1250 %
|
Tabelle 2
Positionen mit kurzfristigem Rating
|
Bonitätsstufe
|
1
|
2
|
3
|
Alle sonstigen Ratings
|
|
Risikogewicht
|
20 %
|
50 %
|
100 %
|
1250 %
|
2) Vorbehaltlich Ziff. 4 bis Ziff. 6.3 wird der risikogewichtete Forderungsbetrag einer Verbriefungsposition ohne Rating durch die Anwendung eines Risikogewichts von 1250 % berechnet.
3. Originierende Banken und Sponsor-Banken
Für eine originierende Bank oder eine Sponsor-Bank können die risikogewichteten Forderungsbeträge, die im Hinblick auf ihre Verbriefungspositionen berechnet werden, auf die risikogewichteten Forderungsbeträge beschränkt werden, die für die verbrieften Forderungen berechnet würden, als wenn sie nicht verbrieft worden wären. Dies gilt vorbehaltlich einer angenommenen Anwendung eines Risikogewichts von 150 % auf alle überfälligen Posten unter den verbrieften Forderungen und Posten unter den verbrieften Forderungen, die zu den "Forderungen mit hohem Risiko" gehören.
4. Behandlung von Positionen ohne Rating
1) Banken mit einer Verbriefungsposition ohne Rating können für die Berechnung des risikogewichteten Forderungsbetrages für diese Position die Behandlung von Abs. 2 zugrunde zu legen, sofern die Zusammensetzung des Pools von verbrieften Forderungen jederzeit bekannt ist.
2) Eine Bank kann das gewichtete Durchschnittsrisikogewicht, das auf die verbrieften Forderungen nach dem Standardansatz von einer Bank, die die Forderungen hielte, angewandt würde, multipliziert mit einem Konzentrationskoeffizienten anwenden. Dieser Konzentrationskoeffizient entspricht der Summe der Nennwerte aller Tranchen, geteilt durch die Summe der Nennwerte der nachrangigen oder gleichwertigen Tranchen in Bezug auf die Tranche, in der die Position gehalten wird, einschliesslich dieser Tranche selbst. Das resultierende Risikogewicht kann nicht über 1250 % liegen bzw. niedriger sein als das Risikogewicht, das auf irgendeine vorrangig geratete Tranche anwendbar ist. Ist eine Bank nicht in der Lage, die Risikogewichte zu bestimmen, die auf die verbrieften Forderungen nachdem Standardansatz anwendbar sind, legt es ein Risikogewicht von 1250 % für die Position zugrunde.
5. Behandlung der Verbriefungspositionen in einer Second-Loss-Tranche oder in einer bessergestellten in einem ABCP ("Asset-backed-commercial-paper")-Programm
1) Vorbehaltlich der Verfügbarkeit einer günstigeren Behandlung im Rahmen der Bestimmungen über Liquiditätsfazilitäten in Ziff. 6.1 bis 6.3 kann eine Bank auf Verbriefungspositionen, die die Bedingungen nach Abs. 2 erfüllen, ein Risikogewicht anwenden, welches das grössere ist von i) 100 % oder ii) dem höchsten Risikogewicht, das auf irgendeine der verbrieften Forderungen von einer Bank, die die Forderungen hielte, nach dem Standardansatz angewandt würde.
2) Für die Nutzung der Behandlung nach Abs. 1 bedarf es der Erfüllung der folgenden Bedingungen:
a) die Verbriefungsposition muss Gegenstand einer Tranche sein, die wirtschaftlich in einer Second-Loss-Position oder einer besseren Position bei der Verbriefung ist, und die First-Loss-Tranche muss eine bedeutende Bonitätsverbesserung für die Second-Loss-Tranche darstellen;
b) die Qualität der Verbriefungsposition muss einer Einstufung als Investment Grade oder besser entsprechen; und
c) die Verbriefungsposition muss von einer Bank gehalten werden, die keine Position in der First-Loss-Tranche hält.
6. Behandlung von Liquiditätsfazilitäten ohne Rating
6.1 Anerkannte Liquiditätsfazilitäten
1) Sofern die folgenden Bedingungen erfüllt sind, kann zur Bestimmung ihres Forderungswerts ein Konversionsfaktor von 20 % auf den Nennwert einer Liquiditätsfazilität mit einer ursprünglichen Laufzeit von einem Jahr oder weniger und ein Konversionsfaktor von 50 % auf den Nennwert einer Liquiditätsfazilität mit einer ursprünglichen Laufzeit von mehr als einem Jahr angewandt werden:
a) die Dokumentation der Liquiditätsfazilität muss eindeutig die Umstände festlegen und begrenzen, unter denen sie in Anspruch genommen werden kann;
b) die Fazilität darf nicht gezogen werden, um Kreditunterstützung zu gewähren, um zum Zeitpunkt der Ziehung bereits eingetretene Verluste abzudecken. Dies gilt z.B. für die Bereitstellung von Liquidität in Bezug auf Forderungen, die zum Zeitpunkt der Ziehung bereits ausgefallen sind oder für den Erwerb von Forderungen oberhalb des Fair Value;
c) die Fazilität darf nicht zur Bereitstellung einer permanenten oder regelmässigen Finanzierung für die Verbriefung verwendet werden;
d) die Rückzahlung von Ziehungen aus der Fazilität darf nicht den Ansprüchen von Anlegern nachgeordnet werden, bei denen es sich nicht um Ansprüche handelt, die sich aus Zinssatz- oder Währungsderivaten, Gebühren oder anderen derartigen Zahlungen ergeben, bzw. sie darf nicht Gegenstand einer Stundungsvereinbarung oder eines Verzichts sein;
e) die Fazilität kann nicht mehr gezogen werden, nachdem alle anwendbaren Bonitätsverbesserungen, von denen die Liquiditätsfazilität begünstigt wird, aufgebraucht sind;
f) die Fazilität muss eine Bestimmung enthalten, der zufolge eine automatische Reduzierung des Betrags, der gezogen werden kann, in Höhe der Forderungen, die bereits ausgefallen sind, eintritt. Ausfall ist hier im Sinne des IRB-Ansatzes zu verstehen oder für den Fall, dass ein Pool verbriefter Forderungen aus Instrumenten mit Ratings besteht und die Fazilität beendet wird, wenn die Durchschnittsqualität des Pools unter Investment Grade fällt.
2) Bei dem anzusetzenden Risikogewicht handelt es sich um das höchste Risikogewicht, das im Rahmen des Standardansatzes von einer Bank, die die Forderung hielte, auf irgendeine der verbrieften Forderungen anzuwenden wäre.
6.2 Liquiditätsfazilitäten, die nur im Falle einer allgemeinen Marktstörung gezogen werden können
Um ihren Forderungswert zu bestimmen, kann ein Konversionsfaktor von 0 % auf den Nennwert einer Liquiditätsfazilität angewandt werden, die nur im Falle einer allgemeinen Marktstörung gezogen werden kann (d.h. wenn mehr als eine Zweckgesellschaft im Rahmen verschiedener Transaktionen nicht in der Lage ist, ein fällig werdendes "Commercial Paper" zu erneuern und diese Unfähigkeit nicht das Ergebnis einer Verschlechterung der Kreditqualität der Zweckgesellschaft in Bezug auf ihre verbrieften Forderungen ist), sofern die in Ziff. 6.1 genannten Bedingungen erfüllt sind.
6.3 Barvorschuss-Fazilitäten
Um ihren Forderungswert zu bestimmen, kann ein Konversionsfaktor von 0 % auf den Nennwert einer Liquiditätsfazilität angewandt werden, die uneingeschränkt kündbar ist, sofern die Bedingungen nach Ziff. 6.1 erfüllt sind und die Rückzahlung der Ziehungen der Fazilität vorrangig vor allen anderen Ansprüchen auf Zahlungen aus den verbrieften Forderungen sind.
7. Zusätzliche Kapitalanforderungen für Verbriefungen von revolvierenden Forderungen mit vorzeitigen Tilgungsklauseln
7.1 Grundsätzliches
1) Zusätzlich zu den risikogewichteten Forderungsbeträgen, die bezüglich ihrer Verbriefungspositionen berechnet werden, hat ein Originator einen risikogewichteten Forderungsbetrag nach der in Ziff. 7.1 bis 7.4 bezeichneten Methode zu berechnen, wenn er revolvierende Forderungen in eine Verbriefung verkauft, die vorzeitige Tilgungsklauseln enthält.
2) Die Bank berechnet den risikogewichteten Forderungsbetrag in Bezug auf die Summe aus dem Anteil des Originators und demjenigen des Investors.
3) Bei Verbriefungsstrukturen, bei denen die verbrieften Forderungen sowohl revolvierende als auch nicht-revolvierende Forderungen enthalten, hat der Originator auf den Teil des zugrunde liegenden Pools, der die revolvierenden Forderungen enthält, die nachfolgend genannte Behandlung anzuwenden.
4) In diesem Sinne bedeutet "Anteil des Originators" den Forderungswert dieses fiktiven Teils eines Pools gezogener Beträge, die bei der Verbriefung veräussert werden, wobei sein Anteil in Bezug auf den Betrag des gesamten Pools, der in die Struktur geflossen ist, den Teil der Zahlungen bestimmt, der durch die Einziehung des Nominalbetrages und der Zinsen sowie anderer verbundener Beträge erzeugt wird, der nicht für Zahlungen an jene zur Verfügung steht, die Verbriefungspositionen aus der Verbriefung halten. Um als solcher in Frage zu kommen, darf der Anteil des Originators nicht den Anteilen der Investoren nachgeordnet sein. Unter "Anteil der Investoren" versteht man den Forderungswert des verbleibenden fiktiven Teils des Pools der gezogenen Beträge.
5) Die Forderung der originierenden Bank verbunden mit ihren Rechten in Bezug auf den Anteil des Originators ist nicht als eine Verbriefungsposition zu betrachten, sondern als eine anteilige Forderung gegenüber den verbrieften Forderungen, so als ob diese nicht verbrieft worden wären.
7.2 Ausnahmen von der vorzeitigen Tilgungsbehandlung
Die Originatoren der folgenden Verbriefungstypen sind von der Eigenmittelanforderung nach Ziff. 7.1 Abs. 1 ausgenommen:
a) Verbriefungen von revolvierenden Forderungen, bei denen die Investoren nach wie vor in jeder Hinsicht allen künftigen Ziehungen von Seiten der Kreditnehmer ausgesetzt sind, so dass das Risiko der zugrunde liegenden Fazilitäten nicht an die originierende Bank zurück geht, und zwar auch nach Eintreten eines vorzeitigen Tilgungsfalles;
b) Verbriefungen, bei denen eine vorzeitige Tilgungsklausel nur in Fällen ausgelöst wird, die nicht mit der Wertentwicklung der verbrieften Aktiven oder die der originierenden Bank gebunden sind, wie beispielsweise wichtige Änderungen in den Steuergesetzen und -bestimmungen.
7.3 Maximale Eigenmittelanforderung
1) Für eine originierende Bank, die der Anforderung nach Ziff. 7.1 Abs. 1 unterliegt, soll der Gesamtbetrag der risikogewichteten Forderungsbeträge in Bezug auf ihre Positionen in Anteilen der Investoren sowie der risikogewichteten Forderungsbeträge, die nach Ziff. 7.1 Abs. 1 berechnet werden, nicht höher liegen als der Grössere der nachfolgend genannten Beträge:
a) die risikogewichteten Forderungsbeträge, die im Hinblick auf seine Positionen in Anteilen der Investoren berechnet werden;
b) die risikogewichteten Forderungsbeträge, die im Hinblick auf die verbrieften Forderungen von einer Bank berechnet würden, die die Forderungen hielte, so als wären diese nicht in Höhe eines Betrags verbrieft worden, der den Anteilen der Investoren entspricht.
2) Der in Art. 13 Abs. 3 geforderte Abzug von Nettogewinnen, die sich gegebenenfalls aus der Kapitalisierung künftiger Erträge ergeben, wird nicht im Rahmen des in Abs. 1 genannten Betrages berücksichtigt.
7.4 Berechnung der risikogewichteten Forderungsbeträge
1) Der risikogewichtete Forderungsbetrag, der nach Ziff. 7.1 Abs. 1 zu berechnen ist, wird ermittelt, indem der Betrag der Anteile der Investoren mit dem Produkt aus dem angemessenen Konversionsfaktor, so wie in Abs. 3 bis 8 angegeben, und dem gewichteten Durchschnittsrisikogewicht, das auf die verbrieften Forderungen angewandt werden würde, wären diese nicht verbrieft worden, multipliziert wird.
2) Eine vorzeitige Tilgungsklausel gilt dann als "kontrolliert", wenn die folgenden Bedingungen erfüllt sind:
a) die originierende Bank muss über einen angemessenen Kapital/Liquiditätsplan verfügen, um sicherzustellen, dass sie im Falle einer vorzeitigen Tilgung über ausreichend Kapital und Liquidität verfügt;
b) während der Laufzeit der Transaktion erfolgt eine anteilige Aufteilung zwischen dem Anteil des Originators und dem der Investoren in Bezug auf die Zahlung von Zinsen, Tilgungen, Kosten, Verluste und Verwertungserlöse basierend auf dem Saldo der ausstehenden Forderungen an einem oder mehreren Referenzpunkten im Laufe jeden Monates;
c) der Tilgungszeitraum wird dann als lang genug angesehen, wenn 90 % der zu Beginn des vorzeitigen Tilgungszeitraumes ausstehenden Gesamtforderungen (Anteil des Originators und der Investoren) zurückgezahlt werden können oder als ausgefallen anzusehen sind;
d) das Tempo der Rückzahlung soll nicht schneller sein als unter einer linearen Rückzahlung über die Zeit, die nach Bst. c vorgesehen ist.
3) In Fällen von Verbriefungen, die einer vorzeitigen Tilgungsklausel für Retailkredite unterliegen, die nicht zweckgebunden, uneingeschränkt und fristlos kündbar sind, wobei die vorzeitige Tilgung durch den Stand des Zinsüberschusses ausgelöst wird, der auf ein spezifiziertes Niveau absackt, müssen die Banken den Dreimonatsdurchschnitt des Zinsüberschusses mit dem Zinsüberschussniveau vergleichen, ab dem der Zinsüberschuss zurückbehalten wird.
4) In den Fällen, in denen die Verbriefung keinen Rückhalt des Zinsüberschusses vorsieht, wird das Referenzniveau für den Rückhalt mit einem Wert von 4.5 % Punkten oberhalb desjenigen Standes des Zinsüberschusses angenommen, bei dem die "vorzeitige Tilgung" ausgelöst wird.
5) Der anzuwendende Konversionsfaktor wird durch den Stand des aktuellen Dreimonatsdurchschnitts des Zinsüberschusses nach Tabelle 3 ermittelt.
Tabelle 3
| |
Verbriefungen, die einer kontrollierten vorzeitigen Tilgungsklausel unterliegen
|
Verbriefungen, die einer nicht-kontrollierten vorzeitigen Tilgungsklausel unterliegen
|
|
Dreimonatsdurchschnitt des Zinsüberschusses
|
Konversionsfaktor
|
Konversionsfaktor
|
|
Über Niveau A
|
0 %
|
0 %
|
|
Niveau A
|
1 %
|
5 %
|
|
Niveau B
|
2 %
|
15 %
|
|
Niveau C
|
10 %
|
50 %
|
|
Niveau D
|
20 %
|
100 %
|
|
Niveau E
|
40 %
|
100 %
|
6) In Tabelle 3 beinhaltet "Niveau A" Zinsüberschussniveaus < 133.33 % des Referenzniveaus für den Rückhalt des Zinsüberschusses, aber > bzw. = 100.00 % des Referenzniveaus für den Rückhalt. "Niveau B" beinhaltet Zinsüberschussniveaus < 100.00 % des Referenzniveaus für den Rückhalt des Zinsüberschusses, aber > bzw. = 75 % des Referenzniveaus für den Rückhalt. "Niveau C" beinhaltet Zinsüberschussniveaus < 75 % des Referenzniveaus für den Rückhalt des Zinsüberschusses, aber > bzw. = 50 % des Referenzniveaus für den Rückhalt. "Niveau D" beinhaltet Zinsüberschussniveaus < 50 % des Referenzniveaus für den Rückhalt des Zinsüberschusses, aber > bzw. = 25 % des Referenzniveaus für den Rückhalt. "Niveau E" beinhaltet Zinsüberschussniveaus < 25 % des Referenzniveaus für den Rückhalt des Zinsüberschusses.
7) Bei Verbriefungen mit einer Klausel über die vorzeitige Rückzahlung nicht zweckgebundener, uneingeschränkt und fristlos kündbarer Retail-Kreditlimiten, bei denen die vorzeitige Rückzahlung durch einen quantitativen Wert ausgelöst wird, der sich nicht aus dem 3-Monats-Durchschnitt des Zinsüberschusses herleitet, kann die FMA ganz ähnlich verfahren wie bei der Bestimmung des angegebenen Umrechnungswertes nach Abs. 3 bis 6.
8) Will die FMA bei einer bestimmten Verbriefung nach Abs. 7 verfahren, so unterrichtet sie zuallererst die zuständigen Behörden aller anderen EWR-Länder. Bevor die FMA diese Behandlung in ihre generelle Strategie für Verbriefungen mit Klauseln für die vorzeitige Rückzahlung der beschriebenen Art aufnehmen kann, konsultiert sie die zuständigen Behörden aller anderen EWR-Länder und trägt den von ihnen geäusserten Standpunkten Rechnung. Die FMA macht die geäusserten Standpunkte und die gewählte Vorgehensweise öffentlich bekannt.
9) Auf alle anderen Verbriefungen, die einer kontrollierten vorzeitigen Tilgungsklausel für revolvierende Forderungen unterliegen, wird ein Kreditkonversionsfaktor von 90 % angewendet.
10) Auf alle anderen Verbriefungen, die einer nicht-kontrollierten vorzeitigen Tilgungsklausel für revolvierende Forderungen unterliegen, wird ein Umrechnungsfaktor von 100 % angewandt.
8. Anerkennung der Kreditrisikominderung bei Verbriefungspositionen
Wird für eine Verbriefungsposition eine Kreditbesicherung vorgenommen, kann die Berechnung der risikogewichteten Forderungsbeträge im Sinne von Abschnitt 3 dieses Anhangs geändert werden.
9. Reduzierung der risikogewichteten Forderungsbeträge
1) Banken können in Bezug auf eine Verbriefungsposition, die ein Risikogewicht von 1250 % erhält, den Forderungswert der Position von den Eigenmitteln abziehen. Dies ist eine Alternative zur Berücksichtigung der Position bei der Berechnung der risikogewichteten Forderungsbeträge. Zu diesem Zweck kann die Berechnung des Forderungswertes eine anerkannte Besicherung mit Sicherheitsleistung auf eine in Ziff. 8 genannte Art und Weise widerspiegeln.
2) Macht eine Bank von der in Abs. 1 genannten Alternative Gebrauch, wird 12.5 mal der Betrag, der nach Abs. 1 abgezogen wurde, im Sinne von Ziff. 3 Abs. 2 von jenem Betrag abgezogen, der nach Ziff. 3 Abs. 2 als der höchste risikogewichtete Forderungsbetrag berechnet wurde.
III. Berechnung risikogewichteter Forderungsbeträge im Rahmen des IRB-Ansatzes
10. Rangfolge der Methoden
10.1 Grundsätzliches
1) Im Sinne von Art. 49 wird der risikogewichtete Forderungsbetrag von Verbriefungspositionen nach Ziff. 10.1 Abs. 2 bis Ziff. 18 berechnet.
2) Für eine Position mit Rating bzw. eine Position, für die ein abgeleitetes Rating verwendet werden kann, wird der ratingbasierte Ansatz nach Ziff. 12 zur Berechnung des risikogewichteten Forderungsbetrags herangezogen.
3) Für eine Position ohne Rating wird der aufsichtliche Formelansatz nach Ziff. 13 zugrunde gelegt, es sei denn, der interne Bemessungsansatz nach Ziff. 10.3 ist zulässig.
4) Eine Bank, die keine originierende Bank oder Sponsor-Bank ist, darf den aufsichtlichen Formelansatz nur mit Zustimmung der FMA verwenden.
5) Im Falle einer originierenden oder einer Sponsor-Bank, die Kirb nicht berechnen kann und die nicht die Erlaubnis zur Verwendung des internen Bemessungsansatzes für Positionen in ABCP-Programmen erhalten hat, bzw. im Falle von anderen Banken, die nicht die Erlaubnis zur Verwendung des aufsichtlichen Formelansatzes bzw. für Positionen in ABCP-Programmen des internen Bemessungsansatzes erhalten haben, wird ein Risikogewicht von 1250 % auf Verbriefungspositionen angewandt, die kein Rating haben und für die auch kein abgeleitetes Rating verwendet werden darf.
10.2 Verwendung abgeleiteter Ratings
Wenn die folgenden operationellen Mindestanforderungen eingehalten werden, überträgt eine Bank ein abgeleitetes Rating auf eine Position ohne Rating, wobei das abgeleitete Rating dem Rating der Positionen mit Rating (die "Referenzpositionen") entspricht, bei denen es sich um die vorrangigsten Positionen handelt, die in jeder Hinsicht der besagten Verbriefungsposition ohne Rating nachgeordnet sind:
a) die Referenzpositionen müssen in jeder Hinsicht der Verbriefungstranche ohne Rating nachgeordnet sein;
b) die Fälligkeit der Referenzpositionen muss derjenigen der besagten Position ohne Rating entsprechen oder länger sein;
c) ein abgeleitetes Rating muss auf laufender Basis aktualisiert werden, um den Veränderungen des Ratings bei den Referenz-Verbriefungspositionen Rechnung zu tragen.
10.3 Der "Interne Bemessungsansatz" für Positionen in ABCP-Programmen
1) Vorbehaltlich der Zustimmung seitens der FMA kann eine Bank unter Wahrung der folgenden Bedingungen einer Position ohne Rating in einem "Asset-backed-commercial-paper"-Programm ein abgeleitetes Rating im Sinne von Abs. 2 übertragen:
a) Positionen im "Commercial Paper", die vom Programm emittiert sind, sind Positionen mit Rating;
b) die Bank überzeugt die FMA, dass ihre interne Bemessung der Kreditqualität der Position der öffentlich verfügbaren Bemessungsmethode einer oder mehrerer anerkannter ECAI entspricht, wenn es um das Rating für Wertpapiere geht, die durch die Forderungen des verbrieften Typs unterlegt sind;
c) die ECAI, deren Methode im Sinne von Bst. b zu entsprechen ist, umfassen jene ECAI, die ein externes Rating für die vom Programm emittierten "Commercial Paper" abgegeben haben. Quantitative Elemente - wie Stressfaktoren -, die bei der Bemessung der Position im Hinblick auf eine spezifische Kreditqualität verwendet werden, müssen mindestens so konservativ sein wie jene, die bei der einschlägigen Bemessungsmethode der besagten ECAI zugrunde gelegt werden;
d) bei der Entwicklung ihrer internen Bemessungsmethode hat eine Bank die relevanten veröffentlichten Ratingmethoden der anerkannten ECAI zu berücksichtigen, die ein Rating für das "Commercial Paper" des ABCP-Programms abgeben. Diese Berücksichtigung ist durch die Bank zu dokumentieren und regelmässig, wie in Bst. g beschrieben, zu aktualisieren;
e) die interne Bemessungsmethode der Bank enthält Ratingstufen, wobei zwischen diesen und den Ratings anerkannter ECAI ein enger Zusammenhang besteht. Diese Entsprechung ist ausdrücklich zu dokumentieren;
f) die interne Bemessungsmethode fliesst in die internen Risikomanagementprozesse der Bank ein, d.h. in ihre Beschlussfassungs-, Managementinformations- und Kapitalallokationsprozesse;
g) interne Revision oder bankengesetzliche Revisionsstelle, ein ECAI bzw. die interne Kreditprüfungsstelle oder Risikomanagementfunktion der Bank nehmen regelmässige Kontrollen des internen Bemessungsprozesses und der Qualität der internen Bemessungen der Kreditqualität der Forderungen der Bank im Rahmen eines ABCP-Programms vor. Führen die interne Revison, die Kreditprüfungsstelle bzw. die Risikomanagementfunktionen einer Bank diese Kontrolle durch, dann sind diese Funktionen unabhängig vom ABCP-Programm-Geschäftszweig und von den Kundenbeziehungen zu sehen;
h) die Bank beobachtet die Entwicklung ihrer internen Ratings im Zeitablauf, um die Güte ihrer internen Bemessungsmethode zu bewerten. Gegebenenfalls sind Anpassungen dieser Methode erforderlich, wenn beispielsweise die Wertentwicklung der Forderungen regelmässig von der von den internen Ratings vorgezeichneten abweicht;
i) das ABCP-Programm umfasst Kreditvergabekriterien in Form von Kredit- und Anlageleitlinien. Bei der Entscheidung über einen Aktiven-Kauf muss der Programmverwalter die Art des zu erwerbenden Aktivums, die Art und den Geldwert der Forderungen, die sich aus der Bereitstellung von Liquiditätsfazilitäten und Bonitätsverbesserungen ergeben, sowie die Verlustverteilung und die rechtliche sowie wirtschaftliche Isolation der von der die Aktiven veräussernden Einrichtung übertragenen Aktiven berücksichtigen. Zudem ist eine Kreditanalyse des Risikoprofils des Aktiven-Verkäufers vorzunehmen, so wie auch eine Analyse der vergangenen und erwarteten künftigen finanziellen Entwicklung, der derzeitigen Marktposition, der erwarteten künftigen Wettbewerbsfähigkeit, des Verschuldungsgrads, der Cashflows, der Zinsdeckung sowie des Schuldenratings einzubeziehen ist. Ferner muss eine Prüfung der Kreditvergabekriterien, der Kundenbetreuungsfähigkeiten und der Inkassoverfahren des Verkäufers erfolgen;
k) die Kreditvergabekriterien des ABCP-Programms werden Mindestanerkennungskriterien für Aktiven festlegen. So gilt insbesondere, dass:
1. der Erwerb von Aktiven, die in hohem Masse überfällig oder ausgefallen sind, ausgeschlossen ist;
2. eine übermässige Konzentration auf einen einzelnen Schuldner oder einen einzelnen geografischen Raum eingeschränkt wird; und
3. die Laufzeit der zu erwerbenden Aktiven begrenzt ist.
l) das ABCP-Programm wird über Inkassostrategien und -prozesse verfügen, die die operationelle Fähigkeit und die Kreditqualität des Servicer berücksichtigen. Das Programm wird das Verkäufer-/Servicer-Risiko mittels verschiedener Methoden mindern, wie z.B. mittels Auslösern, die sich auf die derzeitige Kreditqualität stützen, wodurch eine Vermengung von Mitteln verhindert würde;
m) die aggregierte Verlustschätzung eines Aktivenpools, der im Rahmen eines ABCP-Programms erworben werden soll, muss alle Quellen potenzieller Risiken berücksichtigen, wie das Kredit- und das Verwässerungsrisiko. Wenn die durch den Verkäufer erbrachte Bonitätsverbesserung sich von der Höhe her lediglich auf kreditbezogene Verluste stützt, dann ist eine gesonderte Rückstellung für das Verwässerungsrisiko zu bilden, sofern dieses für einen bestimmten Forderungspool erheblich ist. Bei der Festlegung des erforderlichen Niveaus der Bonitätsverbesserung sind im Programm überdies mehrere Jahre historischer Informationen zu überprüfen, einschliesslich der Verluste, Ausfälle, Verwässerungen und der Umschlagshäufigkeit der Forderungen;
n) das ABCP-Programm wird strukturelle Merkmale, wie z.B. "Abwicklungs"-Auslöser, in den Erwerb von Forderungen integrieren, so dass eine potenzielle Kreditverschlechterung des zugrunde liegenden Portfolios gemindert wird.
Die Anforderung an die Bemessungsmethode der ECAI, der zufolge sie öffentlich verfügbar sein muss, kann von der FMA erlassen werden, wenn sie überzeugt ist, dass aufgrund spezifischer Merkmale der Verbriefung - z.B. ihrer einzigartigen Struktur - nur eine bislang noch nicht öffentlich verfügbare ECAI-Bemessungsmethode vorliegt.
2) Eine Bank kann einer Position ohne Rating eine der in Abs. 1 genannten Ratingstufen zuordnen. Die Position erhält ein zugeordnetes Rating, das den Bonitätsbeurteilungen nach dieser Ratingklasse entspricht, so wie in Abs. 1 festgelegt. Entspricht dieses zugeordnete Rating zu Beginn der Verbriefung dem Niveau Investment Grade oder besser, wird es als dem anerkannten Rating durch eine anerkannte ECAI im Hinblick auf die Berechnung der risikogewichteten Forderungsbeträge gleichwertig angesehen.
11. Höchstgrenze der risikogewichteten Forderungsbeträge
Für eine originierende Bank, eine Sponsor-Bank oder für eine andere Bank, die K
IRBberechnen kann, werden die risikogewichteten Forderungsbeträge in Bezug auf ihre Verbriefungspositionen auf diejenigen beschränkt, die eine Eigenmittelanforderung in Höhe einer Summe von 8 % der risikogewichteten Forderungsbeträge produzieren würden, die wiederum entstehen würden, wenn die verbrieften Aktiven nicht verbrieft wären bzw. in der Bilanz der Bank zuzüglich der erwarteten Verlustbeträge dieser Forderungen ausgewiesen würden.
12. Ratingbasierter Ansatz
1) Im Rahmen des ratingsbasierten Ansatzes wird der risikogewichtete Forderungsbetrag einer Verbriefungsposition mit Rating berechnet, indem auf den Forderungswert das mit 1.06 multiplizierte Risikogewicht angewandt wird, das mit der Bonitätsstufe einhergeht, der das Rating von Seiten der FMA nach Art. 51 zugeordnet ist. Siehe diesbezüglich nachstehende Tabellen 4 und 5.
Tabelle 4
Positionen, die kein kurzfristiges Rating erhalten haben
|
Bonitätsstufe "Credit Quality Step" (CQS)
|
Risikogewicht
|
| |
A
|
B
|
C
|
|
CQS 1
|
7 %
|
12 %
|
20 %
|
|
CQS 2
|
8 %
|
15 %
|
25 %
|
|
CQS 3
|
10 %
|
18 %
|
35 %
|
|
CQS 4
|
12 %
|
20 %
|
35 %
|
|
CQS 5
|
20 %
|
35 %
|
35 %
|
|
CQS 6
|
35 %
|
50 %
|
50 %
|
|
CQS 7
|
60 %
|
75 %
|
75 %
|
|
CQS 8
|
100 %
|
100 %
|
100 %
|
|
CQS 9
|
250 %
|
250 %
|
250 %
|
|
CQS 10
|
425 %
|
425 %
|
425 %
|
|
CQS 11
|
650 %
|
650 %
|
650 %
|
|
Kleiner CQS 111
|
1250 %
|
1250 %
|
1250 %
|
Tabelle 5
Positionen, die ein kurzfristiges Rating erhalten haben
|
Bonitätsstufe "Credit Quality Step" (CQS)
|
Risikogewicht
|
| |
A
|
B
|
C
|
|
CQS 1
|
7 %
|
12 %
|
20 %
|
|
CQS 2
|
12 %
|
20 %
|
35 %
|
|
CQS 3
|
60 %
|
75 %
|
75 %
|
|
Alle anderen Kreditbewertungen
|
1250 %
|
1250 %
|
1250 %
|
2) Vorbehaltlich Abs. 3 und 4 werden die Risikogewichte von Spalte A in jeder Tabelle angewandt, wenn die Position Bestandteil der höchstrangigsten Tranche der Verbriefung ist. Bei der Bestimmung der Tatsache, ob es sich bei einer Tranche um die höchstrangigste Tranche in diesem Sinne handelt, ist es nicht erforderlich, Beträge zu berücksichtigen, die sich aus Zins- oder Währungsderivatekontrakten, fälligen Gebühren oder anderen ähnlichen Zahlungen ergeben.
3) Ein Risikogewicht von 6 % kann auf eine Position angewandt werden, die Bestandteil der höchstrangigen Tranche einer Verbriefung ist, sofern diese Tranche in jeder Hinsicht höherrangiger als eine andere Tranche der Verbriefung ist, deren Positionen nach Abs. 1 ein Risikogewicht von 7 % zugeordnet würde, vorausgesetzt:
a) die FMA hat sich vergewissert, dass dies aufgrund der Verlustabsorptionsfähigkeit der nachgeordneten Tranchen der Verbriefung gerechtfertigt ist; und
b) die Position verfügt entweder über ein externes Rating, das der Bonitätsstufe 1 in Tabelle 4 oder 5 entspricht, oder - falls kein Rating vorliegt - erfüllt die Anforderungen von Ziff. 10.2, wobei unter "Referenzpositionen" Positionen in der nachgeordneten Tranche zu verstehen sind, denen nach Abs. 1 ein Risikogewicht von 7 % zugeordnet würde.
4) Die Risikogewichte in Spalte C in jeder Tabelle werden angewandt, wenn die Position Bestandteil einer Verbriefung ist, deren effektive Anzahl der verbrieften Forderungen kleiner als sechs ist. Bei der Berechnung der effektiven Anzahl der verbrieften Forderungen sind mehrere, auf einen Schuldner bezogene Forderungen als eine einzige Forderung zu behandeln. Die effektive Anzahl der Forderungen wird wie folgt berechnet:
wobei EADi die Forderungshöhe sämtlicher auf den i-ten Schuldner bezogener Forderungen repräsentiert. Im Falle einer "Resecuritisation" (erneute Verbriefung von Verbriefungspositionen) muss die Bank in der Formel auf die Anzahl der Verbriefungspositionen in dem Pool und nicht auf die Anzahl der zugrundeliegenden Forderungen in den ursprünglichen Pools abstellen, aus denen die zugrundeliegenden Verbriefungspositionen stammen. Ist der Anteil am Portfolio im Zusammenhang mit der grössten Forderung, C1, verfügbar, kann die Bank N als 1/C1 berechnen.
5) Die Risikogewichte in Spalte B sind auf alle anderen Positionen anzuwenden.
6) Die Kreditrisikominderung für Verbriefungspositionen nach Ziff. 15 und Ziff. 16.1 ist zulässig.
13. Aufsichtsrechtlicher Formelansatz
1) Vorbehaltlich Ziff. 14 Abs. 4 und 5 ist das Risikogewicht einer Verbriefungsposition im Rahmen des aufsichtsrechtlichen Formelansatzes der jeweils höhere der beiden nachfolgend genannten Sätze: 7 % oder das Risikogewicht, das im Sinne von Abs. 2 zugrunde zu legen ist.
2) Vorbehaltlich Ziff. 14 Abs. 4 und 5 beträgt das auf den Forderungswert anzuwendende Risikogewicht:
12.5 x (S[L+T] - S[L]) / T,
wobei
S [x] = x wenn x <= Kirbr bzw.
S [x] = Kirbr + K[x] - K[Kirbr] + (d x Kirbr/w) x (1 - ew (Kirbr - x)/Kirbr) wenn Kirbr < x
wobei t = 1000 und und w = 20 sind.
In diesen Formeln bezeichnet Beta [x; a, b] die kumulative Beta-Verteilung mit den Parametern a und b, ausgewertet an der Stelle x.
T (die "Dicke" der Tranche, in der die Position gehalten wird) ist das Verhältnis von (a) dem Nominalwert der Tranche zu (b) der Summe der Forderungsbeträge der Forderungen, die verbrieft wurden. In diesem Sinne ist der Forderungswert eines in Art. 4 Abs. 1 Ziff. 2 genannten derivativen Instruments, bei dem die derzeitigen Wiedereindeckungskosten kein positives Vorzeichen haben, die potenzielle künftige Kreditforderung, so wie sie nach Art. 40 bis 46 berechnet wird.
Kirbr ist das Verhältnis von (a) Kirb zu (b) der Summe der Forderungswerte der Forderungen, die verbrieft wurden. Kirbr wird in Dezimalform ausgedrückt (z.B. würde Kirb in Höhe von 15 % des Pools als Kirbr von 0.15 ausgedrückt).
L (das Bonitätsverbesserungsniveau) wird berechnet als das Verhältnis des Nominalwerts aller Tranchen, die der Tranche, in der die Position gehalten wird, nachrangig sind, zur Summe der Forderungswerte der Forderungen, die verbrieft wurden. Kapitalisierte künftige Erträge dürfen nicht in die Berechnung von L einbezogen werden. Von Gegenparteien im Zusammenhang mit derivativen Instrumenten im Sinne von Art. 4 Abs. 1 Ziff. 2 ausstehende Beträge, die im Verhältnis zu der besagten Tranche nachrangigere Tranchen repräsentieren, können bei der Berechnung des Bonitätsverbesserungsniveaus zu ihren derzeitigen Wiedereindeckungskosten bewertet werden (ohne potenzielle künftige Kreditforderungen).
h = (1 - Kirbr / ELGD)N
c = Kirbr / (1 - h)
v = ((ELGD - Kirbr) Kirbr + 0.25 (1 - ELGD) Kirbr) / N
f = ((v + Kirbr2) / (1 - h) - c2) + ((1 - Kirbr) Kirbr - v) / (1 - h) t
g = (1 - c) c / f - 1
a = g * c
b = g * (1 - c)
d = 1 - (1 - h) * (1 - Beta [Kirbr; a, b])
K [x] = (1 - h) * ((1 - Beta [x; a, b]) x + Beta [x; a + 1, b ] c)
N ist die effektive Anzahl der Forderungen, die nach Ziff. 12 Abs. 3 berechnet wird.
Die ELGD ("forderungsgewichtete durchschnittliche Verlustquote bei Ausfall") wird wie folgt berechnet:
wobei LGDi die durchschnittliche LGD repräsentiert, bezogen auf alle Forderungen gegen den i-ten Schuldner, und die LGD nach dem IRB-Ansatz bestimmt wird. Im Falle einer _Resecuritisation" wird eine LGD von 100 % auf die verbrieften Positionen angewandt. Werden das Ausfall- und das Verwässerungsrisiko für angekaufte Forderungen bei einer Verbriefung auf aggregierte Art und Weise behandelt (z.B. stehen eine einzige Rückstellung oder Übersicherung zur Abdeckung von Verlusten aus jeder Quelle zur Verfügung), wird der LGD-Input als ein gewichteter Durchschnitt der LGD für das Kreditrisiko und der 75 %-igen LGD für das Verwässerungsrisiko berechnet. Bei den Gewichtungen handelt es sich jeweils um die unabhängigen Eigenmittelanforderungen für das Kredit-und das Verwässerungsrisiko.
Vereinfachte Inputs
Macht der Forderungswert der grössten verbrieften Forderung, C1, nicht mehr als 3 % der Summe der Forderungswerte der verbrieften Forderungen aus, dann kann die Bank zum Zwecke des aufsichtlichen Formelansatzes eine LGD = 50 % ansetzen sowie N gleich setzen mit entweder
oder
N=1/ C1.
Cmist dabei das Verhältnis aus der Summe der Forderungswerte der höchsten "m" - Forderungen zur Summe der Forderungswerte der verbrieften Forderungen. Die Höhe von "m" kann dabei von der Bank festgelegt werden.
Bei Verbriefungen, die Retailforderungen umfassen, kann die FMA die Anwendung des aufsichtlichen Formelansatzes unter Zugrundelegung folgender Vereinfachungen: h = 0 und v = 0 zulassen.
3) Die Kreditrisikominderung auf Verbriefungspositionen kann nach Ziff. 15, Ziff. 16.2 und Ziff. 16.3 anerkannt werden.
14. Liquiditätsfazilitäten
1) Die Bestimmungen nach Abs. 2 bis 5 gelten für die Festlegung des Forderungswertes einer Verbriefungsposition ohne Rating in Form bestimmter Arten von Liquiditätsfazilitäten.
2) Auf den Nominalbetrag einer Liquiditätsfazilität, die nur im Falle einer allgemeinen Marktstörung gezogen werden kann und die die Bedingungen einer "anerkannten Liquiditätsfazilität" nach Ziff. 6.1 erfüllt, kann ein Konversionsfaktor von 20 % angewandt werden.
3) Auf den Nominalbetrag einer Liquiditätsfazilität, die die Bedingungen nach Ziff. 6.3 (Barvorschuss-Fazilitäten) erfüllt, kann ein Konversionsfaktor von 0 % angewandt werden.
4) Wenn es für eine Bank nicht zweckmässig ist, die risikogewichteten Forderungsbeträge für die verbrieften Forderungen so zu berechnen, als wären sie nicht verbrieft worden (falls Kirb nicht berechnet werden kann), kann es einer Bank ausnahmsweise und vorbehaltlich der Zustimmung durch die FMA gestattet werden, die Methode nach Abs. 5 für die Berechnung der risikogewichteten Forderungsbeträge für eine Verbriefungsposition ohne Rating in Form einer Liquiditätsfazilität, die die Bedingungen einer "anerkannten Liquiditätsfazilität" im Sinne von Ziff. 6.1 erfüllt oder die Abs. 2 entspricht, anzuwenden.
5) Das höchste Risikogewicht, das, wenn sie nicht verbrieft worden wären, nach dem Standardansatz auf irgendeine der verbrieften Forderungen angewandt werden würde, kann auf die durch die Liquiditätsfazilität repräsentierte Verbriefungsposition angewandt werden. Um den Forderungswert der Position zu bestimmen, kann ein Konversionsfaktor von 50 % auf den Nominalbetrag der Liquiditätsfazilität angewandt werden, falls die Fazilität eine ursprüngliche Laufzeit von einem Jahr oder weniger hat. Erfüllt die Liquiditätsfazilität die Bedingungen von Abs. 2, kann ein Konversionsfaktor von 20 % zugrunde gelegt werden. Ist dies nicht der Fall, wird ein Konversionsfaktor von 100 % zugrunde gelegt.
15. Anerkennung der Kreditrisikominderung auf Verbriefungspositionen (Besicherung mit Sicherheitsleistung und Absicherung ohne Sicherheitsleistung)
1) Die anerkannte Besicherung mit Sicherheitsleistung ist auf jene beschränkt, die für die Berechnung der risikogewichteten Forderungsbeträge nach dem Standardansatz zulässig ist, so wie in Art. 55 bis 57 vorgesehen. Die Anerkennung unterliegt der Einhaltung der entsprechenden Mindestanforderungen, die in diesen Artikeln festgeschrieben sind.
2) Die anerkannte Absicherung ohne Sicherheitsleistung und die Bereitsteller von Absicherungen ohne Sicherheitsleistung sind auf jene beschränkt, die nach Art. 55 bis 57 in Frage kommen. Die Anerkennung unterliegt der Einhaltung der entsprechenden Mindestanforderungen, die in diesen Artikeln festgeschrieben sind.
16. Berechnung der erforderlichen Eigenmittel für Verbriefungspositionen mit Kreditrisikominderung
16.1 Ratingbasierter Ansatz
Werden die risikogewichteten Forderungsbeträge unter Zugrundelegung des ratingbasierten Ansatzes berechnet, können der Forderungswert und/oder der risikogewichtete Forderungsbetrag für eine Verbriefungsposition, für die eine Kreditbesicherung erwirkt wurde, nach den Bestimmungen von Abschnitt 3 dieses Anhangs geändert werden, so wie sie für die Berechnung der risikogewichteten Forderungsbeträge im Sinne des Standardansatzes gelten.
16.2 Aufsichtsrechtlicher Formelansatz - vollständige Besicherung
1) Werden die risikogewichteten Forderungsbeträge unter Zugrundelegung des aufsichtsrechtlichen Formelansatzes berechnet, kann die Bank das "tatsächliche Risikogewicht" der Position bestimmen. Dieses wird ermittelt, indem der risikogewichtete Forderungsbetrag der Position durch den Forderungswert der Position geteilt und sodann mit 100 multipliziert wird.
2) Im Falle einer Besicherung mit Sicherheitsleistung wird der risikogewichtete Forderungsbetrag der Verbriefungsposition durch Multiplizierung des um die Besicherung mit Sicherheitsleistung bereinigten Forderungswerts der Position (E*, Berechnung wie nach Art. 55 bis 57 für die Berechnung der risikogewichteten Forderungsbeträge im Sinne des Standardansatzes unter der Annahme, dass der Betrag der Verbriefungsposition E ist) mit dem "tatsächlichen Risikogewicht" berechnet.
3) Im Falle einer Absicherung ohne Sicherheitsleistung wird der risikogewichtete Forderungsbetrag der Verbriefungsposition berechnet, indem G
A(der Betrag der Absicherung, der im Hinblick auf eine etwaige Währungsinkongruenz oder Laufzeitinkongruenz nach den Bestimmungen des Abschnittes 3 dieses Anhangs bereinigt wird) mit dem Risikogewicht des Bereitstellers der Besicherung multipliziert wird. Sodann wird dieser Betrag zu jenem addiert, der sich durch Multiplizierung des Betrags der Verbriefungsposition abzüglich G
Amit dem tatsächlichen Risikogewicht ergibt.
16.3 Aufsichtsrechtlicher Formelansatz - teilweise Besicherung
1) Deckt die Kreditrisikominderung den "First Loss" oder Verluste auf anteilsmässiger Basis in der Verbriefungsposition ab, kann die Bank die Bestimmungen nach Ziff. 16.2 anwenden.
2) In den anderen Fällen behandelt die Bank die Verbriefungsposition als zwei oder mehrere Positionen, wobei der ungedeckte Teil als Position mit der geringeren Kreditqualität angesehen wird. Für die Berechnung des risikogewichteten Forderungsbetrages dieser Position findet Ziff. 13 Anwendung, allerdings vorbehaltlich der Änderungen, dass "T" im Falle einer Besicherung mit Sicherheitsleistung an e* und im Falle einer Absicherung ohne Sicherheitsleistung an T-g angepasst wird; e* bezeichnet das Verhältnis von E* zum gesamten nominellen Betrag des zugrundeliegenden Pools, wobei E* der bereinigte Forderungsbetrag der Verbriefungsposition ist, der nach den Bestimmungen von Abschnitt 3 dieses Anhangs berechnet wird, so wie sie für die Berechnung der risikogewichteten Forderungsbeträge nach dem Standardansatz gelten unter der Annahme, dass der Betrag der Verbriefungsposition E ist; g ist das Verhältnis des Nominalbetrages der Kreditbesicherung (bereinigt im Hinblick auf eine etwaige Währungs- oder Laufzeitinkongruenz nach den Bestimmungen von Abschnitt 3 dieses Anhangs) zur Summe der Forderungsbeträge der verbrieften Forderungen. Im Falle einer Absicherung ohne Sicherheitsleistung wird das Risikogewicht des Bereitstellers der Absicherung auf den Teil der Position angewandt, der nicht unter den bereinigten Wert von "T" fällt.
17. Zusätzliche Kapitalanforderungen für Verbriefungen von revolvierenden Forderungen mit vorzeitigen Tilgungsklauseln
1) Zusätzlich zu den risikogewichteten Forderungsbeträgen, die bezüglich seiner Verbriefungspositionen berechnet werden, hat ein Originator, einen risikogewichteten Forderungsbetrag nach der Methode in den Abs. 17 bis 32 zu berechnen, wenn er revolvierende Forderungen in eine Verbriefung verkauft, die vorzeitige Tilgungsklausel enthält.
2) Zum Zwecke von Abs. 1 ersetzen Abs. 3 und 4 Ziff. 7.1 Abs. 4 und 5.
3) Im Sinne dieser Bestimmungen bedeutet "Anteil des Originators" die Summe aus:
a) dem Forderungswert dieses fiktiven Teils eines Pools gezogener Beträge, die in die Verbriefung veräussert werden, wobei sein Anteil in Bezug auf den Betrag des gesamten Pools, der in die Struktur geflossen ist, den Teil der Zahlungen bestimmt, die durch die Einziehung des Nominalbetrages und der Zinsen sowie anderer verbundener Beträge erzeugt werden, der nicht für Zahlungen an jene zur Verfügung steht, die Verbriefungspositionen aus der Verbriefung halten; und
b) dem Forderungswert des Teils des Pools nicht gezogener Beträge der Kreditlimiten, deren gezogene Beträge in die Verbriefung veräussert wurden, wobei der Anteil des Gesamtbetrages dieser nicht gezogenen Beträge der gleiche ist wie der Anteil des Forderungswertes, der unter Bst. a in Bezug auf den Forderungswert des Pools gezogener Beträge beschrieben wird, die in die Verbriefung veräussert wurden.
Um als solcher in Frage zu kommen, darf der Anteil des Originators nicht den Anteilen der Investoren nachgeordnet sein. Unter "Anteil der Investoren" versteht man den Forderungswert des fiktiven Teils des Pools der gezogenen Beträge, die nicht unter Bst. a fallen, zuzüglich des Forderungswertes des Teils des Pools nicht gezogener Beträge der Kreditlimiten, deren gezogene Beträge in die Verbriefung veräussert wurden, der nicht unter Bst. b fällt.
4) Die Forderung der originierenden Bank verbunden mit ihren Rechten in Bezug auf den Anteil des Originators, der in Abs. 3 Bst. a beschrieben wird, ist nicht als eine Verbriefungsposition zu betrachten, sondern als eine anteilige Forderung gegenüber den verbrieften gezogenen Forderungsbeträgen, so als ob diese nicht in einen Betrag verbrieft worden wären, der dem in Abs. 3 Bst. a genannten gleichwertig ist. Bei der originierenden Bank wird auch davon ausgegangen, dass sie eine anteilige Forderung gegenüber den nicht gezogenen Beträgen der Kreditlimiten hat, deren gezogene Beträge in die Verbriefung veräussert wurden, die einem Betrag entspricht, der dem in Abs. 3 Bst. b genannten gleichwertig ist.
18. Reduzierung der risikogewichteten Forderungsbeträge
1) Von einem risikogewichteten Forderungsbetrag einer Verbriefungsposition, auf die ein Risikogewicht von 1250 % angewandt wird, kann 12.5 mal der Betrag etwaiger Wertberichtigungen abgezogen werden, die von der Bank in Bezug auf die verbrieften Forderungen vorgenommen wurden. Sofern diese Wertberichtigungen für diesen Zweck berücksichtigt werden, werden sie nicht mehr bei der Berechnung nach Abschnitt 2 Teil 1 Ziff. 8 dieses Anhangs berücksichtigt.
2) Der risikogewichtete Forderungsbetrag einer Verbriefungsposition kann um 12.5 mal den Betrag etwaiger Wertberichtigungen reduziert werden, die die Bank im Hinblick auf diese Position vorgenommen hat.
3) Banken können in Bezug auf eine Verbriefungsposition, auf die ein Risikogewicht von 1250 % angewandt wird, alternativ zur Einbeziehung dieser Position in ihre Berechnung der risikogewichteten Forderungsbeträge den Forderungswert der Position von den Eigenmitteln abziehen.
4) Zum Zwecke von Abs. 3 kann:
a) der Forderungswert der Position von den risikogewichteten Forderungsbeträgen abgeleitet werden, wobei etwaige im Sinne von Abs. 1 und 2 vorgenommene Minderungen zu berücksichtigen sind;
b) die Berechnung des Forderungswertes eine anerkannte Besicherung mit Sicherheitsleistung auf eine Art und Weise berücksichtigen, die mit der in Ziff. 15 bis 16.3 vorgeschriebenen Methode konsistent ist;
c) bei Zugrundelegung des aufsichtsrechtlichen Formelansatzes zur Berechnung der risikogewichteten Forderungsbeträge und sofern L < KIRBRund [L+T] > KIRBR, die Position wie zwei Positionen behandelt werden, wobei für die vorrangigere der beiden Positionen L gleich KIRBRist.
5) Macht eine Bank von der in Abs. 3 genannten Alternative Gebrauch, so wird 12.5 mal der Betrag, der nach diesem Absatz abgezogen wurde, zum Zwecke von Ziff. 11 von dem Betrag abgezogen, der in diesem Absatz als der höchste risikogewichtete Forderungsbetrag spezifiziert wird, der von den dort genannten Banken zu berechnen ist.
Anhang 2
Ergänzende Vorschriften zur Ermittlung der
erforderlichen Eigenmittel für Marktrisiken
(Art. 82 bis 92)
I. Im Allgemeinen
1. Gegenstand und Zweck
1) Dieser Anhang regelt die Messung und Eigenmittelunterlegung von Zinsänderungs- und Aktienkursrisiken im Handelsbuch sowie von Währungs-, Gold- und Waren- bzw. Rohstoffrisiken in der gesamten Bank.
2) Er konkretisiert die entsprechenden Bestimmungen dieser Verordnung (Art. 23 Abs. 2 Bst. c i.V.m. Art. 82 bis 92) und beschreibt die Messung und Eigenmittelunterlegung von Marktrisiken nach dem Standard- und dem Modellansatz sowie die Methoden zur Berechnung der konsolidierten Eigenmittelanforderungen für Marktrisiken.
3) Neben der in diesem Anhang geregelten Unterlegung von Marktrisiken nach Art. 82 bis 92 sind alle weiteren Risiken aus Positionen in Zins- oder Aktieninstrumenten im Handelsbuch sowie aus Positionen in Währungs-, Gold- und Waren- bzw. Rohstoffinstrumenten in der gesamten Bank nach Art. 29 Abs. 1 zu unterlegen.
2. Handelsbuch
2.1 Handelsstrategie und aktive Bewirtschaftung
Positionen bzw. Portfolios, die zu Handelszwecken gehalten werden, sind solche, die die folgenden Anforderungen erfüllen:
a) es muss eine klar dokumentierte und von der Geschäftsleitung bewilligte Handelsstrategie für die Positionen bzw. Instrumente oder die Portfolios vorhanden sein, die auch Auskunft über die erwartete Halteperiode gibt;
b) die Weisungen und Prozesse bzw. Verfahren für die aktive Bewirtschaftung der Positionen müssen folgende Punkte umfassen:
1. die Bewirtschaftung der Positionen erfolgt durch den Handel (Handelsdesk);
2. Positionslimiten sind festgelegt und ihre Angemessenheit wird überwacht;
3. die Händler können innerhalb der festgelegten Limiten und der festgelegten Strategie eigenständig Positionen eingehen und bewirtschaften;
4. die Positionen werden mindestens täglich zu Marktpreisen bewertet. Falls sie auf Basis von Modellpreisen bewertet werden, sind die Bewertungsparameter täglich neu zu ermitteln;
5. die Berichterstattung über die Positionen an die Geschäftsleitung ist integraler Bestandteil des Risikomanagementverfahrens der Bank;
6. die Positionen werden unter Einbezug von Informationsquellen aus dem Marktumfeld aktiv überwacht (zu beurteilen sind die Marktfähigkeit, die Möglichkeiten, die Positionen zu hedgen oder das Risikoprofil der gesamten Position). Dies beinhaltet die Beurteilung der Qualität und Verfügbarkeit von Marktinformationen für das Bewertungsverfahren, der Umsatzvolumen im Markt und der Grösse der im Markt handelbaren Positionen;
c) es muss klar und eindeutig definierte Verhaltensregeln und Verfahrensweisen zur Überwachung der Positionen auf Übereinstimmung mit der Handelsstrategie einschliesslich der Überwachung des Umsatzes und der vorhandenen Positionen im Handelsbuch der Bank geben.
2.2 Abgrenzung zum Bankenbuch
1) Für die Zuordnung der Positionen zum Handelsbuch zwecks Berechnung der erforderlichen Eigenmittel für Marktrisiken haben die Banken angemessene, einheitliche und klar definierte Kriterien und Prozesse zu definieren. Erforderlich sind zudem Kontrollsysteme, welche die Einhaltung dieser Kriterien sowie die ordnungsmässige und willkürfreie Behandlung interner Sicherungsgeschäfte sicherstellen. Die Anforderungen nach Art. 84 und die Fähigkeiten und Verfahrensweisen der Bank im Risikomanagement sind zu berücksichtigen. Die Erfüllung dieser Kriterien und Prozesse muss vollständig dokumentiert und periodisch intern überwacht werden.
2) Die Banken müssen eindeutig und klar definierte Weisungen und Prozesse implementiert haben, um zu bestimmen, welche Positionen im Handelsbuch gehalten werden und welche nicht. Diese Weisungen und Prozesse müssen mindestens folgende Bereiche betreffen:
a) die Aktivitäten, die die Bank als Handel und damit zur Ermittlung der erforderlichen Eigenmittel für Marktrisiken als Teil ihres Handelsbuches ansieht;
b) das Ausmass, in dem eine Position täglich zu Marktpreisen mit Bezug auf einen aktiven, liquiden und in beide Richtungen handelnden Markt bewertet werden kann;
c) für Positionen, die zu Modellpreisen bewertet werden, das Ausmass, in dem eine Bank:
1. alle wesentlichen Risiken dieser Positionen identifizieren kann;
2. alle wesentlichen Risiken dieser Positionen mit Instrumenten absichern kann, für die ein aktiver, liquider und in beide Richtungen handelnder Markt besteht; und
3. verlässliche Schätzungen für die wichtigsten Annahmen und Parameter, die im Modell benutzt werden, ableiten kann;
d) das Ausmass, in dem die Bank in der Lage und verpflichtet ist, Bewertungen für Positionen vorzunehmen, die extern auf einheitliche Weise validiert werden können;
e) das Ausmass, in dem rechtliche Beschränkungen oder andere technische Anforderungen die Bank daran hindern würden, eine sofortige Veräusserung oder Absicherung dieser Positionen vorzunehmen;
f) das Ausmass, in dem die Bank verpflichtet und in der Lage ist, die Positionen aktiv zu bewirtschaften; und
g) das Ausmass, in dem die Bank möglicherweise Risiken oder Positionen zwischen dem Bankenbuch und dem Handelsbuch umbuchen möchte und die Kriterien für solche Umbuchungen.
3) Banken können bei der FMA eine Ausnahmebewilligung beantragen, Beteiligungen im Sinne von Art. 21 Abs. 1 Bst. a bis c, sofern angemessen, nicht von den Eigenmitteln abzuziehen, sondern nach den Vorschriften für das Handelsbuch mit Eigenmitteln zu unterlegen, wenn sie nachweisen, dass sie in diesen Positionen aktive Market Maker sind. In diesem Falle müssen die Banken über angemessene Systeme und Kontrollen für den Handel solcher Positionen verfügen.
4) Mit dem Terminhandel zusammenhängende Wertpapierpensions- und ähnliche Geschäfte, die von einer Bank im Bankenbuch ausgewiesen werden, können zur Ermittlung der erforderlichen Eigenmittel für Marktrisiken im Handelsbuch der Bank berücksichtigt werden, sofern alle Wertpapierpensions- und ähnlichen Geschäfte dieser Art darin berücksichtigt werden. Zu diesem Zweck werden mit dem Handel zusammenhängende Wertpapierpensions- und ähnliche Geschäfte derart definiert, dass darunter solche fallen, die die Anforderungen nach Art. 84 Abs. 2 und von Ziff. 2.1 erfüllen und bei denen beide Seiten der Transaktion entweder aus Geldzahlungen oder Wertpapieren bestehen, die im Handelsbuch berücksichtigungsfähig sind. Unabhängig davon, wo sie verbucht werden, gilt für alle Wertpapierpensions- und ähnlichen Geschäfte die Unterlegung für das Gegenpartei-Kreditausfallrisiko im Bankenbuch.
5) Offene Aktienanteile in Hedge-Fonds, Merchant-Banking-Investitionen und Immobilienbestände erfüllen zum jetztigen Zeitpunkt die Kriterien für eine Handelsbuchzuordnung grundsätzlich nicht und müssen nach den Vorschriften für das Bankenbuch mit Eigenmitteln unterlegt werden. Falls eine Bank trotzdem offene Aktienanteile in Hedge-Fonds nach den Vorschriften des Handelsbuches unterlegen möchte, kann sie der FMA einen Antrag stellen, in welchem dargelegt werden muss, warum die Kriterien für die Behandlung nach den Vorschriften für das Handelsbuch erfüllt sind.
2.3 Systeme und Kontrollen, interne Sicherungsgeschäfte
2.3a Allgemeines
1) Die Banken müssen angemessene Systeme und Kontrollen einführen und beibehalten, um vorsichtige und zuverlässige Schätzwerte zu liefern.
2) Diese Systeme und Kontrollen müssen zumindest folgende Elemente beinhalten:
a) schriftlich dokumentierte Richtlinien und Verfahren für den Bewertungsprozess. Dazu zählen klar definierte Verantwortlichkeiten für die verschiedenen an der Bewertung beteiligten Stellen, Quellen für die Marktinformationen und die Überprüfung von deren Eignung, die Häufigkeit der unabhängigen Bewertung, der Zeitpunkt für die Erhebung der Tagesschlusspreise, das Vorgehen bei Bewertungsanpassungen, Monatsend- und fallweise Abstimmungsverfahren; und
b) klare und unabhängige (d.h. unabhängig vom Handelsbereich/Front Office) Berichtslinien für die Einheit, die für die Bewertung verantwortlich ist. Die Berichterstattung sollte bis zu dem zuständigen Geschäftsleitungsmitglied erfolgen.
2.3b Vorsichtige Bewertungsmethoden
1) Die Bewertung zu Marktpreisen ist die mindestens täglich vorzunehmende Positionsbewertung auf der Grundlage einfach feststellbarer Glattstellungspreise, die aus neutralen Quellen bezogen werden. Beispiele hierfür sind Börsenkurse, über Handelsysteme angezeigte Preise oder Quotierungen von verschiedenen unabhängigen, angesehenen Brokern.
2) Die Bank muss ihre Positionen so weit wie möglich zu Marktpreisen bewerten. Bei der Bewertung zu Marktpreisen muss die vorsichtigere Seite der Angebot-/Nachfrage-Preise (Geld-/Briefkurse) verwendet werden, es sei denn, die Bank ist ein bedeutender Market Maker in einer bestimmten Art von Finanzinstrument oder Ware und sie kann diese zu Mittelkursen glattstellen.
3) In den Fällen, in denen eine Bewertung zu Marktpreisen nicht möglich ist, müssen die Banken eine Bewertung ihrer Positionen bzw. Portfolios zu Modellpreisen vornehmen, bevor sie eine Eigenkapitalbehandlung nach dem Handelsbuch vornehmen. Als Bewertung zu Modellpreisen wird jede Bewertung definiert, die aus einem Marktwert abgeleitet, extrapoliert oder auf andere Weise errechnet werden muss.
4) Bei der Bewertung zu Modellpreisen müssen die folgenden Anforderungen erfüllt sein:
a) die Geschäftsleitung bzw. höhere Managementebene muss verstehen, für welche Elemente des Handelsbuches eine Modellbewertung vorgenommen wird; sie sollte auch die Bedeutung der Unsicherheit kennen, die dadurch in die Berichterstattung über die Risiken und Erfolgsbeiträge des Geschäftsfeldes einfliesst;
b) Marktdaten sollten, soweit möglich, aus denselben Quellen bezogen werden wie die Marktpreise. Die Eignung der Marktdaten für die Bewertung der einzelnen Positionen und die Parameter des Modells sind regelmässig zu überprüfen;
c) soweit verfügbar, sollten allgemein anerkannte Bewertungsmethoden für einzelne Finanzinstrumente und Waren verwendet werden;
d) wenn das Modell von der Bank selbst entwickelt wurde, muss es auf geeigneten Annahmen basieren, die von angemessen qualifizierten Dritten, die nicht in den Entwicklungsprozess eingebunden waren, beurteilt und kritisch überprüft worden sind; das Modell muss unabhängig vom Handel entwickelt und abgenommen werden;
e) es muss formale Verfahren für die Kontrolle von Änderungen geben und eine Sicherheitskopie des Modells ist aufzubewahren und regelmässig zu verwenden, um die Bewertungen nachzuprüfen;
f) das Risikomanagement muss die Schwächen des verwendeten Modells kennen und wissen, wie sie am Besten in den Bewertungsergebnissen zu berücksichtigen sind;
g) das Modell muss von einer unabhängigen Stelle regelmässig auf die Genauigkeit seiner Ergebnisse überprüft werden (d.h. Beurteilung, ob die Annahmen weiterhin angemessen sind, Analyse der Erfolgsrechnung gegenüber den Risikofaktoren, Vergleich der tatsächlichen Glattstellungspreise mit den Modellergebnissen). Zur unabhängigen Prüfung zählt die Bestätigung der mathematischen Formeln, der Annahmen und der Programmierung.
5) Sowohl die Bewertung zu Marktpreisen als auch die Bewertung zu Modellpreisen (Modellparameter) müssen mindestens monatlich (in Abhängigkeit von der Art des Handelsgeschäftes allenfalls häufiger) von einer Einheit, die unabhängig vom Handel ist, auf ihre Angemessenheit hin überprüft werden. Für unabhängige Preisüberprüfungen, bei denen die Quellen für die Preisermittlung eher subjektiv sind, sind unter Umständen vorsichtige Schätzungen wie zum Beispiel Bewertungsanpassungen angemessen. Diesbezüglich haben die Banken Regelungen einzuführen und beizubehalten, wie Bewertungsanpassungen zu berücksichtigen sind.
2.3c Allgemeine Standards; Standards für weniger liquide Positionen
1) Die Bank muss über Weisungen verfügen, wie Bewertungsanpassungen bzw. Bewertungsrückstellungen zu berücksichtigen sind. Mindestens in folgenden Fällen sind Bewertungsanpassungen bzw. -rückstellungen formell zu überprüfen: noch nicht verdiente Kreditspreads, Glattstellungskosten, operationelle Risiken, vorzeitige Tilgungen, Geldanlage- und Refinanzierungskosten sowie zukünftige Verwaltungskosten und gegebenenfalls Modellrisiken.
2) Weniger liquide Positionen können von Marktstörungen und bankbedingten Situationen wie z.B. grossen Positionen und/oder Altbeständen herrühren.
3) Die Banken müssen verschiedene Faktoren in Betracht ziehen, wenn sie festlegen, ob eine Bewertungsanpassung für weniger liquide Positionen notwendig ist. Zu diesen Faktoren zählt die Zeit, die notwendig wäre, um die Positionen bzw. Positionsrisiken abzusichern, die Volatilität und der Durchschnitt der Geld-/Brief-Spannen, die Verfügbarkeit von unabhängigen Marktkursen (Anzahl und Identität der Market Maker) und die durchschnittliche Grösse sowie die Volatilität der Handelsvolumen, Marktkonzentrationen, Alterung von Positionen, das Ausmass, in dem die Bewertung auf Marking-to-Modellen beruht, sowie die Auswirkungen weiterer Modellrisiken.
4) Beim Rückgriff auf die Bewertungen Dritter bzw. auf Modellbewertungen müssen sich die Banken überlegen, ob sie eine Bewertungsanpassung vornehmen oder nicht. Zudem müssen sie abwägen, ob sie Bewertungsanpassungen für weniger liquide Positionen bilden und deren Zweckmässigkeit regelmässig überprüfen.
5) Führen Bewertungsanpassungen zu erheblichen Verlusten im laufenden Geschäftsjahr, so sind diese nach Art. 15 Bst. d vom Kernkapital der Bank abzuziehen.
6) Bewertungsanpassungen bzw. Bewertungsrückstellungen, welche die nach den jeweiligen Rechnungslegungsvorschriften ermittelten Bewertungsanpassungen bzw. Bewertungsrückstellungen übersteigen, sind nach Abs. 5 zu behandeln.
2.3d Interne Absicherungsgeschäfte
1) Bei einem internen Absicherungsgeschäft handelt es sich um eine Position, die das Risiko einer Position oder einer Reihe von Positionen des Bankenbuches wesentlich oder vollständig ausgleicht. Positionen, die sich aus internen Absicherungsgeschäften ergeben, können nach den Vorschriften über die Eigenmittelunterlegung von Marktrisiken mit Eigenmitteln unterlegt werden, sofern sie mit Handelsabsicht gehalten werden und die allgemeinen Kriterien in Bezug auf die Handelsabsicht und die vorsichtige Bewertung, die in Ziff. 2.1 bis 2.2c genannt werden, eingehalten werden. Dabei gilt insbesondere Folgendes:
a) interne Absicherungsgeschäfte sollten nicht in erster Linie dazu verwendet werden, die Eigenmittelanforderungen zu umgehen oder zu mindern;
b) interne Absicherungsgeschäfte sind angemessen zu dokumentieren und müssen einer speziellen internen Genehmigung und einem internen Kontrollverfahren unterliegen;
c) interne Geschäfte werden zu Marktbedingungen abgewickelt;
d) das Ausmass des Marktrisikos, das durch interne Absicherungen hervorgerufen wird, wird dynamisch im Handelsbuch innerhalb der zulässigen Grenzen gemanagt;
e) interne Geschäfte sind sorgfältig zu überwachen, wobei die Überwachung anhand angemessener Verfahren sicherzustellen ist.
2) Die in Abs. 1 genannte Behandlung lässt die Eigenmittelanforderungen unberührt, die auf die "Nicht-Handelsbuch-Seite" des internen Sicherungsgeschäfts anwendbar sind.
3) Falls eine Bank ein Kreditrisiko im Bankenbuch mit einem Kreditderivat absichert, das im Handelsbuch verbucht ist (interne Absicherung), wird die Position im Bankenbuch für die Berechnung der erforderlichen Eigenmittel als nicht abgesichert betrachtet, es sei denn, die Bank kauft von einem anerkannten dritten Sicherungsgeber ein Kreditderivat, das die Anforderungen für die Anerkennung von Kreditderivaten nach Abschnitt 3 Teil 2 Ziff. 13 Abs. 1 des Anhangs 1 in Bezug auf das Kreditrisiko im Bankenbuch erfüllt. Wenn eine solche Drittabsicherung gekauft und für Zwecke der Ermittlung der erforderlichen Eigenmittel als Absicherung für ein Kreditrisiko des Bankenbuches berücksichtigt wird, würde weder die interne noch die externe Absicherung durch ein Kreditderivat für die Ermittlung der erforderlichen Eigenmittel für das Handelsbuch erfasst.
2.4 Abgrenzung
Handelsbuchpositionen stellen grundsätzlich "Handelsgeschäfte" im Sinne von Anhang 3 der Bankenverordnung (Richtlinien zu den Rechnungslegungsvorschriften, Ziff. 40 Abs. 1) dar. Eine Ausnahme bilden nach dem Niederstwertprinzip zu bewertende Handelsbestände (Ziff. 6 Abs. 2 von Anhang 3 der Bankenverordnung), die keine Handelsbuchpositionen nach den vorliegenden Bestimmungen darstellen.
3. De-Minimis-Regel für Aktien- und Zinsinstrumente
1) Eine Bank muss die erforderlichen Eigenmittel für Zinsänderungs- und Aktienkursrisiken nicht nach dem Standard- oder Modellansatz bestimmen, wenn sie keine Kreditderivate in ihrem Handelsbuch (Art. 84) hält und ihr Handelsbuch:
a) zu keiner Zeit 6 % der um die absoluten Beträge der Eventualverbindlichkeiten, unwiderruflichen Zusagen, Einzahlungs- und Nachschussverpflichtungen, Verpflichtungskredite und Kontraktvolumen aller offenen derivativen Finanzinstrumente ergänzten Bilanzsumme des letzten Quartalsabschlusses; und
b) zu keiner Zeit 30 Millionen Schweizer Franken überschreitet (Art. 85).
Die beiden Bedingungen sind kumulativ zu erfüllen und ihre permanente Einhaltung ist durch organisatorische Massnahmen - insbesondere durch die Ausgestaltung des Limitenwesens - sicherzustellen.
2) Die massgebende Grösse des Handelsbuches entspricht dabei der Summe der absoluten Marktwerte sämtlicher Kassapositionen im Handelsbuch zuzüglich der absoluten deltagewichteten Marktwerte sämtlicher den einzelnen Optionspositionen des Handelsbuches zugrunde liegenden Basiswerte zuzüglich der absoluten Marktwerte der jeweils betragsmässig grösseren Komponente sämtlicher Terminpositionen im Handelsbuch (besteht beispielsweise ein Terminkontrakt zum Kauf einer deutschen Aktie gegen 100 Euro in einem Jahr, so ist der aktuelle Terminpreis der entsprechenden Aktie dem aktuellen Terminpreis von 100 Euro gegenüberzustellen; in die für den De-Minimis-Test relevante massgebende Grösse des Handelsbuches hat der grössere dieser beiden Terminpreise einzufliessen). Dabei können sich ausgleichende Positionen nach Ziff. 6.1 unberücksichtigt bleiben, wobei die folgenden Punkte zu beachten sind:
a) in Bezug auf die Überprüfung der Einhaltung beider zur Anwendung der De-Minimis-Regel relevanten Grenzwerte (De-Minimis-Test) ist die in Ziff. 6.1 Bst. b Ziff. 1 vorgesehene Verrechnungsmöglichkeit für Futures nicht auf Zinsfutures begrenzt. Sie gilt analog für Aktien-, Aktienindex-, Devisen-, Gold- und Waren- bzw. Rohstofffutures;
b) abweichend von Ziff. 6.1 Bst. b Ziff. 3 können Swaps, FRAs und Forwards unabhängig von der Laufzeit bis zur nächsten Zinsneufestsetzung bzw. bis zur Fälligkeit dann miteinander verrechnet werden, wenn die Zinsneufestsetzungs- bzw. Fälligkeitstermine innerhalb von 10 Kalendertagen liegen.
Im Weiteren können zur Bestimmung der massgebenden Grösse des Handelsbuches sich ausgleichende Positionen nach Ziff. 10.1 unberücksichtigt bleiben. Die Restriktionen von Ziff. 6.1 Bst. b Ziff. 1 gelangen jedoch in Bezug auf Aktien- und Aktienindexfutures komplementär zur Anwendung; d.h., auch Aktien- und Aktienindexfutures müssen für die Zulässigkeit ihrer gegenseitigen Verrechnung die Anforderung von nicht mehr als sieben Kalendertage auseinander liegenden Fälligkeitsterminen erfüllen. Zudem müssen diese Futures auf die gleiche Währung lauten.
3) Neben den in Ziff. 6.1 und 10.1 vorgesehenen Möglichkeiten sind in Bezug auf den De-Minimis-Test keine weiteren Verrechnungen von Derivaten mit entsprechenden Basisinstrumenten oder von Derivaten untereinander zulässig. Insbesondere ist die in Ziff. 10 Abs. 2 für den Standardansatz vorgesehene Aufgliederung von Aktienindizes in Einzelkomponenten in Bezug auf den De-Minimis-Test unzulässig.
4) De-Minimis-Banken dürfen die nach Standardansatz relevanten Gamma- und Vega-Effekte aus Optionspositionen auf Zins- und Aktieninstrumente für die Berechnung ihrer erforderlichen Eigenmittel vollständig unberücksichtigt lassen (Banken ohne De-Minimis-Qualifikation müssen die erforderlichen Eigenmittel für Optionen auf Zins- und Aktieninstrumenten dann nach einem in Ziff. 21 bis 23.3 dargestellten Verfahren berechnen, wenn diese Optionspositionen dem Handelsbuch zugeordnet sind; befinden sich diese dagegen im Bankenbuch, ist keine Unterlegung der entsprechenden Gamma- und Vega-Effekte erforderlich). Für nichtlineare Währungs-, Gold- oder Waren- bzw. Rohstoffpositionen sind jedoch - unabhängig davon, ob diese dem Banken- oder dem Handelsbuch zugeordnet sind - auch im De-Minimis-Fall die erforderlichen Eigenmittel analog zum Standardansatz zu bestimmen.
5) Die De-Minimis-Regel kann nur für die erforderlichen Eigenmittel für Zinsänderungs- und Aktienkursrisiken im Handelsbuch in Anspruch genommen werden. Die Anforderungen für Währungs- und Waren- bzw. Rohstoffrisiken sind in jedem Fall nach dem Standard- oder dem Modellansatz zu bestimmen.
6) Banken, die von dieser Ausnahmeregelung Gebrauch machen, berechnen die erforderlichen Eigenmittel für Zinsänderungs- und Aktienkursrisiken im Handelsbuch analog den Anforderungen für Zins- und Aktieninstrumente ausserhalb des Handelsbuches nach Art. 59 bis 73 (Standardansatz für die Eigenmittelunterlegung von Kreditrisiken). Sie haben durch die Festlegung der Risikopolitik, der Limitenstruktur für die Händler und die Risikokontrolle zu gewährleisten, dass die Grenzwerte nie erreicht werden.
II. Standardansatz
A. Einleitung
4. Im Allgemeinen
1) Im Rahmen des Standardansatzes werden die erforderlichen Eigenmittel für jede Risikofaktorkategorie (Zinsänderungs-, Aktienkurs-, Währungs- und Waren- bzw. Rohstoffrisiko) separat, nach den in Ziff. 5 bis 26.4 definierten Verfahren berechnet.
2) Im Gegensatz zum Modellansatz werden für Banken, die den Standardansatz anwenden, grundsätzlich keine spezifischen qualitativen Anforderungen vorgegeben, die zusätzlich zu den allgemeinen Mindestanforderungen nach den "Richtlinien für das Risikomanagement im Handel und bei der Verwendung von Derivaten" nach Anhang 4.2 der Bankenverordnung einzuhalten sind. Die einzige Ausnahme bilden die Bestimmungen zur Sicherstellung der Datenintegrität nach Ziff. 36 dieses Anhangs.
B. Zinsänderungsrisiko
5. Im Allgemeinen
1) In die Berechnung des Zinsänderungsrisikos im Handelsbuch sind sämtliche festverzinslichen und zinsvariablen Schuldtitel, einschliesslich Derivate, einzubeziehen, sowie alle übrigen Positionen, die zinsinduzierte Risiken aufweisen.
2) Die erforderlichen Eigenmittel für Zinsänderungsrisiken setzen sich aus zwei separat zu berechnenden Komponenten zusammen:
a) den Anforderungen für das spezifische Risiko: erfasst und unterlegt werden sämtliche Risiken, die auf andere Faktoren als auf Veränderungen der allgemeinen Zinsstruktur zurückzuführen sind;
b) den Anforderungen für das allgemeine Marktrisiko: erfasst und unterlegt werden jene Risiken, die auf eine Veränderung der allgemeinen Zinsstruktur zurückgeführt werden können.
3) Die erforderlichen Eigenmittel für das spezifische Risiko werden pro Emittent, jene für das allgemeine Marktrisiko pro Währung separat berechnet. Eine Ausnahme besteht für das allgemeine Marktrisiko in Währungen, die in geringem Umfang gehandelt werden (Ziff. 8 Abs. 2).
4) Weisen Zinsinstrumente neben den hier behandelten Zinsänderungsrisiken noch andere Risiken, wie z.B. Währungsrisiken, auf, so sind diese anderen Risiken nach den entsprechenden Bestimmungen in Ziff. 9 bis 23.3 zu erfassen.
6. Abbildung der Positionen
1) Für die Berechnung der erforderlichen Eigenmittel für das allgemeine Marktrisiko und das spezifische Risiko sind zunächst alle Positionen zu Marktwerten zu bewerten. Fremdwährungen müssen zum aktuellen Kassakurs in Schweizer Franken umgerechnet werden.
2) Das Unterlegungs- und Messsystem schliesst alle zinssensitiven Derivate und ausserbilanziellen Instrumente im Handelsbuch ein (Optionen sind nach den in Ziff. 21 bis 23.3 aufgeführten Methoden zu behandeln). Diese sind als Positionen abzubilden, die dem Barwert des tatsächlichen oder fiktiven Basisinstrumentes (Kontraktvolumen. d.h. Marktwert der zugrunde liegenden Basiswerte) entsprechen, und anschliessend nach den dargestellten Verfahren für das allgemeine Marktrisiko und das spezifische Risiko zu behandeln.
3) Von der Berechnung der erforderlichen Eigenmittel für das allgemeine Marktrisiko und für das spezifische Risiko ausgenommen sind einander ganz oder fast ausgleichende Positionen in identischen Instrumenten, welche die unter Ziff. 6.1 aufgeführten Voraussetzungen erfüllen. Bei der Berechnung der Anforderungen für spezifische Risiken sind jene Derivate nicht zu berücksichtigen, die auf Referenzsätzen basieren (z.B. Zinsswaps, Währungsswaps, FRAs, Forward-Devisenkontrakte, Zinsfutures, Futures auf einen Zinsindex, etc.).
6.1 Zulässige Verrechnung von sich ausgleichenden Positionen
1) Bei folgenden, sich ausgleichenden Positionen ist eine Verrechnung zulässig:
a) einander betragsmässig ausgleichende Positionen in einem Future oder Forward und dem dazugehörigen Basisinstrument, d.h. allen lieferbaren Titeln. Beide Positionen müssen jedoch auf dieselbe Währung lauten. Zu beachten ist, dass Futures und Forwards als Kombination einer Long- und einer Short-Position zu behandeln sind (vgl. Ziff. 6.2) und deshalb bei der Verrechnung mit einer entsprechenden Kassaposition im Basisinstrument eine der beiden Positionen des Future oder Forward bestehen bleibt;
b) entgegengesetzte Positionen in Derivaten, die sich auf die gleichen Basisinstrumente beziehen und auf dieselbe Währung lauten. Zusätzlich besteht eine Verrechnungsmöglichkeit für Cross-Currency-Beziehungen (siehe im Detail Beilage 5). Zusätzlich müssen folgende Bedingungen erfüllt sein:
1. Futures: identische Basisinstrumente und Fälligkeitstermine, die nicht mehr als sieben Kalendertage auseinander liegen;
2. Swaps und FRAs: identische Referenzsätze (zinsvariable Positionen) und fixe Zinssätze, die nicht mehr als 15 Basispunkte auseinander liegen;
3. Swaps, FRAs und Forwards: Nächste Zinsneufestsetzungstermine bzw. - bei festverzinslichen Positionen oder Forwards - Fälligkeitstermine liegen innerhalb folgender Grenzen (in Bezug auf die Anwendung im Rahmen des De-Minimis-Tests gelten die in Ziff. 3 Abs. 2 Satz 2 postulierten Grenzen):
- weniger als ein Monat nach Stichtag: derselbe Tag;
- zwischen einem Monat und einem Jahr nach Stichtag: maximal 7 Kalendertage auseinander;
- über einem Jahr nach Stichtag: maximal 30 Kalendertage auseinander.
2) Die Verrechnung von Positionen in Wandelanleihen gegen Positionen in den zugrunde liegenden Instrumenten ist nicht zulässig.
6.2 Futures, Forwards und FRAs
1) Futures, Forwards und FRAs werden als Kombination einer Long- und einer Short-Position behandelt. Die Laufzeit eines Future, Forward oder eines FRA entspricht der Zeit bis zur Belieferung bzw. Ausübung des Kontrakts zuzüglich - gegebenenfalls - der Laufzeit des Basisinstruments.
2) Eine Long-Position in einem Zinsfuture ist beispielsweise abzubilden als:
a) eine fiktive Long-Position in dem zugrunde liegenden Zinsinstrument mit einer Zinsfälligkeit zu dessen Verfall; und
b) eine Short-Position in einem fiktiven Staatspapier mit demselben Betrag und Fälligkeit am Erfüllungstag des Future.
3) Können unterschiedliche Instrumente geliefert werden, um den Kontrakt zu erfüllen, kann die Bank wählen, welches lieferbare Finanzinstrument in die Berechnungen eingehen soll. Dabei sind jedoch die von der Börse festgelegten Konversionsfaktoren zu berücksichtigen. Bei einem Future auf einen Index von Unternehmensanleihen werden die Positionen zum Marktwert des fiktiven Basisportfolios abgebildet.
4) Als Long-Position (Kaufposition) wird eine Position bezeichnet, für die die Bank einen Zinssatz festgesetzt hat, den sie zu einem bestimmten Zeitpunkt in der Zukunft erhalten wird. Als Short-Position (Verkaufsposition) gilt eine Position, für die die Bank den Zinssatz festgesetzt hat, den sie zu einem bestimmten Zeitpunkt in der Zukunft zahlen wird.
6.3 Swaps
1) Swaps werden als zwei fiktive Positionen in Staatspapieren mit den entsprechenden Fälligkeiten abgebildet. Ein Zinsswap, bei dem eine Bank einen variablen Zins erhält und einen festen Zins zahlt, wird beispielsweise behandelt als:
a) eine Long-Position in einem zinsvariablen Instrument mit einer Laufzeit, die dem Zeitraum bis zur nächsten Zinsneufestsetzung entspricht; und
b) eine Short-Position in einem festverzinslichen Instrument mit einer Laufzeit, die der Restlaufzeit des Swaps entspricht.
2) Ist bei einem Swap eine Seite an eine andere Referenzgrösse wie z.B. einen Aktienindex gebunden, so wird der Zinsbestandteil mit einer Restlaufzeit (Zinsfälligkeit) berücksichtigt, die der Laufzeit des Swaps oder dem Zeitraum bis zur nächsten Zinsneufestsetzung entspricht, während der Aktienbestandteil nach der Regelung für Aktien zu behandeln ist. Bei Zins-/Währungsswaps sind die Long- und Short-Positionen in den Berechnungen für die betreffenden Währungen zu berücksichtigen.
3) Banken mit wesentlichen Swapbüchern, die nicht von den in Ziff. 6.1 behandelten Verrechnungsmöglichkeiten Gebrauch machen, können die in die Fristigkeiten- bzw. Durationsfächer einzuordnenden Positionen auch mit sogenannten Sensitivitätsmodellen oder "Preprocessing Models" berechnen. Es bestehen folgende Möglichkeiten:
a) Berechnung der Barwerte der durch jeden Swap bewirkten Zahlungsströme, indem jede einzelne Zahlung mit dem entsprechenden Nullcouponäquivalent abgezinst und dem entsprechenden Laufzeitband (für Anleihen mit Coupon < 3 %) zugeordnet wird (vgl. Ziff. 8.1);
b) Berechnung der Sensitivität der Netto-Barwerte der einzelnen Zahlungsströme anhand der in der Durationsmethode angegebenen Renditeänderungen. Die Sensitivitäten sind dann in die entsprechenden Zeitbänder einzuordnen und nach der Durationsmethode zu behandeln (vgl. Ziff. 8.2).
Wird von einer dieser Möglichkeiten Gebrauch gemacht, so hat die bankengesetzliche Revisionsstelle explizit die Adäquanz der verwendeten Systeme zu verifizieren und zu bestätigen. Insbesondere müssen die berechneten erforderlichen Eigenmittel die Sensitivitäten der einzelnen Zahlungsströme in Bezug auf Zinsänderungen adäquat reflektieren.
7. Spezifisches Risiko
1) Bei der Berechnung der erforderlichen Eigenmittel für das spezifische Risiko wird die Nettoposition pro Emittent nach Art. 31 bestimmt. Eine Ausnahme besteht, falls für Optionen das vereinfachte Verfahren angewendet wird (siehe Ziff. 23.1). In diesem Fall werden die Anforderungen für das allgemeine Marktrisiko und für das spezifische Risiko der Positionen gleichzeitig bestimmt, und die Berücksichtigung der Optionspositionen bei der Ermittlung der Nettopositionen nach Art. 31 entfällt. Innerhalb einer der Kategorien nach Abs. 2 können alle Zinsinstrumente desselben Emittenten verrechnet werden. Der einzelnen Bank bleibt es zudem freigestellt, sämtliche Zinsinstrumente eines Emittenten jener Kategorie nach Abs. 2 zuzuordnen, welche dem höchsten Unterlegungssatz für ein im relevanten Portfolio enthaltenes Zinsinstrument des betreffenden Emittenten entspricht. Die Bank hat sich auf eine Methode festzulegen und diese stetig anzuwenden.
2) Die Anforderungen für das spezifische Risiko ergeben sich durch Multiplikation der Nettoposition pro Emittent mit den Sätzen nach Art. 86 Abs. 1, wobei für die Definition der in Art. 86 Abs. 1 aufgeführten Kategorie "qualifizierte Zinsinstrumente" Abs. 3 massgebend ist. Die Anforderungen für das spezifische Risiko sind für jede Währung getrennt zu berechnen. Der von der Bank gehaltene Bestand an eigenen Schuldtiteln ist bei der Berechnung des spezifischen Risikos nicht zu berücksichtigen.
3) Als qualifizierte Zinsinstrumente nach Abs. 2 und Art. 86 Abs. 1 gelten Long- und Short-Positionen in Zinsinstrumenten:
a) mit einem Rating der Ratingklassen 1 bis 4 (Investment-Grade-Rating) von mindestens zwei von der FMA anerkannten Ratingagenturen;
b) mit einem Rating der Ratingklassen 1 bis 4 (Investment-Grade-Rating) von einer von der FMA anerkannten Ratingagentur, ohne dass ein Rating einer schlechteren Ratingklasse einer von der FMA anerkannten Ratingagentur vorliegt;
c) ohne Rating, aber mit einer Verfallsrendite und einer Restlaufzeit, die mit jenen von Titeln mit einem Rating der Ratingklassen 1 bis 4 vergleichbar sind, sofern Titel des Emittenten an einer anerkannten Börse oder an einem regulierten Markt (organisierter Markt mit regelmässiger Kurspublikation, an welchem mindestens drei voneinander unabhängige Market-Maker normalerweise täglich Kurse stellen, die regelmässig publiziert werden) gehandelt werden;
d) ohne (externes) Rating, die im Rahmen der Anwendung des IRB-Ansatzes für die Eigenmittelunterlegung von Kreditrisiken aufgrund der Solvenz des Emittenten eine Ausfallwahrscheinlichkeit (PD) haben, die nicht höher liegt als die in Bst. a genannten Positionen, und die an einer anerkannten Börse oder an einem regulierten Markt gehandelt werden;
e) ohne Rating, die von der Bank selbst ausgegeben wurden und nicht von den Eigenmitteln abzuziehen sind, sofern sie von der Bank als ausreichend liquide angesehen werden und eine Verfallsrendite und eine Restlaufzeit aufweisen, die mit jenen von Titeln mit einem Rating der Ratingklassen 1 bis 4 vergleichbar sind;
f) ohne Rating, die von der Bank selbst ausgegeben wurden und deren Kreditqualität entweder mit der gleichgesetzt wird, die einer Ratingklasse von 3 oder besser nach Art. 63 entspricht, oder als höher angesehen wird, und die aufsichtlichen und regulatorischen Vorschriften unterliegen, die mit denen dieses Anhangs vergleichbar sind.
8. Allgemeines Marktrisiko
1) Es stehen grundsätzlich zwei Methoden zur Messung und Unterlegung des allgemeinen Marktrisikos zur Verfügung: die "Laufzeitmethode" und die "Durationsmethode" (Art. 86 Abs. 2).
2) Die erforderlichen Eigenmittel sind für jede Währung getrennt mittels eines Fristigkeitenfächers zu berechnen. Währungen, in denen die Bank eine geringe Geschäftstätigkeit aufweist, können in einem Fristigkeitenfächer zusammengefasst werden. In diesem Fall ist kein Nettopositionswert, sondern ein absoluter Positionswert zu ermitteln, d.h. sämtliche Netto-Long- oder Netto-Short-Positionen aller Währungen in einem Laufzeitband sind unabhängig von ihrem Vorzeichen zu addieren, und es sind keine weiteren Verrechnungen gestattet.
8.1 Laufzeitmethode
1) Die erforderlichen Eigenmittel für das allgemeine Marktrisiko werden bei Anwendung der Laufzeitmethode wie folgt berechnet:
a) Einordnung der zu Marktwerten bewerteten Positionen in die Laufzeitbänder: sämtliche Long- und Short-Positionen sind in die entsprechenden Laufzeitbänder des Fristigkeitenfächers einzuordnen. Festverzinsliche Instrumente werden nach ihrer Restlaufzeit bis zur Endfälligkeit und zinsvariable Instrumente nach der Restlaufzeit bis zum nächsten Zinsneufestsetzungstermin klassifiziert. Die Grenzen der Laufzeitbänder sind unterschiedlich definiert für Instrumente, deren Coupons gleich oder grösser sind als 3 % und für solche, deren Coupons kleiner sind als 3 % (vgl. Tabelle 1 in Bst. b). Die Laufzeitbänder sind drei unterschiedlichen Zonen zugeordnet;
b) Gewichtung pro Laufzeitband: um der Kurssensivität in Bezug auf Zinsänderungen Rechnung zu tragen, werden die Positionen in den einzelnen Laufzeitbändern mit den in Tabelle 1 aufgeführten Risikogewichtungsfaktoren multipliziert;
| |
Coupon >= 3 %
|
Coupon < 3 %
|
Risikogewichtungsfaktor
|
Angenommene Renditeänderung
|
| |
über
|
bis und mit
|
über
|
bis und mit
|
|
|
|
Zone 1
|
|
1 Monat
|
|
1 Monat
|
0.00 %
|
-
|
| |
1 Monat
|
3 Monate
|
1 Monat
|
3 Monate
|
0.20 %
|
1.00 %
|
| |
3 Monate
|
6 Monate
|
3 Monate
|
6 Monate
|
0.40 %
|
1.00 %
|
| |
6 Monate
|
12 Monate
|
6 Monate
|
12 Monate
|
0.70 %
|
1.00 %
|
|
Zone 2
|
1 Jahr
|
2 Jahre
|
1.0 Jahre
|
1.9 Jahre
|
1.25 %
|
0.90 %
|
| |
2 Jahre
|
3 Jahre
|
1.9 Jahre
|
2.8 Jahre
|
1.75 %
|
0.80 %
|
| |
3 Jahre
|
4 Jahre
|
2.8 Jahre
|
3.6 Jahre
|
2.25 %
|
0.75 %
|
|
Zone 3
|
4 Jahre
|
5 Jahre
|
3.6 Jahre
|
4.3 Jahre
|
2.75 %
|
0.75 %
|
| |
5 Jahre
|
7 Jahre
|
4.3 Jahre
|
5.7 Jahre
|
3.25 %
|
0.70 %
|
| |
7 Jahre
|
10 Jahre
|
5.7 Jahre
|
7.3 Jahre
|
3.75 %
|
0.65 %
|
| |
10 Jahre
|
15 Jahre
|
7.3 Jahre
|
9.3 Jahre
|
4.50 %
|
0.60 %
|
| |
15 Jahre
|
20 Jahre
|
9.3 Jahre
|
10.6 Jahre
|
5.25 %
|
0.60 %
|
| |
20 Jahre
|
|
10.6 Jahre
|
12.0 Jahre
|
6.00 %
|
0.60 %
|
| |
|
|
12.0 Jahre
|
20.0 Jahre
|
8.00 %
|
0.60 %
|
| |
|
|
20 Jahre
|
|
12.50 %
|
0.60 %
|
Tabelle 1: Laufzeitmethode: Laufzeitbänder und Risikogewichtungsfaktoren
c) Vertikale Verrechnung: aus sämtlichen gewichteten Long- und Short-Positionen wird in jedem Laufzeitband die Nettoposition ermittelt. Die risikogewichtete geschlossene Position (als geschlossene Position wird der kleinere der absoluten Beträge der Summen jeweils gegeneinander aufgerechneter gewichteter Long- und Short-Positionen bezeichnet) ist für jedes Laufzeitband mit einer erforderlichen Eigenmitteln von 10 % zu belegen. Dies dient der Berücksichtigung des Basis- und des Zinsstrukturrisikos innerhalb des jeweiligen Laufzeitbandes;
d) Horizontale Verrechnung: zur Ermittlung der gesamten Netto-Zinsposition sind auch Verrechnungen zwischen entgegengesetzten Positionen unterschiedlicher Fristigkeit möglich, wobei die resultierenden geschlossenen Positionen wiederum mit Eigenmittelanforderung belastet werden. Dieser Prozess wird als horizontale Verrechnung bezeichnet. Die horizontale Verrechnung erfolgt in zwei Stufen: zunächst innerhalb jeder der drei Zonen und anschliessend zwischen den Zonen.
Zoneninterne horizontale Verrechnung: die risikogewichteten offenen Nettopositionen der einzelnen Laufzeitbänder werden innerhalb ihrer jeweiligen Zone zu einer Zonen-Nettoposition aggregiert und untereinander verrechnet. Die aus der Verrechnung resultierenden geschlossenen Positionen sind für jede Zone mit erforderlichen Eigenmitteln zu belegen. Diese betragen 40 % für die Zone 1 und je 30 % für die Zonen 2 und 3.
Horizontale Verrechnung zwischen unterschiedlichen Zonen: unter der Voraussetzung gegenläufiger Vorzeichen können die Zonen-Nettopositionen benachbarter Zonen miteinander verrechnet werden. Daraus resultierende geschlossene Nettopositionen sind mit erforderlichen Eigenmitteln von 40 % zu belegen. Eine aus der Verrechnung zweier benachbarter Zonen übrig bleibende offene Position verbleibt in ihrer jeweiligen Zone und bildet die Basis einer allfälligen weiteren Verrechnung. Allfällige geschlossene Nettopositionen aus einer Verrechnung zwischen den nicht benachbarten Zonen 1 und 3 sind mit erforderlichen Eigenmitteln von 150 % zu belegen.
2) Die erforderlichen Eigenmittel für das Zinsänderungsrisiko in einer bestimmten Währung nach der Laufzeitenmethode ergeben sich demzufolge aus der Summe folgender, unterschiedlich zu gewichtender Komponenten:
| |
Komponenten
|
Gewichtungsfaktor
|
|
1.
|
Netto-Long- bzw. Netto-Short-Position insgesamt
|
100 %
|
|
2.
|
Vertikale Verrechnung: Gewichtete geschlossene Position in jedem Laufzeitband
|
10 %
|
|
3.
|
Horizontale Verrechnung:
|
|
| |
Geschlossene Position in der Zone 1
|
40 %
|
| |
Geschlossene Position in der Zone 2
|
30 %
|
| |
Geschlossene Position in der Zone 3
|
30 %
|
| |
Geschlossene Position aus Verrechnungen zwischen benachbarten Zonen
|
40 %
|
| |
Geschlossene Position aus Verrechnung zwischen nicht benachbarten Zonen
|
150 %
|
|
4.
|
gegebenenfalls Zuschlag für Optionspositionen (Ziff. 23.1. 23.2b und 23.2c oder 23.3)
|
100 %
|
Tabelle 2: Komponenten der erforderlichen Eigenmittel
3) Die Verrechnungen kommen nur dann zur Anwendung, wenn innerhalb eines Laufzeitbandes, innerhalb einer Zone oder zwischen den Zonen Positionen mit entgegengesetzten Vorzeichen miteinander verrechnet werden können. Ein Beispiel zur Bestimmung der erforderlichen Eigenmittel nach der Laufzeitmethode befindet sich in Beilage 1.
8.2 Durationsmethode
1) Banken, welche über die entsprechenden organisatorischen, personellen und technischen Kapazitäten verfügen, können alternativ zur Laufzeitmethode die Durationsmethode anwenden. Haben sie sich für die Durationsmethode entschieden, so dürfen sie nur in begründeten Fällen zurück zur Laufzeitmethode wechseln. Die Durationsmethode ist grundsätzlich von sämtlichen Niederlassungen und für sämtliche Produkte anzuwenden.
2) Nach dieser Methode wird die Kurssensitivität jedes Finanzinstrumentes separat berechnet. Es besteht auch die Möglichkeit, das Finanzinstrument nach Ziff. 6.3 Abs. 3 in seine Zahlungsströme aufzuspalten und die Duration für jede einzelne Zahlung zu berücksichtigen. Die erforderlichen Eigenmittel für das allgemeine Marktrisiko berechnen sich wie folgt:
a) Berechnung der Kurssensitivitäten: die Kurssensitivität wird für jedes Instrument bzw. dessen Zahlungsströme separat berechnet, wobei abhängig von der Duration die in Tabelle 3 aufgeführten, unterschiedlichen Renditeänderungen zu unterstellen sind. Die Kurssensitivität ergibt sich durch Multiplikation des Marktwertes des Instrumentes bzw. Zahlungsstromes mit seiner modifizierten Duration und der angenommenen Renditeänderung. Die modifizierte Duration ist nach folgender Formel zu berechnen:
Ct= Barzahlungen im Zeitraum t
m = Gesamtlaufzeit
Bei Instrumenten mit variabler Verzinsung berechnet die Bank unter Zugrundelegung des Marktwertes jedes Instrumentes dessen Rendite unter der Annahme, dass das Kapital fällig wird, sobald der Zinssatz (für den darauffolgenden Zeitraum) geändert werden darf;
b) Einordnung der Kurssensitivitäten in die Zeitbänder: die resultierenden Sensitivitäten werden in einen auf der modifizierten Duration des Instrumentes bzw. des Zahlungsstromes basierenden Fächer mit 15 Zeitbändern eingetragen;
| |
|
|
Angenomme
Renditeänderung
|
| |
über
|
bis und mit
|
|
|
Zone 1
|
|
1 Monat
|
1.00 %
|
| |
1 Monat
|
3 Monate
|
1.00 %
|
| |
3 Monate
|
6 Monate
|
1.00 %
|
| |
6 Monate
|
12 Monate
|
1.00 %
|
|
Zone 2
|
1.0 Jahre
|
1.9 Jahre
|
0.90 %
|
| |
1.9 Jahre
|
2.8 Jahre
|
0.80 %
|
| |
2.8 Jahre
|
3.6 Jahre
|
0.75 %
|
|
Zone 3
|
3.6 Jahre
|
4.3 Jahre
|
0.75 %
|
| |
4.3 Jahre
|
5.7 Jahre
|
0.70 %
|
| |
5.7 Jahre
|
7.3 Jahre
|
0.65 %
|
| |
7.3 Jahre
|
9.3 Jahre
|
0.60 %
|
| |
9.3 Jahre
|
10.6 Jahre
|
0.60 %
|
| |
10.6 Jahre
|
12 Jahre
|
0.60 %
|
| |
12 Jahre
|
20 Jahre
|
0.60 %
|
| |
20 Jahre
|
|
0.60 %
|
Tabelle 3: Durationsmethode: Laufzeitbänder und Renditeänderung
c) Vertikale Verrechnung: die vertikale Verrechnung innerhalb der einzelnen Zeitbänder ist analog der Laufzeitmethode vorzunehmen, wobei jedoch die risikogewichtete geschlossene Position für jedes Laufzeitband mit erforderlichen Eigenmitteln von 5 % zu belegen ist;
d) Horizontale Verrechnung: die horizontale Verrechnung zwischen den Zeitbändern und den Zonen erfolgt analog der Laufzeitmethode.
3) Die erforderlichen Eigenmittel für das allgemeine Zinsänderungsrisiko pro Währung ergeben sich nach der Durationsmethode somit aus der Summe der Nettoposition, den verschiedenen Verrechnungen und gegebenenfalls einem Zuschlag für Optionspositionen nach Ziff. 23.1, 23.2b und 23.2c oder 23.3. Bei der Ermittlung der erforderlichen Eigenmittel ist Tabelle 2 (Ziff. 8.1 Abs. 2), einschliesslich der darin enthaltenen Gewichtungsfaktoren, ausgenommen desjenigen für die vertikale Verrechnung, für den Abs. 2 Bst. c massgebend ist, anzuwenden.
C. Aktienkursrisiko
9. Im Allgemeinen
1) Für die Bestimmung der erforderlichen Eigenmittel für Aktienkursrisiken sind sämtliche Positionen in Aktien, Derivaten sowie Positionen, die sich wie Aktien verhalten, einzubeziehen (im Folgenden werden diese generell als Aktien bezeichnet).
2) Die erforderlichen Eigenmittel für Aktienkursrisiken setzen sich aus den beiden folgenden, getrennt zu berechnenden Komponenten zusammen:
a) die Komponente für spezifische Risiken: erfasst und unterlegt werden jene Risiken, die auf den Emittenten der Aktien zurückzuführen sind, und nicht durch allgemeine Marktschwankungen erklärt werden können;
b) die Komponente für das allgemeine Marktrisiko: erfasst und unterlegt werden Risiken in der Form von Schwankungen des jeweiligen nationalen Aktienmarktes.
3) Weisen Positionen neben den hier behandelten Aktienkursrisiken noch andere Risiken, wie z.B. Währungsrisiken oder Zinsänderungsrisiken auf, sind diese nach den entsprechenden Abschnitten dieses Anhangs zu erfassen.
10. Abbildung der Positionen
1) Sämtliche Positionen sind zunächst zu Marktwerten zu bewerten. Fremdwährungspositionen müssen zum Kassakurs in Schweizer Franken umgerechnet werden.
2) Indexpositionen können wahlweise entweder als Indexinstrumente behandelt oder in die einzelnen Aktienpositionen aufgesplittet und wie normale Aktienpositionen behandelt werden. Die Bank hat sich jedoch auf eine Methode festzulegen und diese stetig anzuwenden.
3) Aktienderivate und ausserbilanzielle Positionen, deren Werte von Aktienkursveränderungen beeinflusst werden, sind zum Marktwert der tatsächlichen oder fiktiven Basisinstrumente (Kontraktvolumen, d.h. Marktwert der zugrunde liegenden Basiswerte) in das Messsystem aufzunehmen. Aktien- und Aktienindexoptionen werden nach den in Ziff. 21 bis 23.3 aufgeführten Methoden behandelt.
10.1 Zulässige Verrechnung von sich ausgleichenden Positionen
Gegenläufige Positionen (unterschiedliche Positionen in Derivaten oder in Derivaten und entsprechenden Basisinstrumenten) in jeder identischen Aktie oder jedem identischen Aktienindex können miteinander verrechnet werden. Zu beachten ist, dass Futures und Forwards als Kombination einer Long- und einer Short-Position abzubilden sind (vgl. Ziff. 10.2) und deshalb die Zinsposition bei der Verrechnung mit einer entsprechenden Kassaposition im Basisinstrument bestehen bleibt.
10.2 Futures- und Forward-Kontrakte
Futures- und Forward-Kontrakte sind als Kombination einer Long- bzw. einer Short-Position in einer Aktie, einem Aktienkorb oder einem Aktienindex einerseits und einer fiktiven Staatsanleihe andererseits zu behandeln. Aktienpositionen werden dabei zum aktuellen Marktpreis, Aktienkorb- oder Aktienindexpositionen als zu Marktpreisen bewerteter aktueller Wert des fiktiven zugrunde liegenden Aktienportfolios erfasst.
10.3 Swaps
Aktienswaps werden ebenfalls als Kombination einer Long- und einer Short-Position abgebildet. Dabei kann es sich entweder um eine Kombination aus zwei Aktien-, Aktienkorb- oder Aktienindexpositionen oder um eine Kombination aus einer Aktien-, Aktienkorb- oder Aktienindexposition und einer Zinsposition handeln.
11. Spezifisches Risiko und allgemeines Marktrisiko
11.1 Spezifisches Risiko
1) Zur Bestimmung der erforderlichen Eigenmittel für das spezifische Risiko wird die Nettoposition pro Emittent nach Art. 31 bestimmt, d.h. Positionen mit unterschiedlichem Vorzeichen für denselben Emittenten können verrechnet werden. Eine Ausnahme besteht, falls für Optionen das vereinfachte Verfahren angewendet wird. In diesem Fall werden die Anforderungen für das allgemeine Marktrisiko und für das spezifische Risiko der Positionen gleichzeitig bestimmt und die Berücksichtigung der Optionspositionen bei der Ermittlung der Nettoposition nach Art. 31 entfällt.
2) Die erforderlichen Eigenmittel entsprechen 8 % der Nettoposition pro Emittent (Art. 87 Abs. 1).
3) Für diversifizierte und liquide Aktienportfolios nach Art. 87 Abs. 2 reduzieren sich die Anforderungen für die spezifischen Risiken auf 4 % der Nettoposition pro Emittent. Referenzgrösse zur Überprüfung der 5 %-Grenze nach Art. 87 Abs. 2 ist dabei die Summe der absoluten Werte der Nettopositionen aller Emittenten. Das globale Aktienportfolio kann in zwei Subportfolios aufgeteilt werden, so dass das eine der beiden Subportfolios "diversifiziert und liquide" ist und die spezifischen Risiken innerhalb dieses Portfolios lediglich mit 4 % unterlegt werden müssen.
4) Werden Aktienindexkontrakte nicht in ihre Bestandteile aufgesplittet, ist eine Netto-Long- bzw. Netto-Short-Position in einem Aktienindexkontrakt, der ein breit diversifiziertes Aktienportfolio repräsentiert, mit 2 % eigenen Mitteln zu unterlegen. Der Satz von 2 % ist jedoch beispielsweise auf Sektorindizes nicht anwendbar. Für das Kriterium der Diversifikation gelangen im Fall von Aktienindexkontrakten nicht die Bestimmungen nach Abs. 3 zur Anwendung.
11.2 Allgemeines Marktrisiko
Die erforderlichen Eigenmittel für das allgemeine Marktrisiko betragen 8 % der Nettoposition pro nationalen Aktienmarkt (Art. 87 Abs. 3). Es ist für jeden nationalen Aktienmarkt eine getrennte Berechnung vorzunehmen, wobei Long- und Short-Positionen in Instrumenten unterschiedlicher Emittenten desselben nationalen Marktes miteinander verrechnet werden können.
D. Risiken von Wertpapierfondsanteilen
12. Vorgehen zur Ermittlung der erforderlichen Eigenmittel
12.1 Im Allgemeinen
1) Anteile von Anlagefonds sind zwecks Ermittlung der erforderlichen Eigenmittel wie Aktien zu behandeln, sofern nachfolgend nichts anderes bestimmt wird.
2) Die Banken können die erforderlichen Eigenmittel für Anteile von Wertpapierfonds, die die in Ziff. 12.2 genannten Kriterien erfüllen, nach dem Verfahren nach Ziff. 12.3 ermitteln.
3) Sofern anderweitig nichts anderes geregelt ist, dürfen die einzelnen Bestandteile bzw. Anlagen eines Wertpapierfonds nicht mit den anderen von der Bank gehaltenenen Positionen verrechnet werden.
12.2 Voraussetzungen für die Anwendung von Ziff. 12.3
1) Für die Verwendung des Verfahrens nach Ziff. 12.3 gelten für Wertpapierfonds (UCITS/OGAW/Investmentunternehmen), die von Gesellschaften, die in einem EWR-Land oder der Schweiz beaufsichtigt werden oder gegründet wurden, emittiert werden, die folgenden allgemeinen Voraussetzungen:
a) der Prospekt des Wertpapierfonds oder ein gleichwertiges Dokument umfassen:
1. die Kategorien der Vermögenswerte, in die der Wertpapierfonds investieren darf;
2. im Falle der Existenz von Anlagebeschränkungen, die entsprechenden Beschränkungen und Methoden zu ihrer Berechnung;
3. im Falle der Zulässigkeit eines Hebels, die Höchstgrenze dieses Hebels;
4. im Falle der Zulässigkeit von Anlagen in OTC-Finanzderivate oder Repo-ähnliche Geschäfte eine Strategie zur Begrenzung des Gegenparteiausfallrisikos, das sich aus diesen Geschäften ergibt;
b) über die Geschäftstätigkeit des Wertpapierfonds wird in einem Halbjahresbericht und in einem Jahresbericht informiert, die eine Bewertung der Aktiven und Passiven sowie der Gewinne und Geschäfte während des Berichtzeitraums ermöglichen;
c) die Anteile des Wertpapierfonds sind in bar rückzahlbar, und zwar aus den Vermögenswerten des Wertpapierfonds auf täglicher Basis und auf Anfrage des Anteilsinhabers;
d) die Anlagen des Wertpapierfonds sind von den Vermögenswerten der Verwaltungsgesellschaft des Wertpapierfonds getrennt;
e) die investierende Bank stellt eine angemessene Risikobewertung des Wertpapierfonds sicher.
2) Das Verfahren nach Ziff. 12.3 darf auch für Wertpapierfonds aus Nicht-EWR-Ländern (ohne Schweiz) angewendet werden, wenn die Voraussetzungen nach Abs. 1 erfüllt sind und die FMA zugestimmt hat. Erfüllt ein Wertpapierfonds aus einem Nicht-EWR-Land nach Ansicht einer zuständigen Behörde eines anderen EWR-Landes bereits die Voraussetzungen von Abs. 1, kann die FMA diesen Wertpapierfonds ohne weitere eigene Prüfungen anerkennen.
12.3 Verfahren zur Aufsplittung von Wertpapierfonds in ihre Bestandteile
1) Sofern der Bank die einzelnen Anlagen bzw. Bestandteile des Wertpapierfonds auf Tagesbasis bekannt sind, kann sie den Wertpapierfonds in seine Bestandteile aufsplitten und für diese einzelnen Bestandteile bzw. Positionen die erforderlichen Eigenmittel für das allgemeine Marktrisiko und das spezifische Risiko nach den jeweiligen Bestimmungen für die entsprechenden Risikokategorien im Einklang mit den in diesem Anhang genannten Methoden berechnen.
2) Aufgrund von Abs. 1 werden Positionen in Anteilen von Wertpapierfonds wie Positionen in den dem Wertpapierfonds zugrunde liegenden Anlagen behandelt. Positionen in den dem Wertpapierfonds zugrunde liegenden Anlagen und anderen von der Bank gehaltenen Positionen dürfen verrechnet werden, sofern die Bank eine ausreichende Zahl an Anteilen hält, um eine Einlösung im Austausch für die zugrunde liegenden Anlagen zu ermöglichen.
3) Die Banken können die erforderlichen Eigenmittel für das allgemeine Marktrisiko und das spezifische Risiko für Positionen in Wertpapierfonds nach den in diesem Anhang genannten Methoden berechnen, und zwar für angenommene Positionen, die jene repräsentieren, die erforderlich wären, um die Zusammensetzung und die Wertentwicklung eines extern geschaffenen Indexes oder eines festen Korbs von Beteiligungs- oder Schuldtiteln nachzubilden, sofern die folgenden Bedingungen erfüllt sind:
a) Ziel des Wertpapierfonds-Mandats ist es, die Zusammensetzung und die Wertentwicklung eines extern geschaffenen Indexes oder eines festen Korbs von Beteiligungs- oder Schuldtiteln nachzubilden;
b) es kann eindeutig eine Mindestkorrelation von 0.9 zwischen den täglichen Kursbewegungen des Wertpapierfonds und des Indexes oder des Korbs von Beteiligungs- oder Schuldtiteln, den er nachbildet, über einen Mindestzeitraum von sechs Monaten nachgewiesen werden. Unter Korrelation versteht man in diesem Zusammenhang den Korrelationskoeffizienten zwischen den Tagesrenditen auf den börsengehandelten Fonds und dem Index bzw. Korb von Beteiligungs- oder Schuldtiteln, den er nachbildet.
4) Sind der Bank die einzelnen Anlagen bzw. Bestandteile des Wertpapierfonds auf Tagesbasis nicht bekannt, kann sie die erforderlichen Eigenmittel für das allgemeine Marktrisiko und das spezifische Risiko nach den jeweiligen Bestimmungen für die entsprechenden Risikokategorien im Einklang mit den in diesem Anhang genannten Methoden berechnen, sofern folgende Bedingungen erfüllt sind:
a) es wird davon ausgegangen, dass der Wertpapierfonds zunächst bis zur unter seinem Mandat zulässigen Höchstgrenze in die Kategorien von Vermögenswerten investiert, die die höchste Eigenmittelanforderung für das allgemeine Marktrisiko und das spezifische Risiko erhalten, und sodann Anlagen in absteigender Reihenfolge tätigt, bis die maximale Gesamtanlagengrenze erreicht ist. Die so ermittelten Positionen des Wertpapierfonds werden als direkte Anlagen in der angenommen Position behandelt;
b) die Banken berücksichtigen bei der Berechnung ihrer erforderlichen Eigenmittel für das allgemeine Marktrisiko und das spezifische Risiko das maximale indirekte Risiko, das sie eingehen könnten, wenn sie über den Wertpapierfonds Positionen mit Hebelwirkung aufnehmen, indem die Position im Wertpapierfonds proportional bis zum maximalen Risiko in Bezug auf die zugrunde liegenden Anlagebestandteile, das sich nach dem Anlagemandat ergeben könnte, angehoben wird;
c) sollten die erforderlichen Eigenmittel für das allgemeine Marktrisiko und das spezifische Risiko im Rahmen dieses Ansatzes die in Ziff. 12.4 genannten übersteigen, werden die erforderlichen Eigenmittel auf diesem Niveau festgelegt.
5) Die Banken können Berechnungen der erforderlichen Eigenmittel für das allgemeine Marktrisiko und das spezifische Risiko für Wertpapierfonds-Positionen, die unter Abs. 1, 2 und 4 fallen, von Dritten verwenden, sofern die Berechnungen nach der in diesem Anhang genannten Methoden erfolgt sind und die Korrektheit der Berechnung und der Meldung angemessen sichergestellt ist.
12.4 Erforderliche Eigenmittel
Unbeschadet anderer Bestimmungen dieses Abschnitts betragen die erforderlichen Eigenmittel für das allgemeine Marktrisiko und das spezifische Risiko für Anteile von Wertpapierfonds 32 %.
E. Gegenpartei-Kreditausfallrisiko (Counterparty Credit Risk, CCR)
13. Vorgehen zur Ermittlung der erforderlichen Eigenmittel
13.1 Grundsätzliches
1) Eine Bank muss das Gegenpartei-Kreditausfallrisiko mit Eigenmitteln unterlegen, wenn sich dieses Risiko aus Risikopositionen ergibt, die auf Grund folgender Elemente entstanden sind:
a) Vorleistungen;
b) nicht börsengehandelte Derivate und Kreditderivative;
c) Pensionsgeschäfte, umgekehrte Pensionsgeschäfte; Wertpapierleih- oder Wertpapierverleihgeschäfte bzw. Warenleih- oder Warenverleihgeschäfte, die Gegenstand des Handelsbuches sind;
d) Kreditgewährungs-Einschüsse auf der Grundlage von Wertpapieren oder Waren bzw. Rohstoffen;
e) Geschäfte mit langer Abwicklungsfrist.
2) In diesem Sinne wird davon ausgegangen, dass eine Vorleistung erfolgt ist, wenn die Bank die Wertpapiere und Waren vor ihrer Lieferung bezahlt hat bzw. wenn sie Wertpapiere oder Waren vor Erhalt ihrer Bezahlung geliefert hat bzw. im Falle von grenzüberschreitenden Geschäften, wenn seit der Zahlung oder Lieferung mindestens ein Tag vergangen ist.
3) Vorbehaltlich Ziff. 13.2 werden Forderungswerte und risikogewichtete Forderungsbeträge für die in Abs. 1 genannten Forderungen nach Art. 29 ff. berechnet.
13.2 Abweichende Berechnung der Forderungswerte und risikogewichteten Forderungsbeträge
1) Für die Anwendung von Ziff. 13 ist es den Banken bei der Berechnung ihrer risikogewichteten Forderungsbeträge nicht gestattet, für die Anerkennung der Auswirkungen von Finanzsicherheiten die einfache Methode zur Berücksichtigung finanzieller Sicherheiten nach Anhang 1 Abschnitt 3 Teil 3 Ziff. 5.1 zu verwenden.
2) Für die Anwendung von Ziff. 13 können im Falle von Pensionsgeschäften sowie Wertpapierleih- und Wertpapierverleihgeschäften sowie Warenleih- und Warenverleihgeschäften, die im Handelsbuch verbucht werden, alle Finanzinstrumente und Waren, die geeignet sind, um in das Handelsbuch aufgenommen zu werden, als taugliche Sicherheit anerkannt werden. Bei Forderungen aufgrund von nicht börsengehandelten Derivaten, die im Handelsbuch verbucht sind, können Waren, die geeignet sind, um in das Handelsbuch aufgenommen zu werden, ebenfalls als taugliche Sicherheiten anerkannt werden. Im Hinblick auf die Berechnung von Volatilitätsanpassungen in Fällen, in denen solche Finanzinstrumente oder Waren, die nicht unter Anhang 1 Abschnitt 3 fallen, verliehen, veräussert oder bereitgestellt bzw. mittels einer Sicherheit oder auf andere Art und Weise geliehen, angekauft oder aufgenommen werden, und in denen die Bank die Volatilitätsanpassungen nach Anhang 1 Abschnitt 3 Teil 3 zugrunde legt, werden diese Instrumente und Waren auf die gleiche Art und Weise behandelt wie die Aktien eines Nebenindexes, die an einer anerkannten Börse gehandelt werden. Legen Banken die auf eigenen Schätzungen beruhenden Volatilitätsanpassungen nach Anhang 1 Abschnitt 3 Teil 3 bei nicht unter Anhang 1 Abschnitt 3 fallenden Finanzinstrumenten oder Waren zugrunde, werden Volatilitätsanpassungen einzeln ermittelt. Legen Banken den IRB-Ansatz zugrunde, können sie diesen Ansatz auch im Handelsbuch anwenden.
3) Für die Anwendung von Ziff. 13 wird im Zusammenhang mit der Anerkennung von Netting-Rahmenvereinbarungen, die Pensionsgeschäfte und/oder Wertpapierleih- und Wertpapierverleihgeschäfte oder Warenleih- und Warenverleihgeschäfte und/oder andere kapitalmarktgetriebene Geschäfte betreffen, die Verrechnung zwischen Positionen des Handelsbuches und des Bankenbuches nur dann anerkannt, wenn die verrechneten Geschäfte die folgenden Bedingungen erfüllen:
a) alle Geschäfte werden täglich zu Marktkursen bewertet;
b) alle Positionen, die im Rahmen der Transaktionen geliehen, angekauft oder aufgenommen werden, können nach Art. 55 bis 57 als taugliche finanzielle Sicherheit anerkannt werden, ohne dass Abs. 2 zur Anwendung gelangt.
4) Ist ein im Handelsbuch ausgewiesenes Kreditderivat Bestandteil eines internen Absicherungsgeschäfts und ist die Kreditbesicherung nach den Vorschriften dieser Verordnung anerkannt, wird davon ausgegangen, dass die Position im Kreditderivat kein Gegenparteienausfallrisiko verursacht.
13.3 Erforderliche Eigenmittel
Die erforderlichen Eigenmittel belaufen sich auf 8 % sämtlicher risikogewichteten Forderungsbeträge.
F. Währungsrisiko
14. Bestimmung der Nettoposition
1) In die Berechnung der erforderlichen Eigenmittel für das Währungsrisiko sind alle Positionen in Fremdwährungen und Gold einzubeziehen. Die Nettoposition einer Bank in einer Währung berechnet sich nach Art. 31. Sie entspricht der Summe aus folgenden Positionen:
a) Nettokassaposition, d.h. alle Aktiven abzüglich aller Passiven (einschliesslich der aufgelaufenen und noch nicht fälligen Zinsen in der betreffenden Währung);
b) Nettoterminposition, d.h. alle ausstehenden abzüglich aller zu zahlenden Beträge im Rahmen aller in dieser Währung getätigten Termingeschäfte. Einzusetzen sind die Nettobarwerte, d.h. die mit den aktuellen Fremdwährungs-Zinssätzen abgezinsten Positionen. Weil es sich um Barwerte handelt, werden auch Terminpositionen zum Kassakurs in Schweizer Franken umgerechnet und nicht zum Terminkurs;
c) unwiderrufliche Garantien (und vergleichbare Instrumente), die mit Sicherheit in Anspruch genommen werden und wahrscheinlich uneinbringlich sind;
d) Nettobetrag bekannter, zukünftiger und bereits voll abgesicherter Erträge und Aufwendungen; nicht abgesicherte zukünftige Erträge und Aufwendungen können wahlweise - dann jedoch durchgängig und stetig - berücksichtigt werden;
e) Devisenoptionen nach Ziff. 21 bis 23.3.
2) Somit ergibt sich pro Währung eine Netto-Long- oder Netto-Short-Position. Diese werden zum jeweiligen Kassakurs in Schweizer Franken umgerechnet.
3) Korbwährungen können als eigenständige Währung behandelt oder in ihre Währungsbestandteile zerlegt werden. Die Behandlung hat jedoch durchgängig und stetig nach der gleichen Methode zu erfolgen.
4) Positionen in Gold (Kassa- und Terminpositionen) sind in eine Standardmasseinheit umzurechnen (in der Regel Unzen oder Kilogramm). Abs. 1 ist sinngemäss anzuwenden. Die Nettoposition ist dann zum jeweiligen Kassapreis zu bewerten. Allfällige Zinsänderungs- und/oder Währungsrisiken aus Termingeschäften in Gold sind nach den entsprechenden Abschnitten dieses Anhangs zu erfassen. Die Banken können ihre Netto-Goldposition wahlweise - dann jedoch durchgängig und stetig - zusätzlich als eine Fremdwährungsposition behandeln. Eine Bank, die z.B. seine Netto-Long-Position in Gold zusätzlich als US-Dollar-Exposition behandeln würde, könnte somit eine allenfalls bereits im Portfolio vorhandene US-Dollar-Short-Position gegen diese zusätzlich integrierte US-Dollar-(Long-)Position verrechnen. Die zusätzliche Behandlung von Netto-Positionen in Gold als US-Dollar-Exposition müsste jedoch konsequent erfolgen und dürfte nicht je nach Opportunität - z.B. bei bereits vorhandener Netto-Long-Position in US-Dollars - unterbleiben.
14.1 Behandlung von Anteilen an Wertpapierfonds
1) Im Hinblick auf die in Ziff. 14 Abs. 1 genannte Berechnung werden für Wertpapierfonds die aktuellen Fremdwährungspositionen dieser Wertpapierfonds berücksichtigt.
2) Die Banken können den Ausweis von Fremdwährungspositionen in Wertpapierfonds heranziehen, der von seiten Dritter vorgenommen wurde, sofern die Korrektheit dieses Ausweises ausreichend sichergestellt ist.
3) Kennt eine Bank die Fremdwährungspositionen in einem Wertpapierfonds nicht, wird davon ausgegangen, dass in den Wertpapierfonds bis zur im Rahmen seines Mandats möglichen Höchstgrenze in Fremdwährungspositionen investiert wurde. Die Banken tragen hierbei bei der Berechnung ihrer erforderlichen Eigenmittel für Fremdwährungsrisiken im Hinblick auf ihre Handelsbuchpositionen dem maximalen indirekten Risiko Rechnung, welches sie erreichen könnten, wenn sie mittels des Wertpapierfonds Positionen mit Hebelwirkung aufnehmen würden. Dies erfolgt, indem die Position im Wertpapierfonds proportional bis zum Höchstrisiko angehoben wird, das in Bezug auf die zugrunde liegenden Positionen eingegangen werden kann, die sich aus dem Anlagemandat ergeben.
4) Die angenommene Position des Wertpapierfonds in Fremdwährungen wird wie eine gesonderte Währung behandelt, d.h. wie die Behandlung der Anlagen in Gold. Abändernd gilt allerdings, dass - sofern die Ausrichtung der Wertpapierfonds-Anlage bekannt ist - die Gesamtkaufposition zur offenen Gesamtfremdwährungskaufposition hinzuaddiert und die Gesamtverkaufsposition zur offenen Gesamtfremdwährungsverkaufsposition addiert werden kann. Eine Verrechnung derartiger Positionen vor der Berechnung wäre nicht zulässig.
15. Ausnahmen
Folgende Positionen können mit Zustimmung der FMA von der Berechnung ausgenommen werden:
a) Positionen, die bei der Berechnung der Eigenmittelausstattung von den eigenen Mitteln nach Art. 21 und 22 abgezogen werden;
b) andere Beteiligungen, die zu Anschaffungskosten ausgewiesen sind;
c) Positionen, die dauerhaft (d.h. es handelt sich nicht um Handelspositionen) und nachweislich der Absicherung der Eigenkapitalquote gegen Wechselkurseffekte dienen.
16. Bestimmung der erforderlichen Eigenmittel
Die erforderlichen Eigenmittel für Fremdwährungen und Gold betragen 10 %:
a) der in Schweizer Franken umgerechneten Summe der Netto-Long- bzw. Netto-Short-Währungspositionen, je nachdem welche grösser ist (Art. 88); zuzüglich
b) der Netto-Gold-Position, ohne Beachtung des Vorzeichens (Art. 89).
G. Waren- bzw. Rohstoffrisiko
17. Im Allgemeinen
1) In diesem Abschnitt werden die erforderlichen Eigenmittel für Positionen in Waren bzw. Rohstoffen einschliesslich Edelmetallen, ausgenommen Gold (vgl. Ziff. 13 bis 16), definiert. Sämtliche bilanziellen und ausserbilanziellen Positionen, deren Wert von Veränderungen der Waren- bzw. Rohstoffpreise beeinflusst wird, sind zu berücksichtigen. Waren bzw. Rohstoffe sind definiert als physische Güter, die an einem Sekundärmarkt gehandelt werden oder gehandelt werden können, wie zum Beispiel Agrarerzeugnisse, Mineralien und Edelmetalle.
2) Der Standardansatz für das Waren- bzw. Rohstoffrisiko eignet sich nur für Banken mit nicht wesentlichen Waren- bzw. Rohstoffpositionen. Banken mit absolut oder relativ wesentlichen Handelsbuchpositionen in Waren bzw. Rohstoffen müssen den Modellansatz anwenden. Zur Ermittlung der erforderlichen Eigenmittel für Risiken aus Positionen in Waren bzw. Rohstoffen muss grundsätzlich folgenden Risiken Rechnung getragen werden (vgl. auch Ziff. 30):
a) dem Risiko von Veränderungen der Kassapreise;
b) dem "Forward Gap Risk", d.h. dem Risiko von Veränderungen des Terminpreises aus Gründen, die nicht durch Zinsänderungen erklärt werden können (wie z.B. Veränderungen der Lagerhaltungskosten);
c) dem Basisrisiko zur Erfassung des Risikos von Veränderungen der Preisbeziehungen zwischen zwei ähnlichen, aber nicht identischen Waren bzw. Rohstoffen;
d) dem Risiko einer zu geringen Liquidität, das auf bestimmten Märkten bestehen kann, für den Fall, dass Verkaufspositionen eher als Kaufpositionen fällig werden.
3) Die im Zusammenhang mit Waren- bzw. Rohstoffgeschäften entstehenden Zinsänderungs- und Währungsrisiken sind nach den entsprechenden Abschnitten dieses Anhangs zu behandeln.
18. Bestimmung der Nettoposition
1) Sämtliche Waren- bzw. Rohstoffpositionen sind nach Tabelle 4 einer Waren- bzw. Rohstoff-Gruppe zuzuordnen. Innerhalb der Gruppe kann die Nettoposition nach Art. 31 berechnet werden, d.h. Long- und Short-Positionen dürfen verrechnet werden. In die Berechnung der Waren- bzw. Rohstoff-Nettoposition einzubeziehen sind auch Warenpensions- und Warenverleihgeschäfte.
|
Kategorie
|
Waren- bzw. Rohstoff-Gruppe
|
|
Rohöl
|
Einteilung nach geographischen Kriterien, d.h. z.B. Dubai (Persischer Golf), Brent (Europa und Afrika), WTI (Amerika), Tapis (Asien - Pazifik) etc.
|
|
Raffinerieprodukte
|
Einteilung nach Qualität, d.h. z.B. Benzin, Naphta, Flugbenzin, Heizöl leicht (inkl. Diesel), Heizöl schwer etc.
|
|
Erdgas
|
Erdgas
|
|
Edelmetalle
|
Einteilung nach chemischen Elementen, d.h. Silber, Platin etc.
|
|
Buntmetall
|
Einteilung nach chemischen Elementen, d.h. Aluminium, Kupfer, Zink etc.
|
|
Landwirtschaftliche Produkte
|
Einteilung nach Grundprodukten, jedoch ohne Differenzierung nach Qualität, d.h. Soja (inkl. Bohnen, Öl, Mehl), Mais, Zucker, Kaffee, Baumwolle etc.
|
Tabelle 4: Waren- bzw. Rohstoff-Gruppen
2) Sämtliche Waren- bzw. Rohstoffpositionen (Kassa- und Terminpositionen) sind in eine Standardmasseinheit (Barrel, Kilogramm, etc.) umzurechnen und zum aktuellen Kassapreis zu bewerten.
19. Waren- bzw. Rohstoffderivate
1) Futures- und Forward-Kontrakte sind als Kombination einer Long- bzw. einer Short-Position in einem Rohstoff bzw. einer Ware einerseits und einer fiktiven Staatsanleihe andererseits zu behandeln.
2) Waren- bzw. Rohstoff-Swaps mit einem festen Preis auf der einen und dem jeweiligen Marktpreis auf der anderen Seite sind als eine Reihe von Positionen zu berücksichtigen, die dem Nominalbetrag des Kontraktes entsprechen. Dabei ist jede Zahlung im Rahmen des Swaps als eine Position zu betrachten. Eine Long-Position ist gegeben, wenn die Bank einen festen Preis zahlt und einen variablen erhält (Short-Position: vice versa). Waren- bzw. Rohstoff-Swaps, die verschiedene Waren bzw. Rohstoffe betreffen, sind getrennt in den entsprechenden Gruppen zu erfassen.
3) Waren- bzw. Rohstoff-Futures und -Forwards werden analog den Aktien-Futures und -Forwards behandelt.
4) Optionen auf Waren bzw. Rohstoffe werden nach den in Ziff. 21 bis 23.3 aufgeführten Methoden behandelt.
20. Bestimmung der erforderlichen Eigenmittel
Die Anforderungen für das Waren- bzw. Rohstoffrisiko betragen 20 % der Nettoposition pro Waren- bzw. Rohstoff-Gruppe (Art. 90). Um dem Basisrisiko, dem Zinsänderungsrisiko und dem "Forward Gap Risk" Rechnung zu tragen, bestehen zusätzliche Anforderungen in Höhe von 3 % der Bruttopositionen (Summe der absoluten Werte der Long- und Short-Positionen) aller Waren- bzw. Rohstoff-Gruppen.
H. Optionen
21. Abgrenzung
Bei Finanzinstrumenten, die ein Optionselement enthalten, das nicht materiell und dominant in Erscheinung tritt, ist das Optionselement im Sinne der Eigenmittelvorschriften nicht zwingend als Option zu behandeln. Der jeweiligen spezifischen Charakteristik des Finanzinstruments entsprechend dürfen Wandelanleihen als Obligationen oder als Aktien behandelt werden. Obligationen mit vorzeitigem Kündigungsrecht des Emittenten können als reine Obligationen behandelt und basierend auf dem wahrscheinlichsten Rückzahlungszeitpunkt in das entsprechende Laufzeitband eingeordnet werden. Die Bestimmung der erforderlichen Eigenmittel für Kreditderivate ist in Ziff. 24 bis 26.4 geregelt.
22. Behandlung von Finanzinstrumenten mit Optionscharakter
1) Tritt der Optionscharakter materiell und dominant in Erscheinung, sind die betreffenden Finanzinstrumente wie folgt zu behandeln:
a) analytische Zerlegung in Optionen und Grundinstrumente; oder
b) Approximation ihrer Risikoprofile mittels synthetischer Portfolios aus Optionen und Grundinstrumenten.
2) Die Unterlegungspflicht derart identifizierter Optionen bestimmt sich nach Ziff. 23.
23. Verfahren zur Berechnung der erforderlichen Eigenmittel
Zur Bestimmung der erforderlichen Eigenmittel für Optionspositionen sind drei Verfahren zulässig: Das vereinfachte Verfahren für Banken, die nur gekaufte Optionen verwenden, und das Delta-Plus-Verfahren sowie die Szenario-Analyse für alle anderen Banken.
23.1 Vereinfachtes Verfahren
1) Beim vereinfachten Verfahren sind Optionen sowohl bezüglich des spezifischen Risikos als auch des allgemeinen Marktrisikos nicht in den Standardansatz einzubeziehen; sie werden mit den separat berechneten erforderlichen Eigenmitteln belegt. Diese werden dann zu den erforderlichen Eigenmitteln für die einzelnen Kategorien, d.h. Zinsinstrumente, Aktien, Fremdwährungen, Gold und Waren bzw. Rohstoffe, addiert:
a) gekaufte Call- oder Put-Optionen: die erforderlichen Eigenmittel entsprechen dem kleineren Betrag aus:
1. dem Marktwert der Option; oder
2. dem Marktwert des Basisinstrumentes (Kontraktvolumen, d.h. Marktwert der zugrunde liegenden Basiswerte) multipliziert mit der Summe der Sätze für das allgemeine Marktrisiko und - falls gegeben - für das spezifische Risiko in Bezug auf das Basisinstrument.
b) Kassa-Long-Position und gekaufte Put-Option oder Kassa-Short-Position und gekaufte Call-Option (Voraussetzung zur Bildung dieser Kombinationen ist nicht das Vorliegen originärer Kassapositionen. Eine Terminposition bzw. die neben der fiktiven Staatsanleihe aus ihr resultierende Kassa-Positions-Komponente darf genauso als Basis zur Bildung von Kombinationspaaren mit Optionsinstrumenten verwendet werden. Die Komponente der fiktiven Staatsanleihe ist dabei nach konventionellen Verfahren für das Zinsänderungsrisiko (vgl. Ziff. 5 ff.) ausserhalb des vereinfachten Verfahrens für die Optionen ebenfalls mit Eigenmitteln zu unterlegen.): die erforderlichen Eigenmittel entsprechen dem Marktwert des Basisinstrumentes (Kontraktvolumen, d.h. Marktwert der zugrunde liegenden Basiswerte) multipliziert mit der Summe der Sätze für das allgemeine Marktrisiko und - falls gegeben - für das spezifische Risiko in Bezug auf das Basisinstrument abzüglich des inneren Wertes der Option. Die gesamten Anforderungen können dabei aber keinen negativen Wert annehmen. Die entsprechenden Basisinstrumente sind nicht mehr in den Standardansatz einzubeziehen.
2) Ein Beispiel zur Bestimmung der erforderlichen Eigenmittel nach dem vereinfachten Verfahren befindet sich in Beilage 2.
23.2 Delta-Plus-Verfahren
1) Werden Optionen nach dem Delta-Plus-Verfahren behandelt, sind sie als Positionen abzubilden, die dem mit dem Delta (Sensitivität des Optionspreises gegenüber Veränderungen des Preises des Basisinstruments) multiplizierten Marktwert des Basisinstrumentes (Kontraktvolumen, d.h. Marktwert der zugrunde liegenden Basiswerte) entsprechen. Abhängig vom Basisinstrument werden sie in die Eigenmittelberechnung für das spezifische Risiko und das allgemeine Marktrisiko nach Ziff. 5 bis 20 einbezogen. Da die Risiken von Optionen mit dem Delta jedoch nicht ausreichend erfasst werden, müssen die Banken auch das Gamma-Risiko (Risiko aufgrund nicht-linearer Beziehungen zwischen Optionspreisänderungen und Veränderungen des Preises des Basisinstruments) und das Vega-Risiko (Risiko aufgrund der Sensitivität der Optionspreise gegenüber Veränderungen der Volatilität des Basisinstrumentes) berechnen.
2) Ein Beispiel zur Berechnung der erforderlichen Eigenmittel nach dem Delta-Plus-Verfahren befindet sich in Beilage 3.
23.2a Delta-Risiko
1) Die erforderlichen Eigenmittel für das Delta-Risiko von Optionen auf Zinsinstrumente, Aktien, Devisen und Waren bzw. Rohstoffe (einschliesslich Optionsscheine auf Zinsinstrumente und Aktien) basieren auf den deltagewichteten Positionen.
2) Die deltagewichteten Optionen auf Schuldtitel oder Zinssätze werden bei der Berechnung des allgemeinen Marktrisikos den in Ziff. 8.1 und 8.2 beschriebenen Laufzeitbändern für Zinsinstrumente zugeordnet und - falls gegeben - ebenso bei der Berechnung des spezifischen Risikos berücksichtigt. Optionen auf Derivate sind wie die entsprechenden Derivate selbst doppelt abzubilden. So wird eine gekaufte Call-Option auf einen im Juni fälligen Drei-Monats-Zinsfuture im April - auf Basis ihres Delta-Äquivalents - als Long-Position mit einer Laufzeit von fünf Monaten und als Short-Position mit einer Laufzeit von zwei Monaten betrachtet. Die verkaufte Option wird auf entsprechende Weise als Long-Position mit einer Laufzeit von zwei Monaten und als Short-Position mit einer Laufzeit von fünf Monaten eingeordnet.
3) Optionen auf Aktien, Devisen, Gold und Waren bzw. Rohstoffe gehen ebenfalls als deltagewichtete Position in die unter Ziff. 9 bis 20 beschriebenen Messgrössen für das Marktrisiko ein.
23.2b Gamma-Risiko
1) Für jede einzelne Option ist der Gamma-Effekt nach folgender Definition zu berechnen:
Gamma - Effekt = 0.5 · γ · VB2
wobei γ den Gamma-Wert und VB die preisliche Veränderung des (fiktiven) Basisinstrumentes der Option bezeichnet. VB wird durch Multiplikation des Marktwertes dieses Basisinstrumentes (Kontraktvolumen, d.h. Markwert der zugrunde liegenden Basiswerte) mit folgenden Sätzen berechnet:
a) Optionen auf Anleihen bzw. entsprechende Terminkontrakte: Risikogewicht nach Tabelle 1 (abhängig von der Laufzeit des (fiktiven) Basisinstruments);
b) Optionen auf Zinssätze bzw. entsprechende Terminkontrakte: zu Optionen auf Anleihen analoge Berechnungsweise, gestützt auf die entsprechende anzunehmende Renditeänderung nach Tabelle 3 (VB ergibt sich damit als die durch die entsprechende anzunehmende Renditeänderung nach Tabelle 3 implizierte Veränderung des aus dem Basiswert resultierenden Gegenwartswertes);
c) Optionen auf Aktien oder Aktienindizes bzw. entsprechende Terminkontrakte: 8 %;
d) Optionen auf Devisen oder Gold bzw. entsprechende Terminkontrakte: 10 %;
e) Optionen auf Waren/Rohstoffe bzw. entsprechende Terminkontrakte: 20 %.
2) Aus den Gamma-Effekten ist für jede Kategorie von Basisinstrumenten ein Netto-Gamma-Effekt zu berechnen. Die einzelnen Kategorien sind dabei wie folgt definiert:
a) Zinsinstrumente derselben Währung und desselben Laufzeitbandes nach Tabelle 1 für Banken, welche die Laufzeitmethode verwenden bzw. nach Tabelle 3 für Banken, welche die Durationsmethode verwenden;
b) Aktien und Aktienindizes desselben nationalen Marktes oder desselben einheitlichen Währungsraumes;
c) Fremdwährungen jedes identischen Währungspaares;
d) Gold; und
e) Waren bzw. Rohstoffe nach Tabelle 4.
3) In die Eigenmittelberechnung sind nur die negativen Netto-Gamma-Effekte einzubeziehen und als Absolutwerte zu den gesamten erforderlichen Eigenmitteln zu addieren.
4) Die hier dargelegte Methode zur Berechnung der Gamma-Eigenmittelanforderungen berücksichtigt nur das allgemeine Marktrisiko. Banken, die über wesentliche Positionen in Optionen auf einzelne Aktieninstrumente oder Schuldtitel verfügen, müssen jedoch bei der Berechnung der Gamma-Effekte die spezifischen Risiken mitberücksichtigen.
23.2c Vega-Risiko
1) Für jede einzelne Option ist der Vega-Effekt nach folgender Definition zu berechnen:
Vega-Effekt = 0.25 × Ê‹ × Volatilität,
wobei Ê‹ den Vega-Wert bezeichnet. Durch Addition aller Vega-Effekte von Long-Positionen (gekaufte Optionen) und Subtraktion aller Vega-Effekte von Short-Positionen (verkaufte Optionen) ist für jede Kategorie von Basisinstrumenten (nach Ziff. 23.2b Abs. 2) ein Netto-Vega-Effekt zu bestimmen. Die gesamten erforderlichen Eigenmittel für das zu unterlegende Vega-Risiko ergeben sich aus der additiven Aggregation der absoluten Beträge der über alle Kategorien berechneten Netto-Vega-Effekte.
2) Die Berechnung der Vega-Effekte hat anhand impliziter Volatilitäten zu erfolgen. Bei illiquiden Optionsinstrumenten können ausnahmsweise andere Verfahren zur Bestimmung der Volatilitätsstruktur angewendet werden.
23.3 Szenario-Analyse
1) Bei Bestimmung der erforderlichen Eigenmittel für Options- und dazugehörige Absicherungspositionen (Beilage 7 präzisiert den Begriff der dazugehörigen Absicherungspositionen und erläutert, in welchen Fällen die Integration von nicht als "dazugehörige Absicherungspositionen" qualifizierten Positionen in das Verfahren der Szenario-Analyse zulässig ist) mittels Szenario-Analyse ist für jede Kategorie von Basisinstrumenten (nach Ziff. 23.2b Abs. 2) die potenzielle Wertveränderung für alle möglichen Kombinationen von preislichen Veränderungen des Basisinstrumentes (1. Dimension) und der Volatilität (2. Dimension) im Rahmen einer getrennten, vorgegebenen Matrix zu berechnen. Bei Zinsinstrumenten besteht die Möglichkeit, nicht für die Instrumente jedes Laufzeitbandes eine getrennte Analyse durchzuführen, sondern die Laufzeitbänder in Gruppen zusammenzufassen. Es dürfen jedoch höchstens drei Laufzeitbänder zu einer Gruppe zusammengefasst werden, und es müssen mindestens sechs verschiedene Gruppen gebildet werden. Cross-Currency-Beziehungen dürfen im Verfahren der Szenario-Analyse berücksichtigt werden; in Beilage 8 ist die entsprechende Vorgehensweise detailliert dargestellt.
2) Die beiden Dimensionen der zu verwendenden Matrizen sind wie folgt definiert:
a) 1. Dimension: Veränderung des Wertes des Basisinstrumentes
Innerhalb der vorgegebenen Spanne sind die Berechnungen für mindestens sieben verschiedene Wertveränderungen (einschliesslich einer Veränderung von 0 %) durchzuführen, wobei die Intervalle zwischen den unterstellten Wertveränderungen gleich gross sein müssen. Die Spannen sind wie folgt definiert:
1. Zinsoptionen: ± Renditeänderung nach Tabelle 3; werden mehrere Laufzeitbänder zu einer Gruppe zusammengefasst, gilt für die Gruppe der höchste der Sätze der zusammengefassten Laufzeitbänder;
2. Optionen auf Aktien oder Aktienindizes: ± 8 %;
3. Optionen auf Devisen oder Gold: ± 10 %;
4. Optionen auf Waren bzw. Rohstoffe: ± 20 %.
Berechnungen anhand dieser Wertveränderungen berücksichtigen nur das allgemeine Marktrisiko, nicht aber das spezifische Risiko. Die Bestimmung der Anforderungen für das spezifische Risiko hat deshalb gesondert zu erfolgen, basierend auf den deltagewichteten Positionen (vgl. Ziff. 7 und 11).
b) 2. Dimension: Veränderung der Volatilität
Bezüglich der Variation der Volatilität müssen für mindestens drei Punkte Berechnungen durchgeführt werden: Eine unveränderte Volatilität sowie relative Volatilitätsänderungen von ± 25 %.
Nach Berechnung der Matrix enthält jede Zelle den Nettogewinn oder -verlust der Optionen und der dazugehörigen Absicherungsinstrumente. Die für jede Kategorie von Basisinstrumenten berechneten erforderlichen Eigenmittel entsprechen dann dem höchsten der in der Matrix enthaltenen Verluste.
Die Szenario-Analyse hat anhand impliziter Volatilitäten zu erfolgen. Bei illiquiden Optionsinstrumenten können ausnahmsweise andere Verfahren zur Bestimmung der Volatilitätsstruktur angewendet werden.
I. Kreditderivate
24. Grundsätze
1) Bevor Garantien und Kreditderivate im Handelsbuch zum Einsatz gelangen dürfen, muss die Bank sicherstellen, dass die damit verbundenen Risiken vollständig erkannt und verstanden sowie angemessen durch die Systeme für die Messung, Bewirtschaftung und Überwachung der Risiken erfasst werden.
2) Sofern ein Kreditderivat und eine der lieferbaren Forderungen die Bedingungen von Art. 84 erfüllen, kann das Kreditderivat dem Handelsbuch zugeordnet werden.
3) Für alle Kreditderivate im Handelsbuch sind die Kreditrisiken nach Art. 39 bis 45 mit Eigenmitteln zu unterlegen.
4) Zur Anerkennung von Absicherungswirkungen durch Kreditderivate und von Verrechnungsmöglichkeiten nach Ziff. 26.2 und 26.3 müssen die Anforderungen von Anhang 1 erfüllt sein.
5) Fällt im Basket eines nth-to-Default-Swap eine Position aus, so vermindert sich n jeweils um eins. Ein Fifth-to-Default-Swap ist demnach beispielsweise nach Ausfall der ersten im Basket vertretenen Position als Fourth-to-Default-Swap zu betrachten.
6) Zur Berechnung der erforderlichen Eigenmittel für das Marktrisiko derjenigen Partei, die das Kreditrisiko übernimmt (Sicherungsgeber), ist, soweit nicht anders spezifiziert, der Nominalwert des Kreditderivates zu berücksichtigen. Bei der Berechnung der erforderlichen Eigenmittel für das spezifische Risiko wird mit Ausnahme von Total Return Swaps die Laufzeit des Kreditderivatekontrakts und nicht die Laufzeit der Verbindlichkeit zugrunde gelegt.
25. Allgemeines Marktrisiko
1) Zur Unterlegung des allgemeinen Marktrisikos von Kreditderivaten gelten die Grundsätze nach Abs. 2 bis 4.
2) Ein "Total Return Swap" (TRS) ist durch den Sicherungsgeber als Kombination einer Long-Position in der Referenzforderung und einer Short-Position in einer Staatsanleihe, deren Laufzeit dem Zeitraum bis zur nächsten Zinsfestsetzung entspricht, und die im Rahmen des Standardansatzes mit 0 % zu gewichten ist, zu behandeln (und umgekehrt durch den Sicherungsnehmer); zudem wird eine Kaufposition in Bezug auf das spezifische Risiko geschaffen.
3) Eine "Single Name Credit-Linked Note" (CLN) ist als Anleihe des Emittenten der CLN abzubilden; für den Sicherungsgeber als Long-Position und für den Sicherungsnehmer als Short-Position in der eigenen Anleihe.
4) Der Marktwert eines "Credit Default Swap" (CDS) oder eines "First-to-Default Swap" (FDS) reagiert kaum auf Änderungen der allgemeinen Zinsstruktur. Deswegen wird für einen CDS und FDS das allgemeine Marktrisiko nicht unterlegt. Werden jedoch periodische Prämienzahlungen vereinbart, sind diese bei der Unterlegung des allgemeinen Marktrisikos zu berücksichtigen. Dasselbe gilt für Second-to-Default-Swaps und n
th-to-Default-Swaps.
26. Spezifisches Risiko
26.1 Grundsätze
1) Im Hinblick auf das spezifische Risiko des CDS muss die Bank eine synthetische Long-Position in einer Verbindlichkeit der Referenzeinheit ausweisen, es sei denn, das Kreditderivat besitzt ein Rating und erfüllt die Bedingungen eines qualifizierten Schuldtitels; in diesem Fall wird eine Kaufposition in einem Kreditderivat ausgewiesen. Fallen im Rahmen des Produkts Prämien- oder Zinszahlungen an, sind diese Cashflows als fiktive Positionen in Staatsanleihen darzustellen.
2) Im Hinblick auf das spezifische Risiko des CLN wird eine synthetische Long-Position in einer Verbindlichkeit der Referenzeinheit geschaffen. Eine zusätzliche Long-Position wird in Bezug auf den Emittenten der "Note" geschaffen. Hat eine CLN ein externes Rating und erfüllt sie die Bedingungen für einen qualifizierten Schuldtitel, muss nur eine einzige Long-Position mit dem spezifischen Risiko der "Note" ausgewiesen werden.
3) Bei einer "Multiple Name CLN", die eine proportionale Sicherheit bietet, wird zusätzlich zu der Long-Position in Bezug auf das spezifische Risiko des Emittenten der "Note" eine Position in jeder Referenzeinheit geschaffen, wobei der Nominalwert des Kontraktes den einzelnen Positionen nach ihrem Anteil am Nominalwert des Korbes zugewiesen wird, den jedes Risiko in Bezug auf eine Referenzeinheit repräsentiert. Kann mehr als eine Verbindlichkeit einer Referenzeinheit ausgewählt werden, bestimmt die Verbindlichkeit mit der höchsten Risikogewichtung das spezifische Risiko. Hat eine "Multiple Name CLN" ein externes Rating und erfüllt sie die Bedingungen für einen qualifizierten Schuldtitel, muss nur eine einzige Long-Position mit dem spezifischen Risiko der "Note" ausgewiesen werden.
4) In Bezug auf First- und Second-Asset-to-Default-Kreditderivate gilt Folgendes:
a) bei einem First-Asset-to-Default-Kreditderivat wird eine Position in einer Verbindlichkeit gegenüber einer jeden Referenzeinheit in Höhe des Nominalwertes geschaffen. Ist das Volumen der maximalen Kreditereigniszahlung niedriger als die erforderlichen Eigenmittel nach Ziff. 24 Abs. 3 Satz 1, kann der maximale Zahlungsbetrag als erforderliche Eigenmittel für das spezifische Risiko angesehen werden;
b) bei einem Second-Asset-to-Default-Kreditderivat wird eine Position in einer Verbindlichkeit gegenüber einer jeden Referenzeinheit in Höhe des Nominalwertes minus einer geschaffen (d.h. derjenigen mit den niedrigsten erforderlichen Eigenmittel für das spezifische Risiko). Ist das Volumen der maximalen Kreditereigniszahlung niedriger als die erforderlichen Eigenmittel nach Ziff. 24 Abs. 3 Satz 1, kann der maximale Zahlungsbetrag als erforderliche Eigenmittel für das spezifische Risiko angesehen werden;
c) hat ein First-Asset-to-Default-Kreditderivat oder ein Second-Asset-to-Default-Kreditderivat ein externes Rating und erfüllt es die Bedingungen für einen qualifizierten Schuldtitel, muss der Sicherungsgeber nur eine einzige Eigenmittelanforderung für das spezifische Risiko berechnen, die das Rating des Derivats widerspiegelt.
5) Für die Partei, die das Kreditrisiko überträgt (der "Sicherungsnehmer") werden die Positionen spiegelbildlich zu denen des Sicherungsgebers bestimmt, allerdings mit Ausnahme der CLN (die in Bezug auf den Emittenten keine Short-Position schafft). Existiert zu einem bestimmten Zeitpunkt ein Kündigungsrecht (Kaufoption) in Verbindung mit einer Kostenanstiegsklausel, so wird dieser Zeitpunkt als die Fälligkeit der Sicherung angesehen. Im Falle des n-ten Ausfalls von Kreditderivaten ist es den Sicherungsnehmern gestattet, das spezifische Risiko für n-1 der Basiswerte zu verrechnen (d.h. die n-1 Aktiva mit der geringsten Belastung für das spezifische Risiko).
26.2 Verrechnung gegenläufiger Positionen in Kreditderivaten
1) Gegenläufige Positionen in identischen Kreditderivaten brauchen für die Unterlegung des spezifischen Risikos nicht berücksichtigt zu werden.
2) Gegenläufige Positionen in nicht identischen Kreditderivaten können nur im Falle von entgegengesetzten CDS bzw. CLN oder von CDS-Komponenten aus CLN-Kontrakten mit direkten CDS-Positionen und nur zu 80 % miteinander verrechnet werden, sofern die jeweiligen Referenzforderungen identisch sind, die CDS bzw. die CLN auf dieselbe Währung lauten und die exakt gleiche Restlaufzeit haben. Zur Unterlegung des spezifischen Risikos verbleibt eine Position in Höhe von 20 % des Nominalwertes der Referenzforderung.
3) Darüber hinaus sollten Schlüsselmerkmale des Kreditderivats nicht darauf hinauslaufen, dass dessen Kursbewegung wesentlich von den Kursbewegungen der Kassaposition abweicht. In dem Masse, wie mit der Transaktion Risiko übertragen wird, wird eine 80 %-ige Reduzierung der erforderlichen Eigenmittel für das spezifische Risiko auf die Seite der Transaktion angewandt, die mit den höheren Eigenmittelanforderungen behaftet ist, wohingegen die erforderlichen Eigenmittel für das spezifische Risiko auf der Gegenseite mit Null angesetzt werden.
26.3 Verrechnung von Kreditderivaten mit Kassapositionen
1) Ein CDS und eine Kassaposition können zu 80 % miteinander verrechnet werden, wenn die Referenzforderung und die Kassaposition identisch sind, der Auszahlungsbetrag des CDS und die Kassaposition auf dieselbe Währung lauten und der CDS und die Kassaposition die exakt gleiche Restlaufzeit haben. Zur Unterlegung des spezifischen Risikos verbleibt eine Position in Höhe von 20 % des Nominalwertes der Referenzforderung.
2) Die Verrechnung eines TRS gegen eine Kassaposition in der Referenzforderung ist zulässig, wenn eine exakte Übereinstimmung zwischen Referenzforderung und Kassaposition besteht, wobei die Fälligkeit des Swaps eine andere sein kann, als die der Kassaposition. In diesem Fall ist keine Unterlegung des spezifischen Risikos zu berücksichtigen.
3) Die Verrechnung der CDS-Komponente einer gekauften CLN gegen eine Short-Position (bzw. einer emittierten CLN gegen eine Kassa-Long-Position) in der Referenzforderung kann zu 80 % erfolgen, wenn die Kassaposition und die Referenzforderung identisch sind, die CLN und die Kassaposition auf dieselbe Währung lauten und die exakt gleiche Restlaufzeit haben. Zur Unterlegung des spezifischen Risikos verbleibt eine Position in Höhe von 20 % des Nominalwertes der Referenzforderung.
4) Hält eine Bank einen FDS und entsprechende Kassapositionen, so kann die spezifische Risikokomponente mit den geringsten erforderlichen Eigenmitteln zu 80 % verrechnet werden. Sind mehrere im Basket vertretene Positionen gleichzeitig mit ihren spezifischen Risikogewichten multipliziert am kleinsten, hat sich die Bank in Bezug auf die Verrechnungsmöglichkeit für eine dieser Positionen zu entscheiden.
5) Hält eine Bank einen Second-to-Default-Swap und entsprechende Kassapositionen, so kann die spezifische Risikokomponente mit den zweitgeringsten erforderlichen Eigenmitteln zu 80 % verrechnet werden. Weisen mehrere im Basket vertretene Positionen gleichzeitig die zweitgeringsten erforderlichen Eigenmittel auf, hat sich die Bank in Bezug auf die Verrechnungsmöglichkeit für eine dieser Positionen zu entscheiden.
6) Analog zu Abs. 5 ist für nth-to-Default-Swaps vorzugehen. Hält eine Bank beispielsweise einen Fifth-to-Default-Swap und entsprechende Kassapositionen, so kann unter Einhaltung der Restriktionen nach Abs. 5 die spezifische Risikokomponente mit den fünftgeringsten erforderlichen Eigenmitteln zu 80 % verrechnet werden.
7) Nach Verrechnungen nach Abs. 4 bis 6 verbleibt zur Unterlegung des spezifischen Risikos jeweils eine Position in Höhe von 20 % des Nominalwertes der verrechneten Forderung.
26.4 Kreditderivatpositionen ohne Verrechnungsmöglichkeiten
1) Kreditderivatpositionen ohne Verrechnungsmöglichkeiten bestehen, wenn keine Verrechnungsmöglichkeiten nach Ziff. 24 Abs. 3, Ziff. 26.2 und Ziff. 26.3 sowie keine gegenläufigen Positionen im Sinne von Ziff. 26.5 Abs. 2 und 3 vorliegen.
2) Ein TRS ist aus Sicherungsgebersicht als eine Long-Position und aus Sicherungsnehmersicht als eine Short-Position in der Referenzforderung zu behandeln.
3) Eine CLN ist durch den Sicherungsgeber in der Höhe des Nominalbetrags als Long-Position sowohl in der Anleihe des CLN-Emittenten als auch in der Referenzforderung abzubilden. Aus Sicherungsnehmersicht ist eine CLN in der Höhe des Nominalbetrags als Short-Position in der Referenzforderung zu betrachten.
4) Für einen CDS ist aus Sicherungsgebersicht eine Long- und aus Sicherungsnehmersicht eine Short-Position in der Referenzforderung jeweils in Höhe des entsprechenden Nominalbetrags zu berücksichtigen.
5) Die Risiken aus einem FDS sind für alle im Basket enthaltenen Forderungen in Form synthetischer Positionen jeweils in Höhe des Nominalwertes abzubilden, als Long-Positionen aus Sicherungsgeber- und als Short-Positionen aus Sicherungsnehmersicht.
6) Für Second-to-Default- und n
th-to-Default-Swaps ist analog Abs. 5 vorzugehen. Bei einem Second-to-Default-Swap darf jedoch jene Position mit den geringsten erforderlichen Eigenmitteln für das spezifische Risiko unberücksichtigt bleiben. Entsprechend kann bei einem n
th-to-Default-Swap auf die Berücksichtigung der n-1 Positionen mit den geringsten erforderlichen Eigenmitteln für das spezifische Risiko verzichtet werden.
26.5 Bestimmung der erforderlichen Eigenmittel
1) Können zwei Kreditderivate nach Ziff. 26.2 Abs. 2 oder ein Kreditderivat gegen eine Kassaposition nach Ziff. 26.3 Abs. 1, 3, 4, 5 oder 6 verrechnet werden, sind die verbleibenden Positionen jeweils als absolute Werte zum absoluten Wert der Nettoposition des Emittenten der Referenzforderung zu addieren.
2) Bei gegenläufigen Positionen in Kreditderivaten, die auf Grund von Laufzeit- oder Währungsinkongruenzen oder auf Grund einer Nichtübereinstimmung von Referenz- und abzusichernder Forderung die oben genannten Anforderungen nicht erfüllen, ist eine Long- und eine Short-Position zu berechnen. Die betragsmässig grössere dieser beiden Positionen ist in Höhe ihres absoluten Wertes zum absoluten Wert der Nettoposition des Emittenten der Referenzforderung zu addieren. Notes aus CLN-Kontrakten sind analog zu berücksichtigen.
3) Bei gegenläufigen Positionen in Kreditderivaten und Kassapositionen, die auf Grund von Laufzeit- oder Währungsinkongruenzen oder auf Grund einer Nichtübereinstimmung von Referenz- und abzusichernder Forderung die oben genannten Anforderungen nicht erfüllen, ist analog Abs. 2 vorzugehen.
4) Falls keine Verrechnungsmöglichkeiten nach Ziff. 24 Abs. 3, Ziff. 26.2 und Ziff. 26.3 sowie keine gegenläufigen Positionen im Sinne von Abs. 2 und 3 vorliegen, sind die jeweiligen Komponenten der entsprechenden Kreditderivate als absolute Werte zum absoluten Wert der Nettoposition des Emittenten der Referenzforderung zu addieren.
5) Falls bei einem FDS, einem Second-to-Default- oder einem n
th-to-Default-Swap die erforderlichen Eigenmittel den maximal möglichen Verlust übersteigen, dürfen die entsprechenden synthetischen Positionen proportional so vermindert werden, dass die erforderlichen Eigenmittel aus dem betreffenden Instrument exakt dem maximal möglichen Verlust entsprechen.
III. Modellansatz (Art. 92)
A. Im Allgemeinen
27. Bewilligung und Definitionen
1) Die FMA kann einer Bank auf Antrag die Bewilligung erteilen, die erforderlichen Eigenmittel für Marktrisiken mittels bankspezifischer Risikoaggregationsmodelle zu berechnen (Art. 83 Abs. 1 Bst. c).
2) Unter Risikoaggregationsmodellen werden dabei mathematische-statistische Verfahren zur Ermittlung potentieller Wertveränderungen von Portfolios auf der Basis von Veränderungen der jeweils risikobestimmenden Faktoren verstanden.
3) Als Value-at-Risk (VaR) wird dabei jener Wert bezeichnet, der sich für eine vorgegebene Zeitperiode mit einem bestimmten Konfidenzniveau als maximale Wertminderung der Gesamtposition ergibt.
B. Bewilligungsverfahren
28. Bewilligungsvoraussetzungen und Bewilligungserteilung
1) Will eine Bank den Modellansatz anwenden, so hat sie einen Antrag an die FMA zu stellen sowie die von der FMA verlangte Dokumentation einzureichen.
2) Die FMA stützt sich bei ihrer Entscheidung über die Bewilligung des Modellansatzes für eine bestimmte Bank auf die Ergebnisse von unter ihrer Federführung gemeinsam mit der bankengesetzlichen Revisionsstelle durchgeführten Prüfungen. Die FMA kann sich zudem auf die Prüfungsergebnisse ausländischer Aufsichtsbehörden, einer anderen als der bankengesetzlichen Revisionsstelle oder übriger fachkundiger und unabhängiger Experten stützen.
3) Die Bewilligung für die Anwendung des Modellansatzes kann an bestimmte Auflagen geknüpft werden.
4) Die Kosten der Modellprüfungen bis zur Bewilligungserteilung sowie später notwendiger Prüfungen sind von der geprüften Bank zu tragen.
5) Die FMA erteilt die Bewilligung für die Anwendung des Modellansatzes nur, falls die folgenden Voraussetzungen dauerhaft erfüllt sind:
a) die Bank verfügt über eine ausreichende Zahl von Mitarbeitern, die mit komplexen Modellen umgehen können, und zwar nicht nur im Handelsbereich, sondern auch in der Risikokontrolle, der internen Revision und dem Back-Office;
b) sowohl der Handelsbereich als auch das Back-Office und die Risikokontrolle verfügen über eine hinreichende Informatik-Infrastruktur;
c) das Risikoaggregationsmodell beruht, bezogen auf die spezifischen Aktivitäten der Bank [Zusammensetzung des Handelsbuches und Rolle in den einzelnen Märkten (Market Maker, Dealer, End User)], auf einem soliden Konzept und ist korrekt implementiert;
d) die Messgenauigkeit des Risikoaggregationsmodells ist hinreichend. Die FMA kann verlangen, dass das Risikoaggregationsmodell zunächst während einer bestimmten Zeitperiode überwacht und unter realen Bedingungen getestet wird, bevor es zur Berechnung der erforderlichen Eigenmittel für Marktrisiken eingesetzt wird;
e) die im Sinne von Mindestanforderungen vorgegebenen Risikofaktoren sind im Risikoaggregationsmodell erfasst (vgl. Ziff. 33);
f) das Risikoaggregationsmodell entspricht den vorgegebenen quantitativen Mindestanforderungen (vgl. Ziff. 34);
g) die vorgegebenen qualitativen Mindestanforderungen werden eingehalten (vgl. Ziff. 35 bis 43).
6) Nach erteilter Bewilligung für die Anwendung des Modellansatzes ist die FMA zu benachrichtigen, wann immer:
a) wesentliche Änderungen am Risikoaggregationsmodell vorgenommen werden; oder
b) die Risikopolitik geändert wird.
7) Die FMA entscheidet, ob und welche weiteren Prüfungen erforderlich sind.
C. Bestimmung der erforderlichen Eigenmittel
29. Im Allgemeinen
Die erforderlichen Eigenmittel für Zinsänderungs- und Aktienkursrisiken im Handelsbuch und für Währungs- und Waren- bzw. Rohstoffrisiken in der ganzen Bank ergeben sich aus der Aggregation der VaR-basierten erforderlichen Eigenmittel und allfälliger zusätzlicher erforderlicher Eigenmittel für spezifische Risiken von Aktien- und Zinsinstrumenten.
30. VaR-basierte Komponente und Multiplikationsfaktor
1) Die VaR-basierten erforderlichen Eigenmittel an einem bestimmten Tag entsprechen dem grösseren der beiden folgenden Beträge (Art. 92 Abs. 1):
a) dem im Rahmen des Modellansatzes berechneten VaR für das am Vortag gehaltene Portfolio, zuzüglich, sofern angezeigt, der zusätzlichen Ausfallrisikobelastung nach Ziff. 33 Abs. 2 bis 8;
b) dem Durchschnitt der im Rahmen des Modellansatzes täglich berechneten VaR-Werte der 60 unmittelbar vorangehenden Handelstage, multipliziert mit dem von der FMA festgelegten, bankspezifischen Multiplikationsfaktor, zuzüglich, sofern angezeigt, der zusätzlichen Ausfallrisikobelastung nach Ziff. 33 Abs. 2 bis 8.
2) Der bankspezifische Multiplikationsfaktor beträgt mindestens 3. Seine genaue Höhe hängt dabei unter anderem ab von:
a) der Erfüllung der qualitativen Mindestanforderungen (Ziff. 35 bis 43); und
b) der Prognosegenauigkeit des Risikoaggregationsmodells, die mittels des sogenannten Backtesting (Ziff. 40, 40.1 und 40.2) getestet wird.
31. Anforderungen für spezifische Risiken
1) Banken, die spezifische Risiken weder in der Form residualer Risiken noch in der Form von Ereignis- und Ausfallrisiken (vgl. Ziff. 33 Abs. 2 Bst. f) modellieren, bestimmen die erforderlichen Eigenmittel für spezifische Risiken nach dem Standardansatz.
2) Banken, die spezifische Risiken entsprechend den Voraussetzungen von Ziff. 33 und Ziff. 40.1 modellieren, sich dabei jedoch auf die Erfassung residualer Risiken beschränken und Ereignis- und Ausfallrisiken nicht oder nur teilweise erfassen, unterliegen zusätzlichen erforderlichen Eigenmitteln für die spezifischen Risiken von Aktieninstrumenten einerseits sowie für die Rating-Spread-Risiken und die spezifischen Risiken von Zinsinstrumenten andererseits. Diese können wahlweise nach einer der beiden folgenden Methoden festgelegt werden:
a) Betrag des VaR für die Aktien- und Zinsportfolios;
b) Betrag des im VaR für die Aktienportfolios enthaltenen spezifischen Risikos bzw. Betrag des im VaR für die Zinsportfolios enthaltenen Rating-Spread- und spezifischen Risikos. Für die Bestimmung der zusätzlichen erforderlichen Eigenmittel entspricht in diesem Fall der Betrag der vom Risikoaggregationsmodell für ein Aktienportfolio erfassten spezifischen Risiken bzw. der für ein Zinsportfolio erfassten Rating-Spread- und spezifischen Risiken:
1. der Erhöhung des VaR für das entsprechende Subportfolio durch den Einbezug spezifischer Risiken für Aktieninstrumente bzw. von Rating-Spread- und spezifischen Risiken für Zinsinstrumente;
2. der Differenz zwischen dem VaR für das entsprechende Portfolio und dem VaR, der resultiert, wenn sämtliche Positionen substituiert werden durch Positionen, deren Wertveränderung ausschliesslich durch Veränderungen des Aktienmarktindexes oder der Referenzzinskurve bestimmt werden; oder
3. dem Ergebnis der analytischen Separation zwischen dem allgemeinem Marktrisiko für Aktieninstrumente sowie dem durch die Referenzzinskurve implizierten Risiko für Zinsinstrumente einerseits und den modellmässig erfassten spezifischen Risiken von Aktieninstrumenten sowie den modellmässig erfassten, nicht durch die Referenzzinskurve implizierten Risiken für Zinsinstrumente andererseits.
Bei der Bestimmung dieser zusätzlichen erforderlichen Eigenmittel ist für Aktien das allgemeine Marktrisiko mittels eines einzigen Risikofaktors zu definieren: einem repräsentativen Marktindex oder dem ersten Faktor bzw. einer linearen Kombination von Faktoren im Rahmen eines empirischen Faktormodells. Die für Zinsinstrumente pro Währung zu verwendenden Referenzzinskurven müssen jeweils auf einem etablierten liquiden Markt basieren.
Die Bank muss sich dauerhaft für eine Methode zur Bestimmung der zusätzlichen erforderlichen Eigenmittel für spezifische Risiken entscheiden.
3) Die Vorschriften nach Ziff. 33 Abs. 2 Bst. f und Abs. 3 bis 8 müssen spätestens am 1. Januar 2011 implementiert sein. Sobald eine Bank diese Anforderungen erfüllt, fallen die zusätzlichen erforderlichen Eigenmittel für spezifische Risiken von Aktien- und Zinsinstrumenten nach Abs. 2 weg.
32. Kombination von Modell- und Standardansatz
1) Banken, die interne Modelle verwenden wollen, müssen grundsätzlich über ein Risikoaggregationsmodell verfügen, das zumindest für die allgemeinen Marktrisiken alle Risikofaktorkategorien (Währungen, Zinssätze, Aktienkurse, Waren- bzw. Rohstoffpreise) abdeckt.
2) In der Phase, in der eine Bank zum Modellansatz übergeht, kann die FMA ihm erlauben, Modellansatz und Standardansatz zu kombinieren, unter der Bedingung, dass innerhalb derselben Risikofaktorkategorie derselbe Ansatz angewendet wird, d.h. entweder der Modellansatz oder der Standardansatz.
3) Sind die Positionen in einer bestimmten Risikofaktorkategorie (wie z.B. dem Waren- bzw. Rohstoffrisiko) absolut und relativ betrachtet unbedeutend, kann die FMA einer Bank zudem gestatten, diese nicht in den Modellansatz zu integrieren, sondern separat nach dem Standardansatz zu behandeln.
4) Werden Modellansatz und Standardansatz kombiniert, entsprechen die gesamten erforderlichen Eigenmittel der Summe der nach dem Standardansatz und der nach dem Modellansatz berechneten Komponente.
D. Risikofaktoren im Risikoaggregationsmodell
33. Zu erfassende Risikofaktoren
1) Grundsätzlich muss das Risikoaggregationsmodell sämtliche Risikofaktoren berücksichtigen, welche die relevanten Positionen der Bank beeinflussen. Eine Ausnahme besteht für die spezifischen Risiken von Aktien- und Zinsinstrumenten, deren erforderliche Eigenmittelauch nach dem Standardansatz berechnet werden können (vgl. Ziff. 31).
2) Für die einzelnen Risikofaktorkategorien gelten folgende Mindestanforderungen:
a) Zinsänderungsrisiken: zu erfassen sind die Zinsstrukturrisiken in jeder Währung, in der nennenswerte zinssensitive Positionen gehalten werden. Dabei gilt:
1. die Modellierung der Zinsterminstruktur hat nach einem anerkannten Verfahren zu erfolgen;
2. die Anzahl und Verteilung der Laufzeitbänder muss dem Umfang und der Struktur des Geschäftes angemessen sein; die Anzahl muss mindestens sechs betragen, um die Volatilitätsänderungen der Zinssätze im Verlauf der Kurve zu erfassen;
3. das Risikoaggregationsmodell muss durch Verwendung separater Risikofaktoren Rating-Spread-Risiken erfassen. Diese bestehen darin, dass Wertveränderungen von Cash Flows mit gleicher Fälligkeit und Währung, aber Schuldnern unterschiedlicher (Rating-) Kategorien nicht vollständig korreliert sind;
b) Währungsrisiken: zu berücksichtigen sind Risikofaktoren für die Wechselkurse zwischen der Inlandwährung und jeder Fremdwährung, in der die Bank ein nennenswertes Engagement hält. Auf Gold wird ein besonderer Risikofaktor angewandt. Für Wertpapierfonds gilt Folgendes:
1. für Wertpapierfonds werden deren aktuelle Fremdwährungspositionen berücksichtigt. Die Banken können den Ausweis von Fremdwährungspositionen in Wertpapierfonds heranziehen, der von seiten Dritter erstellt wurde, sofern die Korrektheit dieses Ausweises ausreichend sichergestellt ist;
2. kennt eine Bank die Fremdwährungspositionen in einem Wertpapierfonds nicht, sollte diese Position isoliert und nach Ziff. 14.1 behandelt werden.
c) Aktienkursrisiken: das Risikoaggregationsmodell muss mindestens für jeden nationalen Aktienmarkt oder einheitlichen Währungsraum, an dem nennenswerte Positionen gehalten werden, einen Risikofaktor (z.B. einen Aktienmarktindex) berücksichtigen. Denkbar sind auch auf Sektor- oder Branchenindexe basierende Risikofaktordefinitionen;
d) Waren- bzw. Rohstoffrisiken: Risikofaktoren sind für jede Waren- bzw. Rohstoffgruppe (vgl. die Definition der Waren- bzw. Rohstoffgruppen nach Standardansatz, Ziff. 18 Abs. 1, Tabelle 4) zu modellieren. Zusätzlich muss das Risikoaggregationsmodell die Risiken in der Form von unerwarteten Veränderungen des sogenannten Convenience Yield, d.h. von nicht zinsinduzierten, unterschiedlichen Entwicklungen von Kassa- und Terminpreisen, berücksichtigen. Ausserdem zu berücksichtigen sind Markteigenheiten, wie insbesondere Liefertermine und der dem Händler überlassene Spielraum bei der Glattstellung von Positionen;
e) Risiken von Optionspositionen: für Optionen muss das VaR-Mass neben den Delta-Risiken zusätzlich mindestens folgende Risiken erfassen:
1. Gamma-Risiken: Risiken aufgrund nicht-linearer Beziehungen zwischen Optionspreisänderungen und Veränderungen des Preises des Basisinstrumentes;
2. Vega-Risiken: Risiken aufgrund der Sensitivität der Optionspreise gegenüber Veränderungen der Volatilität des Basisinstrumentes. Banken mit grossen und komplexen Optionsportfolios müssen die Volatilitätsrisiken der Optionspositionen angemessen nach verschiedenen Laufzeiten berücksichtigen;
f) spezifische Risiken von Aktien- und Zinsinstrumenten: spezifische Risiken entsprechen jenen Anteilen an der Gesamtvolatilität, die auf Ereignisse im Zusammenhang mit den Emittenten der einzelnen Instrumente zurückzuführen sind und nicht unmittelbar durch allgemeine Marktfaktoren (d.h. für Aktieninstrumente durch einen repräsentativen Marktindex oder durch den ersten Faktor bzw. einer linearen Kombination von Faktoren eines Faktormodells bzw. für Zinsinstrumente durch die Referenzzinskurve und die Rating-Spread-Kurven) erklärt werden können. Für die Bestimmung der erforderlichen Eigenmittel wird weiter unterschieden zwischen:
1. spezifischen Risiken in der Form residualer Risiken: als residuales Risiko wird jener Anteil an der Volatilität der Preisveränderungen von Aktien- oder Zinsinstrumenten bezeichnet, der empirisch im Kontext eines Ein- oder Mehr-Faktor-Modells nicht durch allgemeine Marktfaktoren erklärt werden kann;
2. spezifische Risiken in der Form von Ereignis- und Ausfallrisiken: spezifische Ereignisrisiken entsprechen dem Risiko, dass sich der Preis eines bestimmten Aktien- oder Zinsinstrumentes aufgrund von Ereignissen im Zusammenhang mit dem Emittenten abrupt verändert, und zwar in einem Ausmass, das in der Regel durch die Analyse historischer Preisveränderungen nicht erklärt werden kann. Neben dem Ausfallrisiko stellen jegliche abrupte Preisänderungen im Zusammenhang mit schockähnlichen Ereignissen, wie z.B. einem Übernahmeangebot, Ereignisrisiken dar.
Eine angemessene Modellierung spezifischer Risiken setzt voraus, dass das Modell sämtlichen quantitativen und qualitativen Mindestanforderungen (zu den besonderen Anforderungen an das Backtesting im Rahmen der Modellierung spezifischer Risiken vgl. Ziff. 40.1) genügt, sowie dass es:
- die historische Veränderung des Portfoliowertes zu einem grossen Teil erklärt;
- nachweislich Konzentrationen erfasst, d.h. sensitiv ist gegenüber Veränderungen der Portfoliozusammensetzung;
- sich auch in Phasen angespannter Marktsituationen als robust erweist;
- das titelspezifischen Basisrisiko erfasst, d.h., es muss sensitiv auf materielle titelspezifische Unterschiede zwischen ähnlichen aber nicht gleichen Positionen reagieren; und
- Ereignisrisiken erfasst. Für Zinsinstrumente müssen Migrationsrisiken modelliert werden und Aktieninstrumente Ereignisse, die grosse Preisänderungen verursachen, wie z.B. Übernahmen, wobei der Problematik des Survivorship-Bias (Tendenz, dass ausgefallene Firmen bei Datenerhebungen nicht berücksichtigt werden, weil sie nicht mehr existieren) Rechnung getragen werden muss.
3) Die Bank muss ferner folgende Voraussetzungen erfüllen:
a) Besteht bei einer Bank ein Ereignisrisiko, das sich aufgrund der Tatsache, dass es über die zehntägige Haltedauer und das 99 %-ige Konfidenzniveau hinausgeht (d.h. geringe Wahrscheinlichkeit und äusserst schwerwiegende Ereignisse), nicht in den Tageswerten des Risikopotenzials widerspiegelt, so stellt die Bank sicher, dass die Auswirkungen solcher Ereignisse bei der Beurteilung der Höhe ihrer internen erforderlichen Eigenmittel berücksichtigt werden.
b) Das aus weniger liquiden Positionen und/oder Positionen mit begrenzter Preistransparenz erwachsende Risiko ist im Risikoaggregationsmodell unter Zugrundelegung realistischer Marktszenarien konservativ zu bewerten. Darüber hinaus erfüllt das Risikoaggregationsmodell die Mindestanforderungen an Daten. Indikatoren werden mit der notwendigen Vorsicht bestimmt und dürfen nur verwendet werden, wenn die verfügbaren Daten nicht ausreichen oder die Volatilität einer Position oder eines Portfolios nicht realistisch widerspiegeln.
4) Sollten neue Techniken und bessere Praktiken entwickelt werden, so sind diese von den Banken zu übernehmen.
5) Die Banken müssen überdies über einen Ansatz verfügen, um in ihrem regulatorischen Kapital Ausfallrisiken ihrer Handelsbuchpositionen zu erfassen, die über die Risiken hinausgehen, die in der VaR-basierten Berechnung enthalten sind (Abs. 3). Um bei der Berechnung der Unterlegung für die zusätzlichen Ausfallrisiken eine Doppelzählung zu vermeiden, darf eine Bank das Ausmass berücksichtigen, in dem Ausfallrisiken bereits in die VaR-Berechnung einbezogen wurden, insbesondere für Risikopositionen, die bei ungünstigen Marktbedingungen oder anderen Anzeichen einer Verschlechterung im Kreditumfeld innerhalb von zehn Tagen geschlossen werden könnten und geschlossen würden. Banken, die ihr zusätzliches Ausfallrisiko in Form eines Zuschlags berechnen, müssen über Verfahren zur Validierung der Berechnung verfügen.
6) Unabhängig vom gewählten Ansatz muss die Bank nachweisen können, dass dieser mit den Zuverlässigkeitsstandards des IRB-Ansatzes vergleichbar ist. Dabei kann von einem unveränderten Risikoniveaus ausgegangen werden, und Einflüsse wie Liquidität, Konzentrationen, Absicherungsmöglichkeiten und Optionalität können berüchsichtigt werden.
7) Falls eine Bank die zusätzlichen Ausfallrisiken nicht modelliert, kann sie diese alternativ entweder nach dem Standard- oder dem IRB-Ansatz mit Eigenmitteln für Kreditrisiken unterlegen. Welcher Ansatz auch immer verwendet wird, für Liquiditätsfazilitäten ohne Rating, Massnahmen zur Verbesserung der Kreditqualität (Credit Enhancement) oder Verbriefungspositionen, die von den Eigenmitteln abgezogen werden müssten oder mit 1250 % risikogewichtet würden, gelten die Eigenmittelvorschriften für Verbriefungspositionen im Bankenbuch.
8) Eine Ausnahme von Abs. 7 kann Banken zugestanden werden, die Händler für die oben genannten Positionen sind, wenn sie gegenüber der FMA darlegen können, dass - über die Handelsabsicht hinaus - ein liquider Markt in zwei Richtungen für die Verbriefungspositionen oder im Falle von ausschliesslich auf Kreditderivaten beruhenden synthetischen Verbriefungen ein liquider Markt in zwei Richtungen für die Verbriefungsposition selbst oder alle sie ausmachenden Risikobestandteile besteht. Für die Zwecke dieser Regelung wird ein Markt in zwei Richtungen als vorhanden angenommen, wenn unabhängige gutgläubige Kauf- und Verkaufsangebote (bonafide offers) bestehen, so dass ein einigermassen mit den letzten Verkaufspreisen oder gegenwärtigen konkurrenzfähigen gutgläubigen Kauf- und Verkaufsquotierungen in Verbindung stehender Preis innerhalb eines Tages bestimmt werden kann und innerhalb relativ kurzer Zeit im Einklang mit den Handelsusancen zu einem solchen Preis abgewickelt werden kann. Ferner muss eine Bank, damit sie diese Ausnahme beantragen kann, hinreichende Marktdaten besitzen, um zu gewährleisten, dass sie das konzentrierte Ausfallrisiko dieser Forderungen in ihrem Risikoaggregationsmodell zur Messung des zusätzlichen Ausfallrisikos im Einklang mit den festgelegten Standards vollständig erfasst.
E. Quantitative Mindestanforderungen
34. Quantitative Mindestanforderungen
Zur Bestimmung der erforderlichen Eigenmittel für Marktrisiken wird kein bestimmter Risikoaggregationsmodell-Typ vorgeschrieben. Banken können den VaR auf der Basis von Varianz-Kovarianz-Modellen, historischen Simulationen, Monte-Carlo-Simulationen etc. bestimmen. Das Risikoaggregationsmodell muss jedoch in jedem Fall die folgenden quantitativen Mindestanforderungen erfüllen:
a) Periodizität der Berechnungen: der VaR ist täglich auf der Basis der Positionen des Vortages zu berechnen;
b) Konfidenzniveau: die Berechnung des VaR hat für ein einseitiges Prognoseintervall mit einem Vertrauensniveau von 99 % zu erfolgen;
c) Haltedauer: bei der Berechnung des VaR ist von einer Veränderung der Risikofaktoren auszugehen, die einer Veränderung über einen Zeitraum von zehn Tagen entspricht. Zulässig sind auch VaR, die z.B. aufgrund einer Haltedauer von einem Tag ermittelt und durch Multiplikation mit √ 10 in einen einer Haltedauer von zehn Tagen entsprechenden Wert umgerechnet werden. Banken mit bedeutenden Optionspositionen müssen jedoch mit der Zeit dazu übergehen, die nicht-lineare Beziehung zwischen Optionspreisänderungen und Veränderungen des Preises des entsprechenden Basisinstrumentes mittels zehntägiger Veränderungen der Risikofaktoren im Risikoaggregationsmodell zu erfassen;
d) Historischer Beobachtungszeitraum und Aktualisierung der Datenreihen: der Beobachtungszeitraum zur Prognose zukünftiger Veränderungen bzw. Volatilitäten der Risikofaktoren inkl. der Korrelationen zwischen diesen, welcher der VaR-Berechnung zugrunde gelegt wird, muss mindestens ein Jahr betragen. Werden die einzelnen Tagesbeobachtungen mit unterschiedlichen Gewichten in der Volatilitäts- und Korrelationsberechnung berücksichtigt, muss der gewichtete durchschnittliche Beobachtungszeitraum mindestens sechs Monate betragen (d.h. im gewogenen Durchschnitt liegen die einzelnen Werte mindestens sechs Monate zurück). Die Datenreihen müssen mindestens quartalsweise, falls es die Marktbedingungen erfordern, jedoch unverzüglich aktualisiert werden;
e) Korrelationen: die VaR-Berechnung kann unter Berücksichtigung von empirischen Korrelationen sowohl innerhalb der allgemeinen Risikofaktorkategorien (d.h. Zinssätze, Wechselkurse, Aktienkurse, Waren- bzw. Rohstoffpreise einschliesslich damit zusammenhängender Volatilitäten) als auch zwischen den Risikofaktorkategorien erfolgen, falls das Korrelations-Messsystem der Bank auf einem soliden Konzept beruht und korrekt implementiert ist. Die Korrelationen sind mit besonderer Sorgfalt laufend zu überwachen. Vor allem die Wirkung abrupter Veränderungen der Korrelationen zwischen den Risikofaktorkategorien auf den VaR ist zudem im Rahmen von Stresstests regelmässig zu berechnen und zu beurteilen. Erfolgt die VaR-Berechnung ohne Berücksichtigung empirischer Korrelationen zwischen den allgemeinen Risikofaktorkategorien, sind die VaR für die einzelnen Risikofaktorkategorien durch Addition zu aggregieren.
F. Qualitative Mindestanforderungen
35. Im Allgemeinen
Zusätzlich zu den allgemeinen Mindestanforderungen entsprechend den "Richtlinien für das Risikomanagement im Handel und bei der Verwendung von Derivaten" nach Anhang 4.2 der Bankenverordnung müssen Banken, die den Modellansatz anwenden wollen, die folgenden Voraussetzungen nach Ziff. 36 bis 43 erfüllen.
36. Datenintegrität
Die Bank hat nachzuweisen, dass sie über solide, dokumentierte, intern geprüfte und genehmigte Verfahren verfügt, die gewährleisten, dass sämtliche Transaktionen vollständig, korrekt und zeitnah erfasst, bewertet und zur Risikomessung aufbereitet werden. Manuelle Korrekturen von Daten sind zu dokumentieren, so dass die Ursache sowie der genaue Inhalt der Korrekturen nachvollzogen werden können. Im Einzelnen gelten folgende Grundsätze:
a) alle Transaktionen sind täglich mit der Gegenpartei abzustimmen. Die Bestätigung von Transaktionen sowie deren Abstimmung ist von einer von der Handelsabteilung unabhängigen Einheit vorzunehmen. Unstimmigkeiten sind unverzüglich abzuklären;
b) es müssen Verfahren vorhanden sein, welche die Angemessenheit, Einheitlichkeit, Stetigkeit, Aktualität sowie Unabhängigkeit der in den Bewertungsmodellen verwendeten Daten sicherstellen;
c) sämtliche Positionen sind so aufzubereiten, dass sie risikomässig vollständig erfasst werden.
37. Unabhängige Risikokontrollabteilung
1) Die Bank muss über eine Risikokontrollabteilung verfügen, die über eine ausreichende Zahl qualifizierter Mitarbeiter verfügt, vom Handel unabhängig ist und direkt an das für die Risikokontrolle zuständige Mitglied der Geschäftsleitung rapportiert.
2) Die Risikokontrolle hat insbesondere folgende Funktionen zu erfüllen:
a) Gestaltung und Implementierung der Risikoüberwachungssysteme (Handels- und Kontrollsysteme);
b) enge Kontrolle des Tagesgeschäftes (Limiten, P&L etc.) unter Einbezug der Messgrösse für das Marktrisiko;
c) tägliche VaR-Berechnungen, Analysen, Kontrollen und Meldungen:
1. tägliche Erstellung eines Berichtes über die Ergebnisse des Risikoaggregationsmodells sowie Analyse der Ergebnisse einschliesslich des Verhältnisses zwischen VaR und Handelslimiten;
2. tägliches Reporting an das zuständige Mitglied der Geschäftsleitung;
d) Durchführung eines regelmässigen Backtesting nach Ziff. 40, 40.1 und 40.2;
e) Durchführung eines regelmässigen Stresstesting nach Ziff. 41;
f) Prüfung und Zulassung von:
1. Risikoaggregationsmodellen;
2. Bewertungsmodellen zur täglichen P&L-Berechnung;
3. Modellen zur Generierung von Inputfaktoren (z.B. Yield Curve Models);
g) laufende Überprüfung und Anpassung der Dokumentation des Risikoüberwachungssystems (Handels- und Kontrollsysteme).
38. Geschäftsleitung
Für die Geschäftsleitung gelten im Rahmen des Modellansatzes die folgenden Bestimmungen:
a) das zuständige Mitglied der Geschäftsleitung muss von der Risikokontrollabteilung täglich direkt und in geeigneter Form über die Ergebnisse des Risikoaggregationsmodells informiert werden und diese einer kritischen Würdigung unterziehen;
b) das zuständige Mitglied der Geschäftsleitung, das die täglichen Berichte der unabhängigen Risikokontrollabteilung würdigt, muss die Befugnis besitzen, sowohl die Reduktion der Positionen einzelner Händler als auch die Reduktion des gesamten Risikoengagements der Bank durchzusetzen;
c) das zuständige Mitglied der Geschäftsleitung muss von der Risikokontrollabteilung periodisch über die Ergebnisse des Backtesting sowie des Stresstesting informiert werden und diese kritisch würdigen.
39. Risikoaggregationsmodell, tägliches Risikomanagement und Limitensysteme
Für die Beziehung zwischen Risikoaggregationsmodell, täglicher Risikokontrolle und Limiten gelten folgende Grundsätze:
a) das Risikoaggregationsmodell muss eng in die tägliche Risikokontrolle integriert sein und hat als Grundlage für die Meldung von Risikoengagements an die Geschäftsleitung zu dienen. Insbesondere müssen seine Ergebnisse integraler Bestandteil der Planung, Überwachung und Steuerung des Marktrisikoprofils der Bank sein;
b) es muss ein eindeutiges und dauerhaftes Verhältnis zwischen den internen Handelslimiten und dem VaR (wie er zur Bestimmung der erforderlichen Eigenmittel für Marktrisiken verwendet wird) bestehen. Diese Beziehung muss sowohl den Händlern als auch der Geschäftsleitung bekannt sein;
c) die Limiten sind regelmässig zu überprüfen;
d) die bei Limitenüberschreitungen auszulösenden Verfahren und allfällige Sanktionen müssen klar definiert und dokumentiert sein.
40. Backtesting
Eine Bank, die den Modellansatz anwendet, muss über regelmässige, solide, stetige, dokumentierte und intern geprüfte Backtesting-Verfahren verfügen. Das Backtesting dient grundsätzlich dazu, Hinweise über die Qualität und Genauigkeit eines Risikomesssystems zu erhalten.
40.1 Backtesting im Allgemeinen
1) Das Verfahren des Backtesting vergleicht rückblickend die Handelserträge einer definierten Zeitperiode mit dem Streubereich des Handelsertrages, der für diese Periode mit Hilfe des Risikoaggregationsmodells prognostiziert wurde. Das Ziel des Verfahrens besteht darin, mit bestimmten Irrtumswahrscheinlichkeiten aussagen zu können, ob die vom Risikoaggregationsmodell ermittelten VaR tatsächlich 99 % der Handelsergebnisse der Bank abdecken. Aus Gründen der statistischen Verlässlichkeit der Aussagen werden der tägliche Handelserfolg und der tägliche VaR während einer längeren Beobachtungsperiode verglichen.
2) Im Rahmen des Modellansatzes wird ein standardisiertes Backtesting-Verfahren zur Festlegung des bankspezifischen Multiplikators (vgl. Ziff. 30 Abs. 2) verlangt. Dessen Parameter sind in Ziff. 40.2 definiert. Unabhängig davon sollen die Banken Backtesting-Verfahren jedoch auch auf tieferer als nur auf der Ebene des globalen Risikoaggregationsmodells anwenden, beispielsweise für einzelne Risikofaktoren oder Produktekategorien, um Fragen der Risikomessung zu untersuchen. Dabei können im Backtesting andere Parameter als jene für das standardisierte Backtesting-Verfahren verwendet werden.
3) Banken, die nicht nur die Anforderungen für die allgemeinen Marktrisiken, sondern auch jene für spezifische Risiken mittels eines Risikoaggregationsmodells bestimmen, müssen zusätzlich über Backtesting-Verfahren verfügen, die Aufschluss geben über die Adäquanz der Modellierung spezifischer Risiken. Insbesondere sind für Subportfolios (Aktien- und Zinsportfolios, die durchgängig in der gleichen Weise ausgewählt werden müssen), die spezifische Risiken enthalten, separate Backtests duchzuführen, die Ergebnisse zu analysieren und der FMA sowie der bankengesetzlichen Revisionsstelle auf Verlangen zu melden.
40.2 Backtesting und Festlegung des bankspezifischen Multiplikationsfaktors
1) Zur Festlegung des bankspezifischen Multiplikationsfaktors ist das Backtesting unter Berücksichtigung folgender Vorgaben durchzuführen:
a) der Test muss auf den unter Berücksichtigung der Modellanforderungen nach Ziff. 33 und 34 berechneten VaR basieren. Der einzige Unterschied besteht darin, dass nicht eine Haltedauer von zehn Tagen, sondern lediglich von einem Tag zu unterstellen ist;
b) das Backtesting ist anhand
1. tatsächlicher Handelsergebnisse, d.h. inklusive der Ergebnisse des Intraday-Handels und inklusive der Provisions- und Kommissionserträge,
2. um diese Effekte bereinigter Handelsergebnisse oder
3. hypothetischer Handelsergebnisse, ermittelt durch Neubewertung der am Vortag im Bestand der Bank befindlichen Finanzinstrumente zu Marktpreisen, durchzuführen.
Die Bank muss grundsätzlich in der Lage sein, beide Verfahren anzuwenden. Das Verfahren muss als solide bezeichnet werden können und die verwendeten Ertragszahlen dürfen das Testergebnis nicht systematisch verzerren. Es ist zudem über die Zeit ein einheitliches Verfahren anzuwenden, d.h. es steht der Bank nicht frei, die Backtesting-Methodik ohne Absprache mit der FMA zu ändern;
c) die zu verwendende Stichprobe setzt sich aus den 250 vorangegangenen Beobachtungen zusammen.
2) Der täglich intern gemeldete VaR sowie das Handelsergebnis sind am Tag ihrer Berechnung in einer Weise festzuhalten, dass sie irreversibel und für die FMA und die bankengesetzliche Revisionsstelle jederzeit einsehbar sind.
3) Die Bank vergleicht das Handelsergebnis täglich mit dem für den Vortag ermittelten VaR. Fälle, in denen ein Handelsverlust den entsprechenden VaR übertrifft, werden als Ausnahmen bezeichnet. Die Prüfung und Dokumentation dieser Ausnahmen (für die Beobachtungen für die 250 vorangegangenen Handelstage) ist mindestes quartalsweise vorzunehmen. Das Ergebnis dieser quartalsweisen Prüfung ist der FMA und der bankengesetzlichen Revisionsstelle zu melden (vgl. Ziff. 45).
4) Die durch das Backtesting bedingte, bankspezifische Erhöhung des Multiplikationsfaktors richtet sich nach der Anzahl der Ausnahmen innerhalb der Beobachtungen für die 250 vorangegangenen Handelstage. Die FMA kann bei der vom Backtesting abhängigen Erhöhung des Multiplikationsfaktors einzelne Ausnahmen unberücksichtigt lassen, wenn die Bank nachweist, dass die Ausnahme nicht auf eine mangelnde Genauigkeit (Prognosequalität) des Risikoaggregationsmodells zurückzuführen ist.
|
Anzahl der Ausnahmen
|
Erhöhung des Multiplikationsfaktors
|
|
4 und weniger
|
0.00
|
|
5
|
0.40
|
|
6
|
0.50
|
|
7
|
0.65
|
|
8
|
0.75
|
|
9
|
0.85
|
|
10 und mehr
|
1.00
|
Tabelle 5: Bankspezifischer Multiplikationsfaktor
5) Falls die Zahl von vier Ausnahmen für den relevanten Beobachtungszeitraum überschritten wird, bevor 250 Beobachtungen vorliegen, ist der FMA unverzüglich (aber nicht später als nach fünf Arbeitstagen) Meldung zu erstatten. Die Bank hat ab diesem Tag den VaR mit dem entsprechend erhöhten Multiplikator (vgl. Tabelle 5) zu berechnen, bis die FMA eine definitive Entscheidung getroffen hat.
6) Wird für eine Bank aufgrund des Backtesting ein bankspezifischer Multiplikationsfaktor grösser drei festgesetzt, wird erwartet, dass die Ursachen der unpräzisen Schätzungen des Risikoaggregationsmodells eruiert und nach Möglichkeit behoben werden. Die Festlegung des Multiplikators auf vier erfordert zwingend eine rasche und sorgfältige Überprüfung des Modells. Die Mängel sind umgehend zu beheben, da andernfalls die Voraussetzungen für die Bestimmung der erforderlichen Eigenmittel nach dem Modellansatz als nicht mehr erfüllt gelten.
7) Eine Reduktion des Multiplikationsfaktors durch die FMA erfolgt erst dann, wenn die Bank nachweist, dass der Fehler behoben ist und das revidierte Modell eine angemessene Prognosequalität aufweist.
41. Stresstesting
1) Eine Bank, die den Modellansatz anwendet, muss über regelmässige, solide, stetige, dokumentierte und intern geprüfte Stresstesting-Verfahren verfügen. Wichtige Ziele des Stresstesting sind, abzuschätzen, ob das ökonomische Kapital nicht nur für die regulatorischen Eigenmittelanforderungen ausreicht, sondern auch grosse potentielle Verluste absorbieren kann, sowie die Ableitung potentieller Massnahmen.
2) Die Definition sinnvoller Stressszenarien ist grundsätzlich der einzelnen Bank überlassen. Abhängig von der Portfoliozusammensetzung sollten jedoch folgende Punkte berücksichtigt werden:
a) die Illiquidität von Märkten unter angespannten Marktbedingungen;
b) das Konzentrationsrisiko (im Verhältnis zum Marktumsatz);
c) nichtlineare Produkte, insbesondere Positionen, die weit aus dem Geld sind;
d) Ereignisrisiken, die über die zehn Tage Halteperiode und über das 99 %-Konfidenzintervall hinausgehen, d.h. Ereignisse mit kleiner Eintretenswahrscheinlichkeit und grosser Auswirkung;
e) plötzliche Ausfälle (jump-to-default-Risiken);
f) grosse Veränderungen von Korrelationen;
g) alle übrigen Risiken, die nicht angemessen im VaR abgebildet sind;
h) bei der Simulierung von Schocks ist der Art der Portfolios und der Zeit, die unter schwierigen Marktbedingungen zur Absicherung oder Steuerung von Risiken erforderlich sein könnte, Rechnung zu tragen.
3) Es gelten die folgenden Grundsätze:
a) zu berücksichtigen sind Szenarien, die zu ausserordentlichen Verlusten führen und/oder die Kontrolle der Risiken erschweren oder verunmöglichen können;
b) es sind unterschiedliche Arten von Stressszenarien anzuwenden, insbesondere:
1. extreme Veränderungen der Marktrisikofaktoren und der Korrelationen zwischen diesen (arbiträr vorgegebene Szenarien oder historische Szenarien entsprechend früheren Perioden erheblicher Marktturbulenzen);
2. bankspezifische Szenarien, die angesichts der spezifischen Risikopositionen als besonders gravierend erachtet werden müssen;
c) die Analysen müssen neben extremen Veränderungen der Marktrisikofaktoren und deren Korrelationen untereinander auch Liquiditätsaspekte von Marktstörungen erfassen;
d) die Risiken sämtlicher Positionen sind in das Stresstesting einzubeziehen, insbesondere auch jene von Optionspositionen.
4) Neben den eigentlichen, quantitativen Stresstests und deren Analysen müssen zudem Abläufe vorhanden sein, die sicherstellen, dass die Ergebnisse des Stresstesting die erforderlichen Massnahmen auslösen:
a) die Ergebnisse des Stresstesting müssen vom zuständigen Mitglied der Geschäftsleitung periodisch geprüft werden und sich in der Politik und den Limiten niederschlagen, die von der Geschäftsleitung und vom Organ für Oberleitung, Aufsicht und Kontrolle festgelegt werden;
b) wenn durch das Stresstesting bestimmte Schwachstellen aufgedeckt werden, müssen sofort Schritte ergriffen werden, um diese Risiken angemessen zu begrenzen (z.B. durch Absicherung oder durch Verringerung des Risikoengagements).
42. Validierung
1) Die Bank verfügt über Verfahren, die gewährleisten, dass ihr Risikoaggregationsmodell von einer Stelle, die geeignet, qualifiziert und von der Entwicklung unabhängig ist, angemessen validiert wurde, damit sichergestellt ist, dass es konzeptionell solide ist und alle wesentlichen Risken erfasst.
2) Eine Validierung des Risikoaggregationsmodells ist sowohl bei dessen Entwicklung als auch bei jeder wesentlichen Änderung des Risikoaggregationsmodells durchzuführen. Darüber hinaus sind periodisch Validierungen durchzuführen, insbesondere jedoch bei grossen strukturellen Änderungen des Marktes oder bei wesentlichen Änderungen der Portfoliozusammensetzung, wenn die Gefahr besteht, dass das Risikoaggregationsmodell diesen nicht länger gerecht wird. Sollten neue Techniken und bessere Praktiken entwickelt werden, so sind diese von den Banken zu übernehmen. Die Modellvalidierung ist nicht auf Rückvergleiche beschränkt, umfasst zumindest aber Folgendes:
a) Tests, anhand derer nachgewiesen wird, dass alle dem Risikoaggregationsmodell zugrunde liegenden Annahmen angemessen sind und keine Unterschätzung des Risikos zur Folge haben;
b) zusätzliche eigene Modellvalidierungstests, die die Banken neben den vorgeschriebenen Rückvergleichen in Bezug auf die Risiken und die Struktur ihrer Portfolios durchführen;
c) Einsatz hypothetischer Portfolios, durch die sichergestellt werden soll, dass das Modell eventuell auftretende, besondere strukturelle Merkmale, wie erhebliche Basisrisiken und das Konzentrationsrisiko, erfassen kann.
43. Dokumentation und internes Kontrollsystem
Das Risikoüberwachungssystem (Handels- und Kontrollsysteme) der Bank muss ausreichend dokumentiert sein. Dies gilt insbesondere für:
a) die allgemeinen Grundsätze;
b) die Zuständigkeiten und Kompetenzen (Aufbauorganisation);
c) die organisatorischen Abläufe;
d) die quantitativen Grundlagen;
für die täglichen VaR-Berechnungen und -Analysen, das Backtesting und das Stresstesting. Zudem muss die Bank über Kontrollsysteme verfügen, welche die Einhaltung der genannten Grundsätze und Verfahren sicherstellen.
44. Interne Revision
1) Die interne Revision prüft das gesamte Risikoüberwachungssystem (Handels- und Kontrollsystem) regelmässig, mindestens jährlich. Die Prüfung umfasst sowohl die Tätigkeiten der Handels- als auch der Risikokontrollabteilungen. Prüfungsinhalte sind insbesondere die in diesem Anhang definierten Bewilligungsvoraussetzungen für den Modellansatz, vor allem:
a) die Angemessenheit der Dokumentation des Risikoaggregationsmodells und der Risikomanagementprozesse sowie der Organisation der Risikokontrollabteilung;
b) die Integration von Massnahmen in das tägliche Risikomanagement und die Integrität des Managementinformationssystems;
c) die Verfahren, die die Bank bei der Genehmigung von Risikopreisfestsetzungsmodellen und -bewertungssystemen anwendet, die vom Personal des Handels und des Back-Office verwendet werden;
d) die Bandbreite der Marktrisiken, die durch das Risikoaggregationsmodell erfasst werden, und die Verifizierung etwaiger erheblicher Änderungen des Risikomessungsprozesses;
e) die Richtigkeit und Vollständigkeit von Positionsdaten, die Richtigkeit und Angemessenheit von Volatilitäts- und Korrelationsannahmen und die Richtigkeit von Bewertungs- und Risikosensitivitätsberechnungen;
f) die Verifizierungsverfahren, die die Bank anwendet, um Konsistenz, Zeitnähe und Zuverlässigkeit der Datenquellen zu prüfen, die im Rahmen der internen Modelle verwendet werden, einschliesslich der Unabhängigkeit dieser Datenquellen; und
g) die Verifizierungsverfahren, die die Bank anwendet, um das Backtesting zu bewerten, das durchgeführt wird, um die Genauigkeit des Modells zu bewerten.
2) Die Prüfungen von externer und interner Revision sind auch im Bereich des Risikomanagements und der Risikokontrolle grundsätzlich aufeinander abzustimmen und zu koordinieren.
3) Die Berichte der internen Revision sind der FMA auf Verlangen vorzuweisen.
G. Meldungen
45. Meldungen an die FMA und die bankengesetzlichen Revisionsstellen
Die FMA sowie die bankengesetzliche Revisionsstelle sind unverzüglich zu benachrichtigen, wenn:
a) wesentliche Änderungen am Risikoaggregationsmodell vorgenommen werden (vgl. Ziff. 27 und 28);
b) die Risikopolitik geändert wird (vgl. Ziff. 27 und 28); oder
c) die Zahl der Ausnahmen beim Backtesting für den relevanten Beobachtungszeitraum vier überschritten hat, bevor 250 Beobachtungen vorliegen (vgl. Ziff. 40, 40.1 und 40.2).
Die Dokumentation des Backtesting-Verfahrens ist mindestens quartalsweise vorzunehmen. Die Ergebnisse sind innerhalb von 15 Handelstagen nach Ende jedes Quartals der FMA sowie der bankengesetzlichen Revisionsstelle zu melden.
IV. Konsolidiert erforderliche Eigenmittel
A. Im Allgemeinen
46. Berechnung
1) Die auf konsolidierter Ebene erforderlichen Eigenmittel für die risikogewichteten Positionen werden grundsätzlich nach der Methode der Voll- oder Quotenkonsolidierung (Art. 9) bestimmt.
2) Im Gegensatz dazu können jedoch die konsolidierten Anforderungen für die Marktrisiken nicht in allen Fällen mittels Konsolidierung berechnet werden, sondern es ist ein additives Verfahren anzuwenden.
B. Konsolidierte Anforderungen nach dem Standardansatz
47. Konsolidierte Bestimmung der erforderlichen Eigenmittel
Falls sämtliche rechtlichen Einheiten eines Konzerns den Standardansatz anwenden und die verfahrenstechnischen Voraussetzungen gegeben sind für eine tägliche Aggregation sämtlicher relevanter Positionen, die in den verschiedenen rechtlichen Einheiten verbucht sind, können die konsolidiert erforderlichen Eigenmittel für die Marktrisiken mittels einer konsolidierten Berechnung nach dem Standardansatz bestimmt werden. D.h., dass zuerst eine konsolidierte Bilanz resp. ein "konsolidiertes Handelsbuch" erstellt wird. Die Berechnung der erforderlichen Eigenmittel erfolgt dann für jede Risikofaktorkategorie (Aktien, Zinsinstrumente, Devisen, Gold und Waren bzw. Rohstoffe) auf der Basis der konsolidierten Bilanz und des "konsolidierten Handelsbuches".
48. Additive Bestimmung der erforderlichen Eigenmittel
Wenden sämtliche rechtlichen Einheiten eines Konzerns den Standardansatz an und sind die Voraussetzungen für eine konsolidierte Berechnung nach Ziff. 47 nicht gegeben, werden die konsolidiert erforderlichen Eigenmittel für Marktrisiken bestimmt, indem die erforderlichen Eigenmittel für die einzelnen rechtlichen Einheiten addiert werden. Die erforderlichen Eigenmittel sind somit für jede rechtliche Einheit und für jede Risikofaktorkategorie (Aktien, Zinsinstrumente, Devisen, Gold und Waren bzw. Rohstoffe) separat zu bestimmen. Bei der Bestimmung der Nettopositionen sowie bei der Berechnung der erforderlichen Eigenmittel dürfen Positionen, die in unterschiedlichen rechtlichen Einheiten verbucht sind, nicht miteinander verrechnet werden.
C. Konsolidierte Anforderungen nach dem Modellansatz
49. Konsolidierte Bestimmung der erforderlichen Eigenmittel
1) Eine Bestimmung der erforderlichen Eigenmittel nach dem Modellansatz im Sinne einer Konsolidierung setzt voraus, dass die Risiken täglich konzernweit mit einem einheitlichen, integrierten System gemessen, aggregiert und überwacht werden. Im Einzelnen müssen folgende Bedingungen erfüllt sein:
a) sämtliche Bewilligungsvoraussetzungen zur Anwendung des Modellansatzes nach Ziff. 27 bis 45 werden auf konsolidierter Ebene dauerhaft eingehalten;
b) es bestehen keine rechtlichen oder verfahrenstechnischen Schwierigkeiten, die einer zeitgerechten Integration einzelner Risikopositionen in das konsolidierte Risikokontrollsystem entgegenstehen;
c) die rasche Repatriierung von Gewinnen einer ausländischen Tochterbank ist nicht erschwert.
2) Sind all diese Voraussetzungen erfüllt, liegt ein konzernweit integriertes Risikoüberwachungssytem vor und die Bestimmung der erforderlichen Eigenmittel für Marktrisiken auf konsolidierter Ebene kann nach denselben Regeln vorgenommen werden wie für die einzelne Bank, auch wenn die Positionen in unterschiedlichen rechtlichen Einheiten verbucht sind.
50. Additive Bestimmung der konsolidiert erforderlichen Eigenmittel
1) Eine additive Bestimmung der auf konsolidierter Ebene erforderlichen Eigenmittel für Marktrisiken ist vorzunehmen, wenn die verschiedenen rechtlichen Einheiten eines Konzerns zwar den Modellansatz anwenden, die Voraussetzungen der konsolidierten Modellrechnung nach Ziff. 49 aber nicht oder nicht vollständig erfüllt sind. In diesem Fall sind zwischen Positionen in rechtlichen Einheiten, die nicht Teil desselben integrierten Risikoüberwachungssystems sind, keinerlei Verrechnungen sowie Aggregationen unter Berücksichtigung von Korrelationen zulässig.
2) Die Aggregation von nach dem Modellansatz berechneten erforderlichen Eigenmittel einerseits und nach dem Standardansatz berechneten erforderlichen Eigenmittel anderseits erfolgt ebenfalls immer additiv.
Beilage 1:
Beispiel zur Bestimmung der erforderlichen Eigenmittel nach der Laufzeitmethode
Ausgangslage der Berechnung bilden die den 15 Laufzeitbändern zugeordneten Long- und Short-Positionen; hier dargestellt anhand der Zonenabgrenzungen für Instrumente mit einem Coupon < 3 %.
Zunächst ist für jedes Laufzeitband eine offene Nettoposition zu berechnen. Diese ist mit dem für das Laufzeitband relevanten Faktor zu gewichten; man erhält so für jedes Laufzeitband eine offene gewichtete Nettoposition. Diese offenen gewichteten Nettopositionen sind über alle Laufzeitbänder miteinander zu addieren. Für das Laufzeitband 6 - 12 Monate beträgt die offene Nettoposition ungewichtet z.B. -200 (= 200 - 400); gewichtet mit dem relevanten Faktor von 0.70 % resultiert -1.40 als offene gewichtete Nettoposition. Als Summe aller 15 gewichteten offenen Nettopositionen ergibt sich die erste Komponente der erforderlichen Eigenmittel. Sie beträgt im dargestellten Beispiel 6.80.
Der nächste Schritt beinhaltet die vertikale Verrechnung innerhalb jedes Laufzeitbandes. Zu diesem Zweck wird die geschlossene risikogewichtete Position jedes Laufzeitbandes mit einem Satz von 10 % belastet. Für das Laufzeitband 1.0 -1.9 Jahre z.B. beträgt die geschlossene Position (kleinerer der absoluten Beträge der Summen jeweils miteinander verrechneter Long- und Short-Positionen) 100. Gewichtet mit dem relevanten Faktor 1.25 % resultiert die geschlossene risikogewichtete Position im Betrag von 1.25. Mit 10 % multipliziert ergibt das den Summanden des Laufzeitbandes 1.0 - 1.9 Jahre zur Bestimmung der erforderlichen Eigenmittel für die vertikale Verrechnung. Durch Addition aller 15 Summanden beträgt diese im dargestellten Beispiel 3.92. Dieser Betrag stellt die zweite Komponente der gesamten erforderlichen Eigenmittel dar.
Die horizontale Verrechnung erfolgt als zweistufiger Prozess; zunächst innerhalb jeder der drei Zonen und anschliessend zwischen den Zonen. Zuerst sind für die zoneninterne horizontale Verrechnung die risikogewichteten offenen Positionen der einzelnen Laufzeitbänder innerhalb ihrer jeweiligen Zone zu einer Zonen-Nettoposition zu aggregieren und miteinander zu verrechnen. Die aus der Verrechnung resultierenden geschlossenen Positionen sind für jede Zone mit erforderlichen Eigenmitteln zu belegen. Diese betragen 40 % für die Zone 1 und je 30 % für die Zonen 2 und 3. Als Zonen-Nettoposition in Zone 2 ergibt sich beispielsweise 3.25 (= 3.75 + 1.75 - 2.25). Durch die Verrechnung der drei risikogewichteten offenen Positionen der drei Laufzeitbänder dieser Zone erhält man eine geschlossene Position von 2.25. Mit 30 % gewichtet resultiert somit für die zoneninterne horizontale Verrechnung der Zone 2 eine Eigenmittelanforderung von 0.675. Die Summe aller dieser erforderlichen Eigenmittel für die zoneninterne horizontale Verrechnung beträgt im Beispiel 8.56. Sie bildet die dritte Komponente der gesamten erforderlichen Eigenmittel.
Schliesslich ist noch die horizontale Verrechnung zwischen den Zonen vorzunehmen. Weil die Zonen-Nettopositionen der Zonen 1 (-1.20) und 2 (+3.25) gegenläufige Vorzeichen aufweisen, ist zwischen ihnen eine weitere Verrechnung möglich. Die aus der Verrechnung resultierende geschlossene Position von 1.20 ist mit einem Satz von 40 %, also insgesamt mit erforderlichen Eigenmitteln von 0.48 zu unterlegen. Die übrigbleibende offene Position (+2.05) verbleibt in ihrer Zone, d.h. in diesem Fall in Zone 2. Sie kann wegen ihres Vorzeichens nicht mit der Zonen-Nettoposition der Zone 3 verrechnet werden. Als vierte Komponente der gesamten erforderlichen Eigenmittel ergibt sich somit 0.48.
Die verbleibenden nicht weiter verrechenbaren offenen Positionen der Zonen 2 (2.05) und 3 (4.75) entsprechen zusammen der Summe der offenen gewichteten Nettopositionen aller Laufzeitbänder (6.80).
Durch Addition aller vier Komponenten ergibt sich für die gesamten erforderlichen Eigenmittel eine Summe von 19.76 (= 6.80 + 3.92 + 8.56 + 0.48).
Beilage 2:
Beispiel zur Bestimmung der erforderlichen Eigenmittel für Optionen nach dem vereinfachten Verfahren
Die Ausgangslage der Berechnung sei durch ein Portfolio bestehend aus den drei folgenden Positionen gegeben:
a) Long-Position aus 10 Call-Optionen auf die Schweizer Aktie A, Basiswertpreis CHF 5 100, Ausübungspreis CHF 5 300, Marktwert einer Option CHF 158.80;
b) Kassa-Long-Positionen aus 15 Kontrakten auf den Aktienindex XY, Marktwert eines Kontraktes CHF 2 160;
c) Long-Position aus 20 Put-Optionen auf den Aktienindex XY, Basiswertpreis CHF 2 160, Ausübungspreis CHF 2 200, Marktwert der Option CHF 63.80.
Zur ersten Optionsposition ist keine entgegengesetzte Kassa-Position im Portfolio vorhanden. Die zu ihrer Deckung erforderlichen Eigenmittel entsprechen deshalb dem kleineren Betrag aus dem Marktwert der Option bzw. dem mit dem relevanten Unterlegungssatz (hier insgesamt 16 %, als Summe von 8 % für das allgemeine Marktrisiko und 8 % für das spezifische Risiko) multiplizierten Marktpreis des Basisinstrumentes. Im vorliegenden Fall entspricht der erste der Beträge CHF 1 588.00 (= 10 × CHF 158.80) und der zweite CHF 8 160.00 (= 10 × 0.16 × CHF 5"100). Da der erste Betrag kleiner ist, entspricht er in diesem Fall der relevanten erforderlichen Eigenmittel für diese Position.
Bezüglich des Aktienindizes XY stehen sich je 15 gekaufte Put-Options- und (Long-) Kassa-Positionen gegenüber. Zusätzlich ist noch eine weitere Position aus 5 gekauften Put-Optionen auf den Index vorhanden, die durch keine entsprechende Kassa-Position ergänzt wird.
Für die je 15 Options- und Kassa-Positionen auf den Index XY entsprechen die erforderlichen Eigenmittel dem um den inneren Wert der Optionsposition verminderten, mit dem relevanten Unterlegungssatz (der relevante Unterlegungssatz beträgt in diesem Fall 8 % für das allgemeine Marktrisiko und 2 % für das spezifische Risiko eines Aktienindizes, der ein breit diversifiziertes Aktienportfolio repräsentiert, insgesamt also 10 %) multiplizierten Marktwert des Basisinstrumentes. Im konkreten Fall ergibt sich dafür CHF 2 640.00 (= 15 × 0.10 × CHF 2 160.00 - 15 × [CHF 2 200.00 - CHF 2 160.00]). Die verbleibende Restposition auf 5 Put-Optionen auf den Index ist mit dem kleineren Betrag aus dem Marktwert der Option, CHF 319.00 (= 5 × 63.80), bzw. dem mit dem relevanten Unterlegungssatz multiplizierten Marktpreis des Basiswertinstrumentes, CHF 1 080 (= 5 × 0.10 × CHF 2 160), zu unterlegen. In diesem Fall ist der erste der Beträge kleiner und entspricht deshalb der relevanten Eigenmittelanforderung.
Gesamthaft resultiert für das vorliegende Portfolio erforderliche Eigenmittel von CHF 4 547.00 (= CHF 1 588.00 + CHF 2 640.00 + CHF 319.00).
Beilage 3:
Beispiel zur Bestimmung der erforderlichen Eigenmittel für Optionen nach dem Delta-Plus-Verfahren
Die Ausgangslage der Berechnung sei durch das folgende vier Positionen umfassende Optionsportfolio gegeben (Annahmen für die Berechnung: Europäische Optionen, risikofreie Zinssätze: 1 % für CHF, 0 % für USD, keine Dividenden):
|
Position
|
I
|
II
|
III
|
IV
|
|
Anzahl
|
-10 (short)
|
20 (long)
|
15 (long)
|
100 000 (long)
|
|
Basiswert
|
CH-Aktie A
|
CH-Aktie B
|
ausl. Aktienindex (alle Werte in CHF)
|
USD/CHF
|
|
Basiswertpreis
|
13 490
|
1 940
|
3 790
|
1.4385
|
|
Optionstyp
|
Call
|
Call
|
Put
|
Call
|
|
Ausübungspreis
|
14 000
|
1 900
|
3 900
|
1.45
|
|
Restlaufzeit
|
6 Monate
|
4 Monate
|
3 Monate
|
2 Monate
|
|
Volatilität
|
25.5 %
|
20.5 %
|
22.0 %
|
12.0 %
|
|
Positionswert
|
-7 802
|
2 310
|
3 350
|
2 388
|
|
Delta
|
0.4649
|
0.6038
|
-0.5724
|
0.4585
|
|
Gamma
|
0.000163
|
0.001678
|
0.000941
|
5.630375
|
|
Vega
|
3 790.73
|
431.62
|
743.51
|
0.2330
|
|
Deltaäquivalent
|
-62 717
|
23 428
|
32 541
|
65 957
|
|
EM (Deltaäquiv.)
|
-10 035
|
3 748
|
3 254
|
6 596
|
|
Gamma-Effekt
|
-951
|
404
|
649
|
5 825
|
|
Vega-Effekt
|
-2 417
|
442
|
613
|
699
|
In einem ersten Schritt sind die Deltaäquivalenteder einzelnen Positionen zu bestimmen. Sie ergeben sich durch Multiplikation der zur Position gehörenden Anzahl Titel mit dem jeweiligen Basiswertpreis und dem zugehörigen Positionsdelta. Die Deltaäquivalente sind anschliessend in die Bestimmung der Nettopositionen für allgemeine Marktrisiken und spezifische Risiken (bei Aktien) einzubeziehen. Das Deltaäquivalent der Position I beträgt beispielsweise: CHF 62 717 (= -10 × CHF 13 490 × 0.4649). Es ist mit einer Eigenkapitalquote von 16 % (8 % für das allgemeine Marktrisiko plus 8 % für das spezifische Risiko) zu belasten, womit bei isolierter Betrachtung der Position insgesamt erforderliche Eigenmittel in der Höhe des absoluten Betrages von CHF -10 035 (= 0.16 × CHF -62 717) resultieren würde. Genau gleich ist mit den anderen drei Positionen zu verfahren, wobei die erforderlichen Eigenmittel für die Position II ebenfalls 16 %, für die Positionen III und IV jedoch nur je 10 % (der relevante Unterlegungssatz für Aktienindexpositionen (Position III) beträgt 8 % für das allgemeine Marktrisiko plus 2 % für das spezifische Risiko, jener für Währungspositionen (Position IV) 10 %) beträgt.
Im nächsten Schritt sind die Gamma-Effekteder einzelnen Positionen zu ermitteln. Sie resultieren jeweils aus der Multiplikation der zur Position gehörenden Anzahl Titel mit dem Faktor 0.5, dem zugehörigen Positionsgamma und dem quadrierten Wert des für die anzunehmende Veränderung des Basiswertpreises vorgeschriebenen Betrages. Für die Position II beispielsweise ergeben sich erforderliche Eigenmittel für den Gamma-Effekt von CHF 404 (= 20 × 0.5 × 0.001678 × [0.08 × CHF 1 940]2). Weil die Positionen I und II beide aus Optionen auf Schweizer Aktien bestehen und damit zur gleichen Kategorie von Basiswerten (nach Ziff. 23.2b Abs. 2) gehören, dürfen ihre Gamma-Effekte untereinander verrechnet werden. Für die Kategorie Schweizer Aktien resultiert somit ein Netto-Gamma-Effekt von CHF -547 (= CHF 404 - CHF 951). Da dieser Netto-Gamma-Effekt negativ ist, ist er im Gegensatz zu jenen der Positionen III und IV für die Berechnung der erforderlichen Eigenmittel relevant. Sein absoluter Betrag stellt eine Komponente der erforderlichen Eigenmittel dar.
Schliesslich sind die Vega-Effektepro Position und pro Kategorie von Basiswerten (im Sinne von Ziff. 23.2b Abs. 2) zu berechnen. Sie ergeben sich durch Multiplikation der zur Position gehörenden Anzahl Titel mit dem Faktor 0.25, dem zugehörigen Positionsvega und der jeweiligen Volatilität. Für Position III beispielsweise ergibt dies CHF 613 (= 15 × 0.25 × 743.51 × 0.22). Der Netto-Vega-Effekt für den Schweizer Anteil am Aktienportfolio beträgt CHF -1 975 (= CHF -2 417 + CHF 442). Analog der Gamma-Effekt-Berechnung stellt auch dieser absolute Betrag eine Komponente der erforderlichen Eigenmittel dar.
Damit betragen die erforderlichen Eigenmittel für den Gamma-Effekt insgesamt CHF 547 (absoluter Betrag von CHF 404 - CHF 951) und für den Vega-Effekt insgesamt CHF 3 287 (= CHF 1 975 + CHF 613 + CHF 699).
Beilage 4:
Anwendungsbeispiel zum De-Minimis-Test
Die Berechnung der für den De-Minimis-Test massgebenden Grösse des Handelsbuches soll im Folgenden anhand eines einfachen Beispielportfolios (Hinweis zur Berechnungsweise: Die Berechnung der Restlaufzeit beruht im Beispiel auf der Verwendung effektiver Kalenderdaten) erläutert werden. Das Handelsbuch umfasst sechs Positionen:
|
Position I: Obligation A
|
|
Nominalwert:
|
5 000 000 CHF
|
|
Coupon:
|
5 %
|
|
Restlaufzeit:
|
3 Jahre
|
|
Positionswert:
|
5 087 500 CHF
|
|
Position II: Indexzertifikate auf den Aktienindex SMI
|
|
Anzahl:
|
1 000
|
|
Stand SMI:
|
6 700 CHF
|
|
Positionswert:
|
6 700 000 CHF
|
|
Position III: Call-Optionen auf den Aktienindex SMI
|
|
Anzahl:
|
-5 000 Stück (Short-Position, Ausübungsverhältnis 1:1)
|
|
Optionstyp:
|
europäisch
|
|
Basiswertpreis:
|
6 700 CHF
|
|
Ausübungspreis:
|
7 000 CHF
|
|
Restlaufzeit:
|
6 Monate
|
|
Volatilität:
|
30 % p.a.
|
|
Risikofreier Zinssatz:
|
1 % p.a.
|
|
Delta:
|
0.46877
|
|
Positionswert:
|
-2 258 433 CHF
|
|
Deltaäquivalent:
|
-15 703 880 CHF
|
|
Position IV: Devisen-Call-Optionen zum Erwerb von USD gegen CHF
|
|
Anzahl:
|
1 Mio. (Ausübungsverhältnis 1:1)
|
|
Optionstyp:
|
europäisch
|
|
Wechselkurs:
|
1.3670
|
|
Ausübungspreis:
|
1.3000
|
|
Restlaufzeit:
|
2 Monate
|
|
Volatilität:
|
15 % p.a.
|
|
Risikofreier CHF-Zinssatz:
|
1 % p.a.
|
|
Risikofreier USD-Zinssatz:
|
5 % p.a.
|
|
Delta:
|
0.76540
|
|
Positionswert:
|
69 412 CHF
|
|
Deltaäquivalent:
|
1 046 297 CHF
|
|
Position V: Rohöl-Futures
|
|
Anzahl:
|
1 000 Kontrakte zum Kauf von je 1 000 Barrel Rohöl
|
|
Termin:
|
in 3 Monaten
|
|
Vereinbarter Terminpreis:
|
14.70 USD/Barrel
|
|
Aktueller Wechselkurs:
|
1.3670 (CHF/USD)
|
|
Aktueller 3m-Terminpreis:
|
12.50 USD/Barrel
|
|
3m-USD-Zinssatz:
|
5.00 % p.a.
|
|
Positionswert:
|
-2 970 939 CHF
|
|
Wert Long-Komponente:
|
16 880 341 CHF
|
|
Wert Short-Komponente:
|
-19 851 280 CHF
|
|
Position VI: Rohöl-Futures
|
|
Anzahl:
|
300 Kontrakte zum Verkauf von je 1 000 Barrel Rohöl
|
|
Termin:
|
in 3 Monaten und 5 Tagen
|
|
Vereinbarter Terminpreis:
|
11.30 USD/Barrel
|
|
Aktueller Wechselkurs:
|
1.3670 (CHF/USD)
|
|
Aktueller (3m+5d)-Terminpreis:
|
12.55 USD/Barrel
|
|
(3m+5d)-USD-Zinssatz:
|
5.02 % p.a.
|
|
Positionswert:
|
-506 042 CHF
|
|
Wert Long-Komponente:
|
4 574 617 CHF
|
|
Wert Short-Komponente:
|
-5 080 659 CHF
|
Für die Berechnung der massgebenden Grösse des Handelsbuches sind die einzelnen Werte für jede Position nach Ziff. 3 Abs. 2 zu bestimmen. Dabei dürfen zunächst die sich ausgleichenden Positionen nach Ziff. 6.1 unberücksichtigt bleiben. Für das dargestellte Beispiel lassen sich daher die beiden Positionen V und VI partiell miteinander verrechnen:
|
Position
|
1. Komponente
|
2. Komponente
|
|
V
|
1 000 000 Barrel Rohöl
|
-14 700 000 USD
|
|
VI
|
-300 000 Barrel Rohöl
|
3 390 000 USD
|
|
V/VI: nach Verrechnung
|
700 000 Barrel Rohöl
|
-11 310 000 USD
|
Für die erste Komponente ergibt sich aus der Verrechnung ein Wert von CHF 11 816 238 (= 700 000 × 12.50 USD / 1.050.25× 1.3670 CHF/USD); für die zweite Komponente resultiert ein Wert von CHF -15 273 332 (= -11 310 000 USD / 1.050.25× 1.3670 CHF/USD). Da der absolute Wert der zweiten Komponente grösser ist als jener der ersten, fliesst er als für die Positionen V und VI relevanter Betrag in die massgebende Grösse des Handelsbuches ein.
|
Position I:
|
5 087 500 CHF
|
|
Position II:
|
6 700 000 CHF
|
|
Position III:
|
15 703 880 CHF short
|
|
Position IV:
|
1 046 297 CHF
|
|
Positionen V/VI:
|
15 273 332 CHF
|
Im Weiteren handelt es sich im vorliegenden Beispiel bei den Positionen II und III um sich ausgleichende Positionen im Sinne von Ziff. 10.1, womit diese ebenfalls miteinander verrechnet werden dürfen.
Damit resultiert als für den De-Minimis-Test massgebende Grösse des Handelsbuches die Summe aus den folgenden Positionswerten:
|
Position I:
|
5 087 500 CHF
|
|
Position II/III:
|
9 003 880 CHF
|
|
Position IV:
|
1 046 297 CHF
|
|
Positionen V/VI:
|
15 273 332 CHF
|
|
Summe:
|
30 411 009 CHF
|
Da die so ermittelte Grösse den Betrag von 30 Mio. CHF übersteigt, liegt im Beispiel - unabhängig davon, ob diese 6 % der bilanziellen und ausserbilanziellen Positionen überschreitet oder nicht - keine De-Minimis-Qualifikation vor.
Beilage 5:
Verrechnungsmöglichkeiten von Cross-Currency-Beziehungen
Der Begriff "entgegengesetzte Positionen in Derivaten", wie er in Ziff. 6.1 Bst. b verwendet wird, bezieht sich grundsätzlich nur auf Derivate, welche sich auf die gleichen Basisinstrumente beziehen und auf dieselbe Währung lauten. Darüber hinaus dürfen jedoch zusätzlich auch Cross-Currency-Beziehungen in ihre Komponenten aufgegliedert und in die Verrechnung miteinbezogen werden. Voraussetzung dafür ist jedoch die Einhaltung der in Ziff. 6.1 Bst. b Ziff. 1 und 3 genannten Restriktionen.
Dazu ein erläuterndes Beispiel: Gegeben sind drei Devisentermingeschäfte mit unterschiedlichen Abschlussterminen und identischen Fälligkeitsterminen:
1. Kauf von 20 Mio. USD gegen 17 Mio. EUR
2. Verkauf von 20 Mio. USD gegen 28 Mio. CHF
3. Kauf von 17 Mio. EUR gegen 27 Mio. CHF
Die erste Position darf aufgrund der vorliegenden Cross-Beziehung in die folgenden Transaktionen aufgegliedert werden:
1a. Kauf von 20 Mio. USD gegen CHF (zum entsprechenden Wechselkurs)
1b. Kauf von CHF gegen 17 Mio. EUR (zum entsprechenden Wechselkurs)
Die Positionen 1a und 1b dürfen nach Ziff. 6.1 Bst. b Ziff. 3 mit den Positionen 2 und 3 verrechnet werden. Voraussetzung dazu ist, dass die Aufgliederung der Cross-Beziehung umfassend dokumentiert wird.
Die Aufgliederung von Cross-Beziehungen ist ausschliesslich für Devisentermingeschäfte zulässig.
Beilage 6:
Kategorisierung von Aktieninstrumenten
Als nationaler Markt bzw. Währungsraum eines Emittenten international kotierter Aktieninstrumente gilt der jeweilige Heimmarkt des Emittenten. Ein Aktientitel eines japanischen Emittenten ist damit beispielsweise für die Berechnung des allgemeinen Marktrisikos dem japanischen Aktienmarkt zuzuordnen; dies auch dann, wenn der Titel in der Schweiz gegen CHF erworben wurde.
Auch für American Depository Receipts (ADRs) gilt der Heimmarkt des Emittenten der betreffenden Aktie als relevantes Zuordnungskriterium. ADRs dürfen somit nicht mit dem Aktienmarkt der Vereinigten Staaten zugeordneten Aktieninstrumenten verrechnet werden.
Aktienpositionen, die in verschiedenen nationalen Indizes enthalten sind, sind je nach Art ihrer Bewirtschaftung dem jeweiligen nationalen Markt bzw. Währungsraum zuzuordnen. Beispielsweise dürfen Aktienpositionen in ABB-Titeln, die sowohl Bestandteil des Swiss Market Index (SMI) als auch des schwedischen SF-Generalindex sind, gestützt auf die Art ihrer Bewirtschaftung sowohl dem schweizerischen als auch dem schwedischen Aktienmarkt zugeordnet werden. Es ist damit in solchen Spezialfällen grundsätzlich möglich, dass eine Aktienposition in einem bestimmten Titel anteilsmässig verschiedenen nationalen Märkten bzw. Währungsräumen zugeordnet wird. Ausdrücklich untersagt ist jedoch ein von der Bewirtschaftung unabhängiger Wechsel der Zuordnung je nach Opportunität.
Sind Aktienpositionen zusätzlich zu den Aktienkursrisiken auch mit Währungsrisiken behaftet, so sind Letztere nach den entsprechenden Bestimmungen zu erfassen (vgl. Ziff. 9 Abs. 3). Als mit einem Währungsrisiko behaftet gilt eine Aktie grundsätzlich dann, wenn die Währung im Heimmarkt des Emittenten einer Fremdwährung entspricht.
Beilage 7:
"Dazugehörige Absicherungspositionen"im Sinne von Ziff. 23.3 Abs. 1
Grundsätzlich ist das Verfahren der Szenario-Analyse zur Bestimmung der erforderlichen Eigenmittel für Optionspositionen und allenfalls dazugehörige Absicherungspositionen konzipiert. Als "dazugehörige Absicherungsposition" im Sinne von Ziff. 23.3 Abs. 1 ist eine Position dann qualifiziert, wenn sie der gleichen Kategorie nach Ziff. 23.2b Abs. 2 wie die durch sie abzusichernden Positionen angehört und ihr Deltaäquivalent jenes dieser Positionen nicht übersteigt. Das heisst, es ist aufgrund der Kategorisierung von Ziff. 23.2b Abs. 2 grundsätzlich zulässig, beispielsweise eine Kassa-Long-Position der Schweizer Aktie X im Rahmen des Szenario-Analyse-Verfahrens als Absicherungsposition (im Sinne einer "dazugehörigen Absicherungsposition") zu einer Short-Position einer Call-Option auf die Schweizer Aktie Y zu betrachten.
Für die Integration von nicht als Absicherungspositionen qualifizierten Instrumenten in die Szenario-Analyse-Matrizen gelangen je nach Risikofaktorkategorie unterschiedliche Regeln zur Anwendung.
A. Aktieninstrumente, Devisen, Gold und Waren bzw. Rohstoffe:
Unter der Voraussetzung, dass sich dadurch keine geringeren erforderlichen Eigenmittel als nach separater Behandlung nach konventionellem Verfahren ergeben würden, dürfen grundsätzlich auch lineare Positionen in Aktieninstrumenten, Devisen, Gold und Waren bzw. Rohstoffen, welche sich nicht als Absicherungsposition qualifizieren, in die entsprechenden Szenario-Analyse-Matrizen integriert werden.
B. Zinsinstrumente:
Das Verfahren der Szenario-Analyse für Optionen auf Zinsinstrumente unterscheidet sich bezüglich Verrechnungsmöglichkeiten wesentlich von den Verfahren für Zinsinstrumente ohne Optionscharakter (Laufzeitmethode und Durationsmethode). Ziff. 23.3 Abs. 1 sieht in Abweichung von diesen Verfahren für Optionen auf Zinsinstrumente die Möglichkeit zur Zusammenfassung von jeweils maximal drei Laufzeitbändern zu einer Gruppe vor, wobei mindestens sechs solcher Laufzeitband-Gruppen zu bilden sind. Aufgrund der dadurch erweiterten Verrechnungsmöglichkeiten könnten sich - je nach Portfoliozusammensetzung - für Zinsinstrumente ohne Optionscharakter durch die Anwendung des Szenario-Analyse-Verfahrens geringere erforderliche Eigenmittelergeben als bei korrekter Verwendung der vorgesehenen konventionellen Verfahren. Eine Integration von nicht als Absicherungspositionen im Sinne von Ziff. 23.3 Abs. 1 qualifizierten Zinsinstrumenten in die Szenario-Analyse-Matrizen ist daher nicht gestattet.
Beilage 8:
Cross-Currency-Beziehungen im Verfahren der Szenario-Analyse
Für bestimmte Währungsportfolios ist es unter Umständen aufgrund von Cross-Currency-Interdependenzen ausgeschlossen, dass sich die einzelnen relevanten Wechselkurse unabhängig voneinander entwickeln. In solchen Fällen müssen die Änderungsszenarien nicht zwingend für alle im Portfolio enthaltenen Wechselkurse simuliert werden. Enthält ein Portfolio beispielsweise Devisenoptionen auf die Wechselkurse CHF/USD, USD/EUR und CHF/EUR, so kann grundsätzlich die Simulation von zwei Wechselkursänderungen genügend sein, wenn damit die dritte aufgrund von Cross-Currency-Beziehungen ausreichend mitberücksichtigt wird.
Ein Beispiel: Eine Bank hat Optionen auf drei Wechselkurse: CHF/USD, USD/EUR und CHF/EUR. Es berechnet dafür je eine 3x7-Matrix (3 Volatilitätsänderungen: +25.00 %, 0.00 %, -25.00 %; und 7 Wechselkursänderungen: +10.00 %, +6.67 %, +3.33 %, 0.00 %, -3.33 %, -6.67 %, -10.00 %):
In der Matrix A (CHF/USD) ergibt sich beispielsweise der maximale Positionsverlust in jenem Feld, das von einer Volatilitätsänderung von -25.00 % und von einer USD-Abwertung gegenüber dem CHF von 3.33 % ausgeht.
Ferner sei angenommen, in Matrix B (USD/EUR) ergebe sich der grösste Positionsverlust in jenem Feld, welches von einer Volatilitätsänderung von +25.00 % und von einer EUR-Abwertung gegenüber dem USD von 3.33 % ausgehe.
In der Matrix C (CHF/EUR) schliesslich sei der grösste Verlust in jenem Feld enthalten, welches von einer Volatilitätsänderung von -25.00 % und von einer EUR-Aufwertung gegenüber dem CHF von 10.00 % ausgehe.
Die so implizierten Veränderungen der drei Wechselkurse können nicht gleichzeitig erfolgen. Eine USD-Abwertung gegenüber dem CHF um 3.33 % und eine EUR-Abwertung gegenüber dem USD um ebenfalls 3.33 % implizieren eine EUR-Abwertung gegenüber dem CHF im Bereich von 6.67 % (die implizierte Abwertung beträgt 6.56 %; in Bezug auf die für die Matrix relevanten Wechselkursänderungen liegt diese am nächsten bei der angenommenen EUR-Abwertung gegenüber dem CHF um 6.67 %) und schliessen eine EUR-Aufwertung gegenüber dem CHF - wie sie in Matrix C angenommen wird - aus.
Eine ausschliessliche Simulierung der CHF/EUR-Wechselkursänderung mit der durch die Cross-Currency-Beziehung implizierten EUR-Abwertung gegenüber dem CHF von 6.67 % macht jedoch nur dann Sinn, wenn die in der Matrix erfassten Positionen dieses Währungspaares in Bezug auf ihre Risikoexposition quantitativ geringer sind als jene der Matrizen A und B. Aus diesem Grund sind die Volumen der einzelnen Positionen aufgrund ihrer absoluten Deltaäquivalente zu berücksichtigen.
Bezeichnen DA, DBund DCdie in CHF denominierten absoluten Deltaäquivalente der Positionen aus den einzelnen Matrizen, so darf aufgrund der vorliegenden Cross-Currency-Beziehungen die entsprechende Position in Matrix C maximal bis zum kleineren Prozentsatz aus der Relation DA/DCoder DB/DCnach dem Simulationsfeld jener Spalte der Matrix C berechnet werden, welches von einer EUR-Abwertung gegenüber dem CHF um 6.67 % ausgeht und innerhalb dieser Spalte den grössten Positionsverlust ergibt, also die ungünstigste Volatilitätsänderung impliziert. Ein allfälliger Rest der Position ist konventionell nach dem Feld mit dem grössten Positionsverlust in Matrix C zu berechnen; im Beispiel also im Feld, welches von einer Volatilitätsänderung von -25.00 % und von einer EUR-Aufwertung gegenüber dem CHF von 10.00 % ausgeht.
Es ist zu beachten, dass die Art der Wechselkursnotation für die Berechnung der Szenario-Analyse-Matrizen nicht irrelevant ist. Entspricht beispielsweise 1 EUR dem Gegenwert von 1.10 USD, so lässt sich der Wechselkurs entweder in der Form USD/EUR (1.1000) oder in der Form EUR/USD (0.9091) notieren. Aus den Änderungssimulationen ergeben sich dabei nicht identische Werte. Nach der Notation USD/EUR resultieren z.B. für simulierte Wechselkursänderungen von +/-10.00 % die Werte von 0.9900 (Änderung um -10.00 %) bzw. von 1.2100 (Änderung um +10.00 %). Wird stattdessen für die Matrix die Notation EUR/USD verwendet, ergeben sich für die analoge Simulation Wechselkurswerte von 0.8182 (Änderung von -10.00 %) bzw. von 1.0000 (Änderung von +10.00 %), was in der Notation USD/EUR den Werten von 1.0000 bzw. 1.2222 entspricht. Diese unterscheiden sich von den direkt für die Notation USD/EUR berechneten Werten (0.9900 bzw. 1.2100).
Für die Szenario-Analyse ist jeweils pro Währungspaar eine bestimmte Notation zu verwenden. Diese darf nicht je nach Opportunität gewechselt werden.
In dieser Beilage werden die "mathematischen" Notationen verwendet. Die üblicherweise in der Praxis wie auch in anderen Abschnitten dieses Anhangs verwendeten Notationsbezeichnungen weichen zum Teil von diesen ab. So wird der Wechselkurs zwischen USD und CHF in der Regel mathematisch in der Form CHF/USD notiert, aber nach Konvention als USD/CHF-Wechselkurs bezeichnet.
Beilage 9:
Beispiel zur Handhabung der Eigenmittelberechnung für Devisenterminkontrakte
|
Annahme:
|
Das Handelsbuch enthält 2 Devisenpositionen
|
|
Marktdaten:
|
USD/CHF-Wechselkurs 1.45, USD-Zinssatz 5 %, CHF-Zinssatz 2 %
|
|
Kassa:
|
1 Mio. USD Short-Position
|
|
Termin:
|
Kauf von 1 Mio. USD mit Termin in einem Jahr, USD/CHF-Terminkurs 1.41
|
Für die Berechnung der Nettoposition zur Bestimmung des Währungsrisikos ist die USD-Termin-Long-Position zum USD-Zinssatz abzudiskontieren, mit der entsprechenden USD-Kassa-Short-Position zu verrechnen und anschliessend mit dem Kassakurs in CHF umzurechnen. Für das obige Beispiel resultiert daraus CHF -69 048 (= USD -47 619 × 1.45 CHF/USD).
Ferner ist für die Unterlegung des Zinsänderungsrisikos aus dem Termingeschäft eine Long-Position in einer USD-Staatsanleihe im Betrag von USD 1 Mio. mit ihrem abdiskontierten Wert von USD 952 381 und eine Short-Position in einer CHF-Staatsanleihe im Betrag von CHF 1.41 Mio. mit ihrem abdiskontierten Wert von CHF 1 382 353 in die entsprechenden Laufzeitbänder des USD- bzw. CHF-Fristigkeitenfächers einzutragen.
Beilage 10:
Berechnung von Gamma- und Vega-Effekten aus Swaptions
Grundsätzlich ist zu unterscheiden, ob die Laufzeit- oder die Durationsmethode angewendet wird. Im Folgenden wird die Problematik anhand einer Long-Position in einer Swaption auf einen Payer-Swap erläutert:
Bei gleichzeitiger Anwendung der Laufzeitmethode und des Delta-Plus-Verfahrens ist zur Bestimmung der Gamma- und Vega-Effekte einer Swaption von der Replikation des der Option zugrunde liegenden Swaps auszugehen. Diese Replikation ergibt zwei fiktive Basisinstrumente mit unterschiedlicher Laufzeit. Die längere der beiden Laufzeiten bestimmt nun die angenommene Renditeänderung (nach Tabelle 3 in Ziff. 8.2 Abs. 2 Bst. b), welche zur Berechnung der Gamma- und Vega-Effekte zu verwenden ist.
Ein Beispiel zur Veranschaulichung:
Gegeben sei eine Long-Position in einer Payer-Swaption mit Fälligkeit in 2 Jahren und einer Laufzeit des Swaps von 3 Jahren ab Fälligkeit der Option. Der Swapsatz betrage 6 %.
Der Basiswert der Option wird als Long-Payer-Swap (bzw. als Short-Receiver-Swap) nach Ziff. 6.3 Abs. 1 durch zwei Positionen in fiktiven Staatspapieren abgebildet:
A. Long-Position in einer 6 %-Staatsanleihe mit Restlaufzeit von 2 Jahren
B. Short-Position in einer 6 %-Staatsanleihe mit Restlaufzeit von 5 Jahren
Zur Berechnung der erforderlichen Eigenmittel der Swaption sind die Positionen A und B je deltagewichtet ihren Laufzeitbändern nach Tabelle 1 in Ziff. 8.1 Abs. 1 Bst. b zuzuordnen (erstes Laufzeitband der Zone 2 bzw. erstes Laufzeitband der Zone 3).
Zusätzlich muss für die Swap-Position ein Gamma-Effekt, gestützt auf die angenommene Renditeänderung für das 5y-Laufzeitband (zweites Laufzeitband der Zone 3) nach Tabelle 3 in Ziff. 8.2 Abs. 2 Bst. b, berechnet und diesem Gamma-Effekt-Laufzeitband zugeordnet werden, wobei die Positionen der Gamma-Effekt-Laufzeitbänder nicht mit Deltapositionen verrechnet werden dürfen:
Gamma-Effekt = 0.5 × r × VB2= 0.5 × r (N × Delta r × Summe d)2
Dabei gilt: N = Nominalbetrag des Swaps
Delta r = angenommene Renditeänderung nach Tabelle 3 in Ziff. 8.2 Abs. 2 Bst. b
Summe d = Summe der Diskontfaktoren der aus dem Swap resultierenden Zahlungsströme
Alternativ dazu ist es ebenfalls zulässig, die Zuordnung zu einem Laufzeitband analog zur Bestimmung der erforderlichen Eigenmittel für das Deltaäquivalent vorzunehmen. Im Beispiel wäre damit ebenfalls das erste (statt das zweite) Laufzeitband der Zone 3 relevant. Für die angenommene Renditeänderung Delta r ergäbe sich damit ein Wert von 0.75 % (statt 0.70 %). Entscheidet sich eine Bank für diese alternative Vorgehensweise, so ist diese konsequent für sämtliche Positionen anzuwenden. Ein Wechsel der Vorgehensweise je nach Opportunität ist nicht zulässig.
Nach Ziff. 23.2b Abs. 3 sind pro Basiswertkategorie im Sinne von Ziff. 23.2b Abs. 2 nur die negativen Netto-Gamma-Effekte in die Eigenmittelberechnung einzubeziehen. Sofern der im Beispiel dargestellte positive Gamma-Effekt der einzige in seinem Laufzeitband ist, ist er daher für die Berechnung der erforderlichen Eigenmittel irrelevant.
Der als 0.25 × v × Volatilität definierte Vega-Effekt (vgl. Ziff. 23.2c Abs. 1) wird demselben Laufzeitband wie der Gamma-Effekt zugeordnet, wobei Verrechnungen der beiden Effekte untereinander selbstverständlich nicht zulässig sind.
Wird anstelle der Laufzeitmethode die Durationsmethode angewendet, so ergeben sich keine wesentlichen Unterschiede zum oben dargestellten Beispiel. Es ist einzig zu beachten, dass die Zuordnung der Positionen A und B - wie auch jene des Gamma- bzw. des Vega-Effektes - nicht aufgrund ihrer Restlaufzeit, sondern gestützt auf ihre (Macaulay-) Duration nach Tabelle 3 in Ziff. 8.2 Abs. 2 Bst. b erfolgen muss.
Beilage 11:
Optionen mit fremdwährungsdenominiertem Ausübungspreis
Nach Art. 31 in Verbindung mit Ziff. 14 Abs. 1 ergibt sich die Nettoposition einer Bank in einer bestimmten Währung aus diversen Komponenten. Unter anderem gehören dazu die Deltaäquivalente von Optionspositionen.
Neben allenfalls erforderlichen Eigenmittel für die durch das Basisinstrument der Option implizierte Währungsexposition ist - gestützt auf Ziff. 13 und Ziff. 14 Abs. 1 - zusätzlich auch für die durch den Ausübungspreis der Option bedingte Währungsexposition erforderlichen Eigenmittel zu bestimmen. Dabei ist die entsprechende Währungsexposition als Produkt von Optionsdelta und Ausübungspreis zu betrachten; die dafür erforderlichen Eigenmittel betragen 10 % davon.
Dazu ein Beispiel anhand einer Long-Position in einer Call-Option auf den SMI mit EUR-denominiertem Ausübungspreis:
|
Anzahl:
|
10 Stück (Ausübungsverhältnis 1:1)
|
|
Optionstyp:
|
europäisch
|
|
Basiswertpreis:
|
CHF 7 200
|
|
Ausübungspreis:
|
EUR 4 400
|
|
Wechselkurs EUR/CHF:
|
1.60
|
|
Restlaufzeit:
|
12 Monate
|
|
SMI-Volatilität:
|
25 % p.a.
|
|
Risikofreier CHF-Zinssatz:
|
1 % p.a.
|
|
Delta:
|
0.60052
|
|
Gamma:
|
0.00021
|
|
Vega:
|
2 780.72
|
|
Optionspreis:
|
CHF 825.54
|
Nach dem Delta-Plus-Verfahren (vgl. Ziff. 23.2, Ziff. 23.2a, Ziff. 23.2b und Ziff. 23.2c) ergeben sich die erforderlichen Eigenmittel für die aus dem Basiswert der Option resultierenden Risiken aus der Summe von drei Komponenten:
1. Delta-Effekt: CHF 4 324 = 10 × (0.08+0.02) × 0.60052 × CHF 7 200
2. Gamma-Effekt: CHF 0 = I min [CHF 0. 10 × 0.5 × 0.00021 × 1/CHF × (0.08 × CHF 7 200)2] I
3. Vega-Effekt: CHF 1 738 = 10 × 0.25 × CHF 2 780.72 × 0.25
Konkret resultiert daraus erforderliche Eigenmittel von CHF 6 062. Würde anstelle des Delta-Plus-Verfahrens das Verfahren der Szenario-Analyse (vgl. Ziff. 23.3) verwendet, so ergäben sich aufgrund der Matrix (Matrixfeld bestimmt durch eine Basiswertpreisreduktion von 8 % und eine Volatilitätsreduktion von 25 %) erforderliche Eigenmittel von CHF 4 724 [= 10 × (CHF 825.54 - CHF 353.12)]. Zusätzlich dazu würde eine ausserhalb der Szenario-Analyse-Matrix zu bestimmende separate Anforderung für das spezifische Risiko im Betrag von CHF 865 (= 10 × 0.02 × 0.60052 × CHF 7 200) bestehen, womit die gesamten erforderlichen Eigenmittel für die Position nach Szenario-Analyse-Verfahren CHF 5 589 (= CHF 4 724 + CHF 865) betragen würden.
Die durch den EUR-denominierten Ausübungspreis implizierte Fremdwährungsexposition bedingt darüber hinaus für jede Option zusätzliche erforderliche Eigenmittel im Betrag von 10 % ihres deltagewichteten Ausübungspreises; für die ganze Optionsposition entspricht diese dem Betrag von CHF 4 228:
Delta-Effekt: CHF -4 228 = EUR -2 642.29 = 10 × 0.1 × 0.60052 × EUR -4 400
Sind bei einer Option der Basiswert und der Ausübungspreis in der identischen Fremdwährung denominiert - z.B. bei einer Call-Option auf eine ausländische Aktie - so muss im Sinne einer ökonomisch adäquaten Erfassung des Währungsrisikos nicht zwingend das Deltaäquivalent als Komponente für die Bestimmung der Nettoposition in der entsprechenden Fremdwährung berücksichtigt werden. Es ist zulässig, im Sinne einer ökonomisch adäquaten Erfassung anstelle des Deltaäquivalents den Optionspreis zu berücksichtigen, wobei eine Bank sich jedoch diesbezüglich für die Gesamtheit aller Optionen auf ein Verfahren festzulegen hat; ausdrücklich unzulässig ist ein Wechsel des Verfahrens je nach Opportunität.
Dazu ein Beispiel anhand einer Long-Position in einer Call-Option auf einen ausländischen Aktienindex. Die Position sei durch die folgenden Charakteristiken bestimmt:
|
Anzahl:
|
1 000 Stück (Ausübungsverhältnis 1:1)
|
|
Optionstyp:
|
europäisch
|
|
Basiswertpreis:
|
JPY 15 500
|
|
Ausübungspreis:
|
JPY 13 000
|
|
Wechselkurs JPY/CHF:
|
1.20
|
|
Restlaufzeit:
|
12 Monate
|
|
Volatilität:
|
25 % p.a.
|
|
Risikofreier Zinssatz:
|
1 % p.a.
|
|
Delta:
|
0.80740249
|
|
Gamma:
|
7.062 × 10-5
|
|
Vega:
|
4 241.3155
|
|
Optionspreis:
|
JPY 3095.1144
|
Werden die erforderlichen Eigenmittel für die Position nach dem Delta-Plus-Verfahren (vgl. Ziff. 23.2, Ziff. 23.2a, Ziff. 23.2b und Ziff. 23.2c) bestimmt, ergibt sich diese in Bezug auf die direkt aus der Option resultierenden Risiken aus der Summe von drei Komponenten:
1. Delta-Effekt: 1 251 474 JPY = 1 000 × (0.08+0.02) × 0.80740 × 15 500 JPY
2. Gamma-Effekt: 0 JPY = I min [0 JPY, 1 000 × 0.5 × 0.00007 × 1/JPY × (0.08 × 15 500 JPY)2] I
3. Vega-Effekt: 265 082 JPY = 1 000 × 0.25 × 4 241.32 JPY × 0.25
Konkret resultieren erforderliche Eigenmittel von CHF 18 199 (= JPY 1 516 556 = JPY 1 251 474 + JPY 0 + JPY 265 082). Würde anstelle des Delta-Plus-Verfahrens das Verfahren der Szenario-Analyse (vgl. Ziff. 23.3) verwendet, so ergäben sich aufgrund der Matrix (Matrixfeld bestimmt durch eine Basiswertpreisreduktion von 8 % und eine Volatilitätsreduktion von 25 %) erforderliche Eigenmittel von CHF 14 886 [= JPY 1 240 474 = 1 000 × (JPY 3 095.1144 - JPY 1 854.6406)]. Zusätzlich dazu würde eine ausserhalb der Szenario-Analyse-Matrix zu bestimmende separate Anforderung für das spezifische Risiko im Betrag von CHF 3 004 (= JPY 250 295 = 1 000 × 0.02 × 0.80740 × JPY 15 500) bestehen, womit die gesamten erforderlichen Eigenmittel für die Position nach Szenario-Analyse-Verfahren CHF 17 890 (= CHF 14 886 + CHF 3 004) betragen würden.
Neben diesen direkt optionsbezogenen Risiken ist wiederum zusätzlich auch die Fremdwährungsexposition mit Eigenmitteln zu unterlegen. Eine dem Wortlaut von Ziff. 14 Abs. 1 und Art. 31 folgende, auf dem Deltaäquivalent basierende Berechnung ergäbe dafür erforderliche Eigenmittel von CHF 2 422 (= JPY 201 851 = JPY 1 251 474 JPY 1 049 623 = 1 000 × 0.1 × 0.80740 × JPY 15 500 - 1 000 × 0.1 × 0.80740 × JPY 13 000).
Da jedoch die eigentliche Fremdwährungsexposition nicht auf dem Betrag des Deltaäquivalents, sondern auf jenem des Positionswertes besteht, ist es alternativ zulässig, zur Bestimmung der erforderlichen Eigenmittel für das Währungsrisiko anstelle des Deltaäquivalents den Optionspreis zu berücksichtigen.
Konkret würde sich in diesem Fall ein Betrag von CHF 3 714 (= JPY 309 511 = 1 000 × 0.1 × JPY 3 095.1144) als durch die JPY-Long-Position implizierte erforderliche Eigenmittel ergeben.
Beilage 12:
Hinweise zu diversen Details
Verrechnung von Zinsänderungsrisikopositionen
Ziff. 7 Abs. 1, Ziff. 8, Ziff. 8.1, Ziff. 8.2: In den Verfahren für die Berechnung der erforderlichen Eigenmittel für das allgemeine Marktrisiko sind - anders als für das spezifische Risiko - keine Verrechnungen unterschiedlicher Emissionen des gleichen Emittenten zulässig. Lediglich aus identischen Emissionen stammende Positionen sind miteinander verrechenbar und fliessen als Nettopositionen in die Laufzeitband- bzw. die Durationsmethode ein.
Kategorisierung in Coupons >=3 % bzw. <3 % für die Laufzeitmethode
Für Positionen mit Coupons >=3 % und solche <3 % sind pro Währung nicht zwei verschiedene Laufzeitbandtabellen (Fristigkeitenfächer) zu erstellen, sondern nur jeweils eine pro Währung (vgl. Ziff. 8 Abs. 2). Die Zuordnung zu den einzelnen Laufzeitbändern innerhalb dieser Tabelle erfolgt jedoch je nach Coupon anhand unterschiedlicher Kriterien bezüglich der Laufzeit (vgl. Ziff. 8.1 Abs. 1 Bst. a).
Terminologische Abgrenzung des Begriffes "Marktwert"
Der Marktwert-Begriff nach Anhang 1 (vgl. insbesondere Ziff. 8.1 Abs. 1 Bst. a und Ziff. 8.2 Abs. 2 Bst. a) bezieht sich immer auf den ökonomischen Wert einer Position und beinhaltet damit auch aufgelaufene Zinsen. Der "Marktwert" ist somit für Zinsinstrumente in der Regel nicht mit dem am Markt notierten Wert bzw. dem Kurswert identisch.
Behandlung von Aktienfutures
Das Zinsänderungsrisiko von Aktienfutures ist nach Ziff. 10.2 zu berücksichtigen. Zur Berücksichtigung allfälliger Währungsrisiken ist aufgrund von Ziff. 14 Abs. 1 die Nettoterminposition als Barwert der mit den aktuellen Fremdwährungs-Zinssätzen abdiskontierten und zum Kassakurs in CHF umgerechneten Nettopositionen mit Eigenmitteln zu unterlegen.
Zinsänderungsrisiko bei Optionen auf Aktienfutures
Bei Optionen auf Aktienfutures oder Aktienindexfutures darf das Zinsänderungsrisiko des Basiswertes für die Bestimmung der erforderlichen Eigenmittel unberücksichtigt bleiben. Durch solche Optionen auf Aktientermingeschäfte wird kein Zinsänderungsrisiko begründet, welches sich materiell von jenem einer Optionsposition auf eine Aktieninstrument-Kassaposition unterscheidet. Im Sinne der Richtlinien für das Risikomanagement im Handel und bei der Verwendung von Derivaten (siehe Anhang 4.2 der Bankenverordnung) sind diese Risiken jedoch selbstverständlich durch die Banken ebenfalls zu messen und zu überwachen.
Zinsänderungsrisiken von Bankenbuchpositionen
Dieser Anhang beschränkt sich in Bezug auf die Erfassung des Zinsänderungsrisikos grundsätzlich auf Handelsbuchpositionen (vgl. Ziff. 1 Abs. 1). Selbstverständlich gilt diese Beschränkung auch für Zinsänderungsrisiken, welche sich aus Gold, Fremdwährungs- oder Waren- bzw. Rohstoffpositionen im Bankenbuch ergeben. Die bei Termingeschäften im Handelsbuch zu berücksichtigenden synthetischen Staatsanleihen stellen daher für Terminpositionen im Bankenbuch keine Marktrisikopositionen im Sinne von Art. 82 Abs. 1 dar. Aus diesem Anhang ergeben sich demnach für diese keine erforderlichen Eigenmittel.
Begriff "Zinsinstrument" nach Art. 73 Abs. 1
Unter den Begriff "Zinsinstrumente" nach Art. 73 Abs. 1 fallen grundsätzlich jene Instrumente, bei welchen Zinsänderungsrisiken als Risikofaktor im Vordergrund stehen und die emittentenspezifische Risiken aufweisen. Interest Rate Swaps und Festhypotheken sind zwar beispielsweise nach allgemeinem Sprachgebrauch Zinsinstrumente, werden aber im Rahmen der Eigenmittelvorschriften nicht nach Art. 73 Abs. 1 behandelt. Wie Caps, Floors oder Zinsfutures birgt jedoch auch ein Interest Rate Swap aufgrund des fehlenden Emittenten kein emittentenspezifisches Risiko und kann daher diesbezüglich mit 0 % gewichtet werden. Auch eine Festhypothek enthält kein emittentenspezifisches Risiko; sie ist jedoch nach den Vorschriften für das Kreditrisiko zu unterlegen (Art. 67 und 68).